Comprehensive Insights into Spatial-Temporal Evolution Patterns, Dominant Factors of NDVI from Pixel Scale, as a Case of Shaanxi Province, China
Abstract
:1. Introduction
2. Materials and Methods
2.1. Study Area
2.2. Datasets
2.3. Methods
2.3.1. Statistical Methods
2.3.2. RDA Method
2.3.3. BRT Model
3. Results
3.1. Temporal Variation of the NDVI
3.1.1. Interannual Variation
3.1.2. Seasonal Variation
3.2. Spatial Variation of the NDVI
3.2.1. Spatial Distribution of Annual Mean NDVI
3.2.2. Spatial Distribution of Coefficient of Variation of the NDVI
3.2.3. Spatial Distribution of Change Trend of Annual Mean and Max NDVI
3.3. Analysis of Influencing Factors of NDVI Dynamic Change
3.3.1. The Temporal Relationship between the NDVI and Climate Factors
3.3.2. Spatial Relationships between the NDVI and Climate Factors
3.3.3. Spatial Distribution of Multiple Correlations between the NDVI and Climate Factors
3.3.4. Response of the NDVI to Topographic Factors
3.3.5. Spatio-Temporal Response Characteristics of the NDVI to Anthropogenic Activities
3.4. Relationships between Dominant Factors and NDVI under Different Land Uses
3.4.1. RDA Results
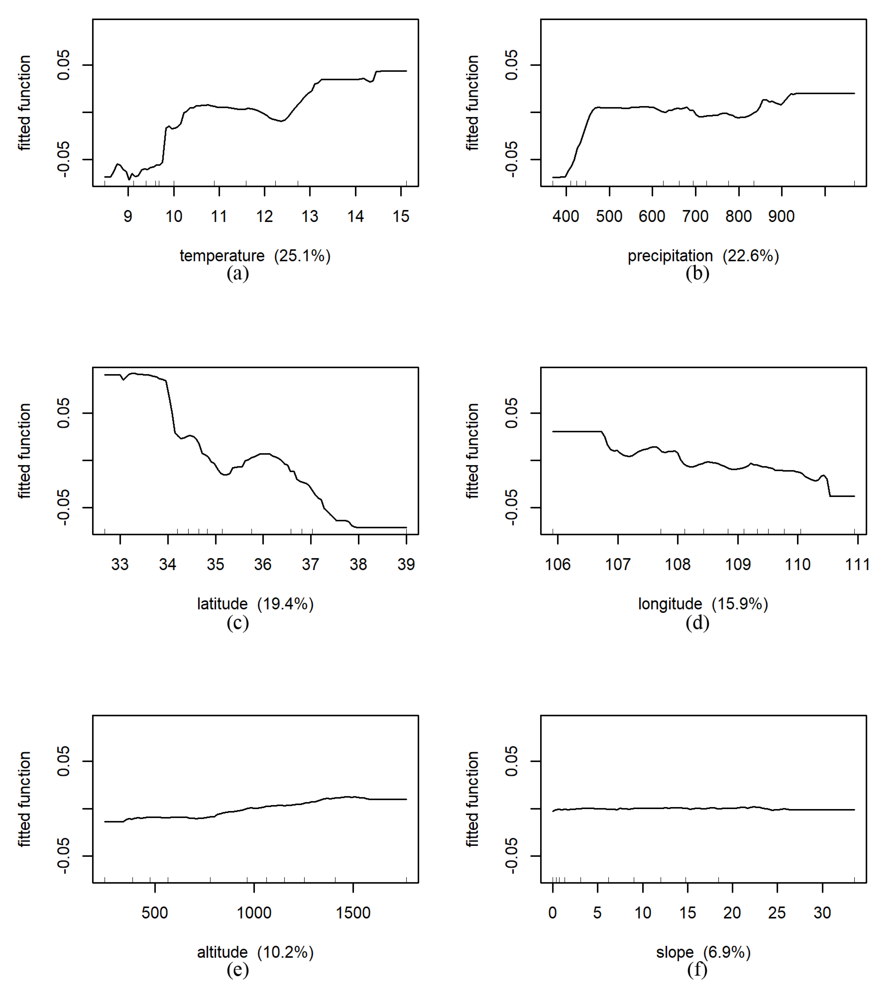
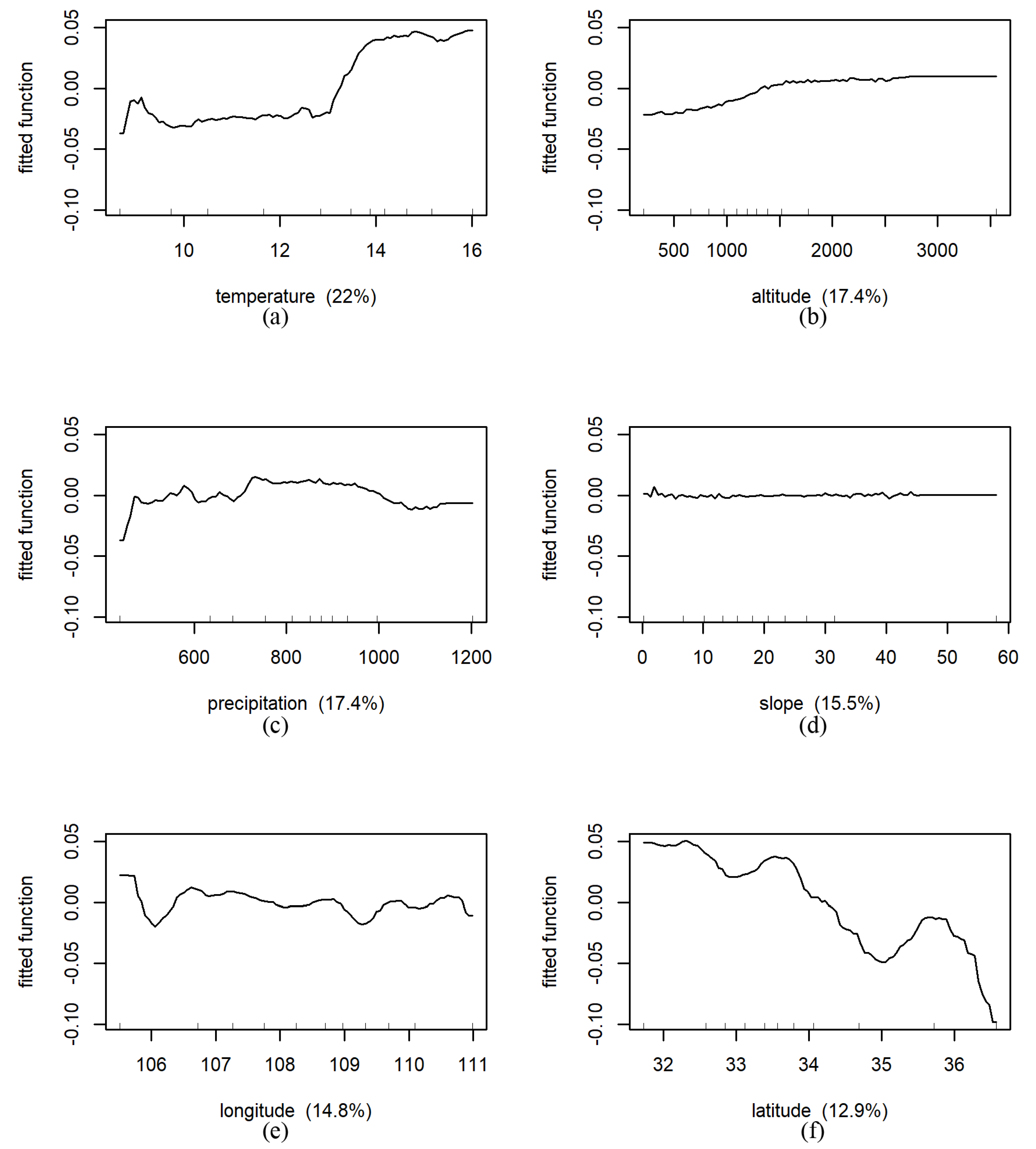
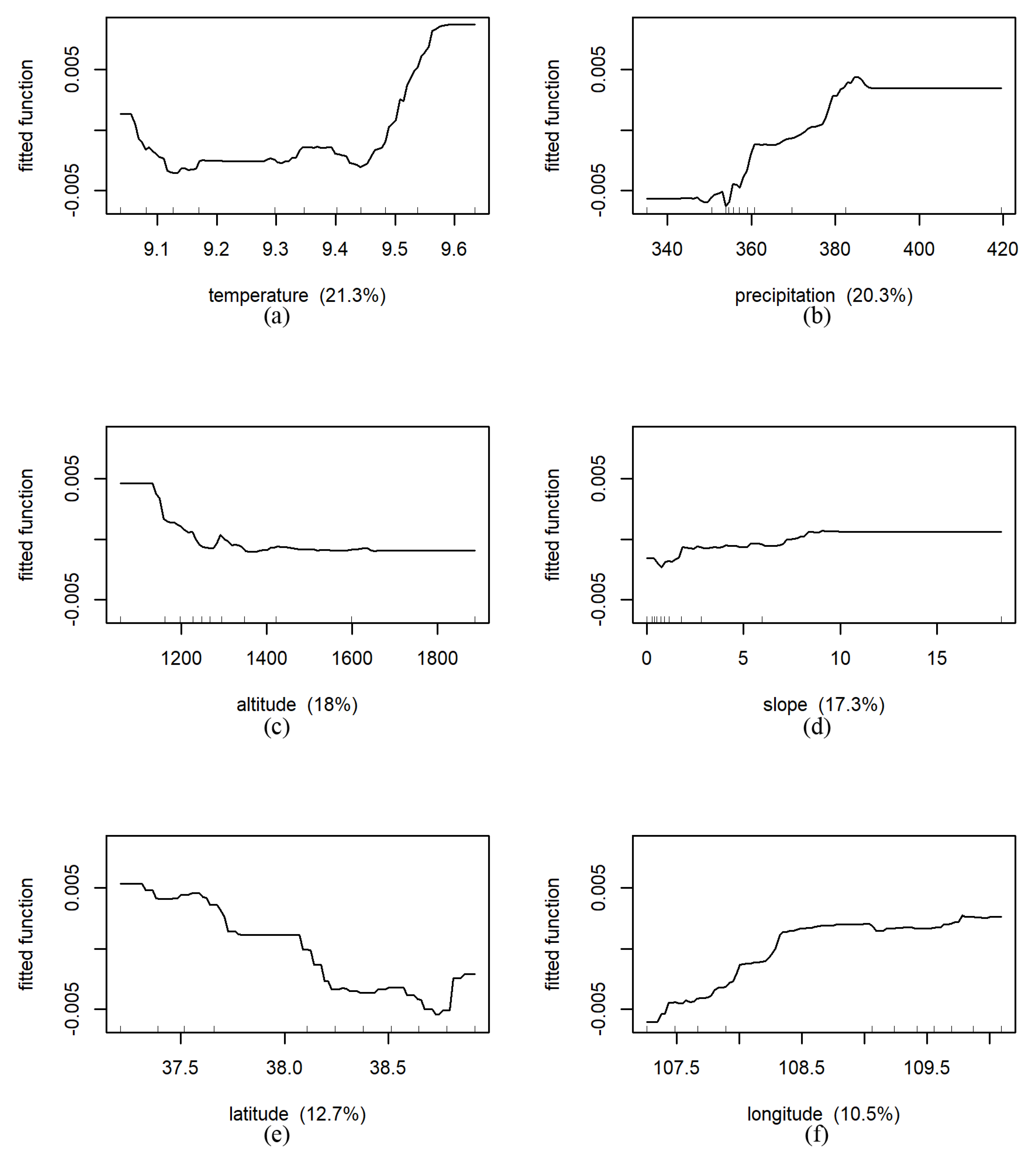
3.4.2. BRT Results
4. Discussion
4.1. The Homogeneity and Heterogeneity Temporal-Spatial Evolution Trend of NDVI
4.2. Effects of Different Factors on NDVI
5. Conclusions
- (1)
- The annual mean NDVI in Shaanxi Province from 1982–2015 was 0.4361, with an overall fluctuating upward trend, increasing at a rate of 0.0018/year. The average NDVI of each season showed different degrees of increase, and the increasing trend: spring > summer > autumn > winter. The difference between start and end time of growing season increased gradually indicated that temporal “greening” across most Shaanxi Province;
- (2)
- In general, the NDVI values in Shaanxi Province demonstrated a high spatial distribution in the south and low one in the north, 98.83% of the areas indicated a stable and increased trend of annual average NDVI in Shaanxi Province in past 30 years, and only 1.17% of the areas demonstrated a decreasing trend of multi-year annual average NDVI. Pixel scale analysis showed that there was spatial continuity and heterogeneity in NDVI changes in the study area;
- (3)
- In terms of temporal variation, the correlation coefficients between NDVI metrics (annual mean NDVI, max NDVI, TI_NDVI, eos, sos), and temperature all reached significant level. However, the evolutionary trends of NDVI in this study area were not sensitive to precipitation. The results of spatial correlation analysis showed that 76.80% of the study areas showed a significant correlation with temperature, and only 29.82% significantly correlated with precipitation. The NDVI values were partially decreasing at elevations below 500 m and slopes in the range of 0°–5°, while the rest mostly increased;
- (4)
- The results of RDA and BRT method showed that the combined influence of climatic and geographic location factors was the greatest in most land use type regions, and temperature may be the dominant factor in NDVI evolution dynamics in grass land area.
Author Contributions
Funding
Institutional Review Board Statement
Informed Consent Statement
Data Availability Statement
Acknowledgments
Conflicts of Interest
References
- Ge, W.; Han, J.; Zhang, D.; Wang, F. Divergent Impacts of Droughts on Vegetation Phenology and Productivity in the Yungui Plateau, Southwest China. Ecol. Indic. 2021, 127, 107743. [Google Scholar] [CrossRef]
- Zhang, H.; Chang, J.; Zhang, L.; Wang, Y.; Li, Y.; Wang, X. NDVI Dynamic Changes and Their Relationship with Meteorological Factors and Soil Moisture. Environ. Earth Sci 2018, 77, 582. [Google Scholar] [CrossRef]
- Huang, X.; Zhang, T.; Yi, G.; He, D.; Zhou, X.; Li, J.; Bie, X.; Miao, J. Dynamic Changes of NDVI in the Growing Season of the Tibetan Plateau During the Past 17 Years and Its Response to Climate Change. Int. J. Environ. Res. Public Health 2019, 16, 3452. [Google Scholar] [CrossRef] [Green Version]
- Tian, F.; Liu, L.-Z.; Yang, J.-H.; Wu, J.-J. Vegetation Greening in More than 94% of the Yellow River Basin (YRB) Region in China during the 21st Century Caused Jointly by Warming and Anthropogenic Activities. Ecol. Indic. 2021, 125, 107479. [Google Scholar] [CrossRef]
- Hao, J.; Chen, X.; Zhang, Z.; Gao, Y.; Li, L.; Li, H. Quantifying the Temporal-Spatial Scale Dependence of the Driving Mechanisms Underlying Vegetation Coverage in Coastal Wetlands. Catena 2021, 204, 105435. [Google Scholar] [CrossRef]
- Brehaut, L.; Danby, R.K. Inconsistent Relationships between Annual Tree Ring-Widths and Satellite-Measured NDVI in a Mountainous Subarctic Environment. Ecol. Indic. 2018, 91, 698–711. [Google Scholar] [CrossRef]
- Wang, M.; Fu, J.; Wu, Z.; Pang, Z. Spatiotemporal Variation of NDVI in the Vegetation Growing Season in the Source Region of the Yellow River, China. ISPRS Int. J. Geo-Inf. 2020, 9, 282. [Google Scholar] [CrossRef] [Green Version]
- Kumar, A.; Singh, A.; Kumar, S.; Kanga, S. Estimating the Change in Forest Cover Density and Predicting NDVI for West Singhbhum Using Linear Regression. ESSENCE Int. J. Environ. Rehab. Conser. 2018, 9, 193–203. [Google Scholar] [CrossRef]
- Zhao, J.; Ding, Y.; Yang, J. Suitability Analysis and Evaluation of GIMMS NDVI3g Product in Plateau Region. In Proceedings of the IOP Conference Series: Earth and Environmental Science, Suzhou, China, 12–14 March 2021; Volume 734, p. 012007. [Google Scholar] [CrossRef]
- Ye, W.; van Dijk, A.I.J.M.; Huete, A.; Yebra, M. Global Trends in Vegetation Seasonality in the GIMMS NDVI3g and Their Robustness. Int. J. Appl. Earth Obs. Geoinf. 2021, 94, 102238. [Google Scholar] [CrossRef]
- Jiao, K.-W.; Gao, J.-B.; Liu, Z.-H.; Wu, S.-H.; Fletcher, T.L. Revealing Climatic Impacts on the Temporal and Spatial Variation in Vegetation Activity across China: Sensitivity and Contribution. Adv. Clim. Chang. Res. 2021, 21, 409–420. [Google Scholar] [CrossRef]
- Hao, F.; Zhang, X.; Ouyang, W.; Skidmore, A.K.; Toxopeus, A.G. Vegetation NDVI Linked to Temperature and Precipitation in the Upper Catchments of Yellow River. Environ. Model Assess 2012, 17, 389–398. [Google Scholar] [CrossRef] [Green Version]
- Baniya, B.; Tang, Q.; Huang, Z.; Sun, S.; Techato, K. Spatial and Temporal Variation of NDVI in Response to Climate Change and the Implication for Carbon Dynamics in Nepal. Forests 2018, 9, 329. [Google Scholar] [CrossRef] [Green Version]
- Yang, Y.; Wang, S.; Bai, X.; Tan, Q.; Li, Q.; Wu, L.; Tian, S.; Hu, Z.; Li, C.; Deng, Y. Factors Affecting Long-Term Trends in Global NDVI. Forests 2019, 10, 372. [Google Scholar] [CrossRef] [Green Version]
- Chu, D.; Lu, L.; Zhang, T. Sensitivity of Normalized Difference Vegetation Index (NDVI) to Seasonal and Interannual Climate Conditions in the Lhasa Area, Tibetan Plateau, China. Arct. Antarct. Alp. Res. 2007, 39, 635–641. [Google Scholar] [CrossRef]
- Li, Z.; Guo, X. Detecting Climate Effects on Vegetation in Northern Mixed Prairie Using NOAA AVHRR 1-Km Time-Series NDVI Data. Remote Sens. 2012, 4, 120–134. [Google Scholar] [CrossRef] [Green Version]
- Kalisa, W.; Igbawua, T.; Henchiri, M.; Ali, S.; Zhang, S.; Bai, Y.; Zhang, J. Assessment of Climate Impact on Vegetation Dynamics over East Africa from 1982 to 2015. Sci. Rep. 2019, 9, 16865. [Google Scholar] [CrossRef] [Green Version]
- Feng, R.; Wang, F.; Wang, K. Spatial-Temporal Patterns and Influencing Factors of Ecological Land Degradation-Restoration in Guangdong-Hong Kong-Macao Greater Bay Area. Sci. Total Environ. 2021, 794, 148671. [Google Scholar] [CrossRef]
- Li, P.; Wang, J.; Liu, M.; Xue, Z.; Bagherzadeh, A.; Liu, M. Spatio-Temporal Variation Characteristics of NDVI and Its Response to Climate on the Loess Plateau from 1985 to 2015. Catena 2021, 203, 105331. [Google Scholar] [CrossRef]
- Muñoz, J.D.; Kravchenko, A. Deriving the Optimal Scale for Relating Topographic Attributes and Cover Crop Plant Biomass. Geomorphology 2012, 179, 197–207. [Google Scholar] [CrossRef]
- Yang, L.; Guan, Q.; Lin, J.; Tian, J.; Tan, Z.; Li, H. Evolution of NDVI Secular Trends and Responses to Climate Change: A Perspective from Nonlinearity and Nonstationarity Characteristics. Remote Sens. Environ. 2021, 254, 112247. [Google Scholar] [CrossRef]
- Pinzon, J.; Tucker, C. A Non-Stationary 1981–2012 AVHRR NDVI3g Time Series. Remote Sens. 2014, 6, 6929–6960. [Google Scholar] [CrossRef] [Green Version]
- Bao, Z.; Zhang, J.; Wang, G.; Guan, T.; Jin, J.; Liu, Y.; Li, M.; Ma, T. The Sensitivity of Vegetation Cover to Climate Change in Multiple Climatic Zones Using Machine Learning Algorithms. Ecol. Indic. 2021, 124, 107443. [Google Scholar] [CrossRef]
- Viana, D.S.; Keil, P.; Jeliazkov, A. Disentangling Spatial and Environmental Effects: Flexible Methods for Community Ecology and Macroecology. bioRxiv. 2021, 871251. [Google Scholar] [CrossRef] [Green Version]
- Hu, Y.; Dai, Z.; Guldmann, J.-M. Modeling the Impact of 2D/3D Urban Indicators on the Urban Heat Island over Different Seasons: A Boosted Regression Tree Approach. J. Environ. Manag. 2020, 266, 110424. [Google Scholar] [CrossRef]
- Wang, Y.; Yu, Q.; Yue, D.; Zhang, Q.; Ma, H. Simulation of Landuse Based on BRT_DC_Pd Model. Trans. Chin. Soc. Agric. Mach. 2018, 49, 225–234. [Google Scholar]
- Pouteau, R.; Rambal, S.; Ratte, J.-P.; Gogé, F.; Joffre, R.; Winkel, T. Downscaling MODIS-Derived Maps Using GIS and Boosted Regression Trees: The Case of Frost Occurrence over the Arid Andean Highlands of Bolivia. Remote Sens. Environ. 2011, 115, 117–129. [Google Scholar] [CrossRef] [Green Version]
- Zhang, Y.; Liang, S.; Xiao, Z. Observed Vegetation Greening and Its Relationships with Cropland Changes and Climate in China. Land 2020, 9, 274. [Google Scholar] [CrossRef]
- Colin, B.; Mengersen, K. Estimating Spatial and Temporal Trends in Environmental Indices Based on Satellite Data: A Two-Step Approach. Sensors 2019, 19, 361. [Google Scholar] [CrossRef] [Green Version]
- Ni, Y.; Zhou, Y.; Fan, J. Characterizing Spatiotemporal Pattern of Vegetation Greenness Breakpoints on Tibetan Plateau Using GIMMS NDVI3g Dataset. IEEE Access 2020, 8, 56518–56527. [Google Scholar] [CrossRef]
- Zhao, A.; Zhang, A.; Liu, H.; Liu, Y.; Wang, H.; Wang, D. Spatiotemporal Variation of Vegetation Coverage before and after Implementation of Grain for Green Project in the Loess Plateau. J. Nat. Resour. 2017, 32, 449–460. [Google Scholar] [CrossRef]
- Pingale, S.; Adamowski, J.; Jat, M.; Khare, D. Implications of Spatial Scale on Climate Change Assessments. J. Water Land Dev. 2015, 26, 37–55. [Google Scholar] [CrossRef] [Green Version]
- Cao, S. Impact of China’s Large-Scale Ecological Restoration Program on the Environment and Society in Arid and Semiarid Areas of China: Achievements, Problems, Synthesis, and Applications. Crit. Rev. Environ. Sci. Technol. 2011, 41, 317–335. [Google Scholar] [CrossRef]
- Pu, L.; Ren, Z. Changes of NDVI in Different Areas of Shaanxi Province and Its Response to Climate Factor. Bull. Soil Water Conserv. 2013, 33, 265–275. [Google Scholar]
- Li, Y.; Liu, H.; Zhou, W. The Variation Characteristics of NDVI and Relationship with Climatic Factors in Shaanxi Province from 1982 to 2015. Ecol. Sci. 2017, 36, 153–160. [Google Scholar]
- Cao, S.; Liu, G.; Ma, H. Dynamic Analysis of Vegetation Change in North China. Acta Ecol. Sin. 2017, 37, 5023–5030. [Google Scholar]
- Qian, C.; Shao, L.; Hou, X.; Zhang, B.; Chen, W.; Xia, X. Detection and Attribution of Vegetation Greening Trend across Distinct Local Landscapes under China’s Grain to Green Program: A Case Study in Shaanxi Province. Catena 2019, 183, 104182. [Google Scholar] [CrossRef]
- Zhou, H.; Van Rompaey, A.; Wang, J. Detecting the Impact of the “Grain for Green” Program on the Mean Annual Vegetation Cover in the Shaanxi Province, China Using SPOT-VGT NDVI Data. Land Use Policy 2009, 26, 954–960. [Google Scholar] [CrossRef]
- Institute of Tibetan Plateau Research. The National Center for Atmospheric Research Global GIMMS NDVI3g v1 Dataset (1981–2015). In A Big Earth Data Platform for Three Poles; National Tibetan Plateau Data Center: Tibetan Plateau, China, 2018. [Google Scholar]
- Tucker, C.J.; Pinzon, J.E.; Brown, M.E.; Slayback, D.A.; Pak, E.W.; Mahoney, R.; Vermote, E.F.; El Saleous, N. An Extended AVHRR 8-km NDVI Dataset Compatible with MODIS and SPOT Vegetation NDVI Data. Int. J. Remote Sens. 2005, 26, 4485–4498. [Google Scholar] [CrossRef]
- Detsch, F. Gimms: Download and Process GIMMS NDVI3g Data. 2016. Available online: https://github.com/environmentalinformatics-marburg/gimms (accessed on 30 July 2021).
- Tieszen, L.L.; Reed, B.C.; Bliss, N.B.; Wylie, B.K.; DeJong, D.D. NDVI, C3 and C4 production, and distributions in great plains grassland land cover classes. Ecol. Appl. 1997, 7, 59–78. [Google Scholar] [CrossRef]
- Frost, G.; Bhatt, U.; Epstein, H.; Walker, D.; Raynolds, M.K.; Berner, L.; Bjerke, J.; Breen, A.; Forbes, B.C.; Goetz, S.; et al. Tundra Greenness; NOAA: Silver Spring, MD, USA, 2019. [Google Scholar]
- White, M.A.; Thornton, P.E.; Running, S.W. A Continental Phenology Model for Monitoring Vegetation Responses to Interannual Climatic Variability. Glob. Biogeochem. Cycles 1997, 11, 217–234. [Google Scholar] [CrossRef]
- Lange, M.; Doktor, D. Phenex: Auxiliary Functions for Phenological Data Analysis, R Package Version 1.4-5. 2017. Available online: https://rdrr.io/cran/phenex/ (accessed on 30 July 2021).
- Liu, H.; Gong, P.; Wang, J.; Clinton, N.; Bai, Y.; Liang, S. Annual Dynamics of Global Land Cover and Its Long-Term Changes from 1982 to 2015. Data Algorithms Models 2020, 12, 1217–1243. [Google Scholar] [CrossRef]
- R Core Team R: A Language and Environment for Statistical Computing; R Foundation for Statistical Computing: Vienna, Austria, 2021.
- Wang, T.; Zhao, Y.; Wang, H. Spatial and Temporal Changes of Vegetation Index and Their Response to Temperature and Precipi⁃ Tation in the Tibetan Plateau Based on GIMMS NDVI. J. Glaciol. Geocryol. 2020, 42, 641–652. [Google Scholar]
- Zhe, M.; Zhang, X. Time-Lag Effects of NDVI Responses to Climate Change in the Yamzhog Yumco Basin, South Tibet. Ecol. Indic. 2021, 124, 107431. [Google Scholar] [CrossRef]
- He, P.; Xu, L.; Liu, Z.; Jing, Y.; Zhu, W. Dynamics of NDVI and Its Influencing Factors in the Chinese Loess Plateau during 2002–2018. Reg. Sustain. 2021, 2, 36–46. [Google Scholar] [CrossRef]
- Gu, Z.; Duan, X.; Shi, Y.; Li, Y.; Pan, X. Spatiotemporal Variation in Vegetation Coverage and Its Response to Climatic Factors in the Red River Basin, China. Ecol. Indic. 2018, 93, 54–64. [Google Scholar] [CrossRef]
- Xu, G.; Li, A.; Xu, X.; Yang, X.; Yang, Q. NDVI Dynamics and Driving Climatic Factors in the Protected Zones for Ecological Functions in China. Chin. J. Plant Ecol. 2021, 45, 213–223. [Google Scholar] [CrossRef]
- Chen, H.W.; Lin, H.C.; Chuang, Y.H.; Sun, C.T.; Chen, W.Y.; Kao, C.Y. Effects of Environmental Factors on Benthic Species in a Coastal Wetland by Redundancy Analysis. Ocean Coast. Manag. 2019, 169, 37–49. [Google Scholar] [CrossRef]
- Oksanen, J.; Blanchet, F.G.; Friendly, M.; Kindt, R.; Legendre, P.; McGlinn, D.; Minchin, P.R.; O’Hara, R.B.; Simpson, G.L.; Solymos, P.; et al. Vegan: Community Ecology Package; World Agroforestry Center: Nairobi, Kenya, 2020. [Google Scholar]
- James, G.; Witten, D.; Hastie, T.; Tibshirani, R. (Eds.) An Introduction to Statistical Learning: With Applications in R; Springer Texts in Statistics; Springer: New York, NY, USA, 2013; ISBN 978-1-4614-7137-0. [Google Scholar]
- Huang, J.; Dai, L.; Wang, X.; Zhou, C.; Tang, H. Spatio-Temproal Distribution Pattern of Habitat Preference of Bigeye Tuna Free-Swimming Schools in the Eastern Pacific Ocean. J. Shanghai Ocean Univ. 2020, 29, 889–898. [Google Scholar]
- Hijmans, R.J.; Phillips, S.; Leathwick, J.; Elith, J. Dismo: Species Distribution Modeling, R Package Version 1.3-3. 2020. Available online: https://rdrr.io/cran/dismo/ (accessed on 30 July 2021).
- Chen, H.; Ouyang, W.; Lyu, F.; Song, Y.; Hao, R. Variation of Vegetation CoVer and Its Correlation of Topographic Factors in Guandu River Basin. Res. Soil Water Conserv. 2019, 26, 135–147. [Google Scholar]
- Peres-Neto, P.R.; Legendre, P.; Dray, S.; Borcard, D. Variation partitioning of species data matrices: Estimation and comparison of fractions. Ecology 2006, 87, 2614–2625. [Google Scholar] [CrossRef]
- Hou, W.; Hou, X. Spatial–Temporal Changes in Vegetation Coverage in the Global Coastal Zone Based on GIMMS NDVI3g Data. Int. J. Remote Sens. 2020, 41, 1118–1138. [Google Scholar] [CrossRef]
- Zheng, K.; Tan, L.; Sun, Y.; Wu, Y.; Duan, Z.; Xu, Y.; Gao, C. Impacts of Climate Change and Anthropogenic Activities on Vegetation Change: Evidence from Typical Areas in China. Ecol. Indic. 2021, 126, 107648. [Google Scholar] [CrossRef]
- Forkel, M.; Migliavacca, M.; Thonicke, K.; Reichstein, M.; Schaphoff, S.; Weber, U.; Carvalhais, N. Codominant Water Control on Global Interannual Variability and Trends in Land Surface Phenology and Greenness. Glob. Chang. Biol. 2015, 21, 3414–3435. [Google Scholar] [CrossRef] [PubMed]
- Gong, Z.; Kawamura, K.; Ishikawa, N.; Goto, M.; Wulan, T.; Alateng, D.; Yin, T.; Ito, Y. MODIS Normalized Difference Vegetation Index (NDVI) and Vegetation Phenology Dynamics in the Inner Mongolia Grassland. Solid Earth 2015, 6, 1185–1194. [Google Scholar] [CrossRef] [Green Version]
- Fan, J.; Xu, Y.; Ge, H.; Yang, W. Vegetation Growth Variation in Relation to Topography in Horqin Sandy Land. Ecol. Indic. 2020, 113, 106215. [Google Scholar] [CrossRef]
- Sun, W.; Song, X.; Mu, X.; Gao, P.; Wang, F.; Zhao, G. Spatiotemporal Vegetation Cover Variations Associated with Climate Change and Ecological Restoration in the Loess Plateau. Agric. For. Meteorol. 2015, 209–210, 87–99. [Google Scholar] [CrossRef]
- Han, J.-C.; Huang, Y.; Zhang, H.; Wu, X. Characterization of Elevation and Land Cover Dependent Trends of NDVI Variations in the Hexi Region, Northwest China. J. Environ. Manag. 2019, 232, 1037–1048. [Google Scholar] [CrossRef]
- Wang, H.; Yan, S.; Liang, Z.; Jiao, K.; Li, D.; Wei, F.; Li, S. Strength of Association between Vegetation Greenness and Its Drivers across China between 1982 and 2015: Regional Differences and Temporal Variations. Ecol. Indic. 2021, 128, 107831. [Google Scholar] [CrossRef]
- Wang, C.-P.; Huang, M.-T.; Zhai, P.-M. Change in Drought Conditions and Its Impacts on Vegetation Growth over the Tibetan Plateau. Adv. Clim. Chang. Res. 2021, S1674927821000575. [Google Scholar] [CrossRef]
- Ghebrezgabher, M.G.; Yang, T.; Yang, X.; Eyassu Sereke, T. Assessment of NDVI Variations in Responses to Climate Change in the Horn of Africa. Egypt. J. Remote Sens. Space Sci. 2020, 23, 249–261. [Google Scholar] [CrossRef]
- Tucker, C.J.; Slayback, D.A.; Pinzon, J.E.; Los, S.O.; Myneni, R.B.; Taylor, M.G. Higher Northern Latitude Normalized Difference Vegetation Index and Growing Season Trends from 1982 to 1999. Int. J. Biometeorol. 2001, 45, 184–190. [Google Scholar] [CrossRef] [PubMed]
- Meng, M.; Huang, N.; Wu, M.; Pei, J.; Wang, J.; Niu, Z. Vegetation Change in Response to Climate Factors and Human Activities on the Mongolian Plateau. PeerJ 2019, 7, e7735. [Google Scholar] [CrossRef] [PubMed]
- Xiong, Y.; Li, Y.; Xiong, S.; Wu, G.; Deng, O. Multi-Scale Spatial Correlation between Vegetation Index and Terrain Attributes in a Small Watershed of the Upper Minjiang River. Ecol. Indic. 2021, 126, 107610. [Google Scholar] [CrossRef]





















| Typesof Change | F-Value | p-Value | b |
|---|---|---|---|
| No significant change | F < 2.869 | p > 0.1 | |
| Slightly significant decrease | 2.869 ≤ F < 4.149 | 0.05 < p < 0.1 | b < 0 |
| Slightly significant increase | b > 0 | ||
| Significant decrease | 4.149 ≤ F < 7.499 | 0.01 < p < 0.05 | b < 0 |
| Significant increase | b > 0 | ||
| Extremely significant decrease | F ≥ 7.499 | p < 0.01 | b < 0 |
| Extremely significant increase | b > 0 |
| Multi-Year Mean NDVI Values | Number of Pixels | Proportion/% |
|---|---|---|
| 0.16–0.2 | 1948 | 7.33 |
| 0.2–0.3 | 5610 | 21.10 |
| 0.3–0.4 | 2369 | 8.91 |
| 0.4–0.5 | 4800 | 18.05 |
| 0.5–0.6 | 8154 | 30.67 |
| 0.6–0.67 | 3706 | 13.94 |
| Change Trend | Pixel Numbers | Proportion/% |
|---|---|---|
| <−0.0005 | 135 | 0.51 |
| −0.0005–0 | 176 | 0.66 |
| 0–0.0005 | 298 | 1.12 |
| 0.0005–0.001 | 2325 | 8.74 |
| 0.001–0.0015 | 6593 | 24.80 |
| 0.0015–0.002 | 6841 | 25.73 |
| 0.002–0.0025 | 5537 | 20.83 |
| 0.0025–0.003 | 3800 | 14.29 |
| >0.003 | 883 | 3.32 |
| Climate Factor | TI_NDVI | Max NDVI | eos | sos |
|---|---|---|---|---|
| annual temperature | 0.651 *** | 0.419 ** | 0.600 *** | −0.714 *** |
| spring seasonal temperature | 0.687 *** | 0.380 ** | 0.524 *** | −0.685 *** |
| summer seasonal temperature | 0.505 ** | 0.358 ** | 0.532 *** | −0.571 *** |
| autumn seasonal temperature | 0.301 * | 0.381 ** | 0.360 ** | −0.421 ** |
| winter seasonal temperature | 0.374 ** | 0.140 | 0.342 ** | −0.400 ** |
| annual precipitation | −0.177 | 0.170 | −0.117 | 0.102 |
| spring seasonal precipitation | 0.06 | 0.196 | −0.108 | −0.152 |
| summer seasonal precipitation | −0.156 | −0.022 | −0.051 | 0.238 |
| autumn seasonal precipitation | −0.191 | 0.148 | −0.096 | 0.042 |
| winter seasonal precipitation | 0.175 | 0.083 | 0.184 | −0.078 |
| Cropland | Forest | Grassland | Barren | |
|---|---|---|---|---|
| X1 | 3.0 | 4.0 | 4.0 | 1.0 |
| X2 | 3.0 | 6.0 | 0.0 | 7.0 |
| X3 | 20.0 | 2.0 | 23.0 | 22.0 |
| X1 ∩ X2 | NA | 0.0 | 0.0 | NA |
| X1 ∩ X3 | 31.0 | 35.0 | 27 | 2.0 |
| X2 ∩ X3 | NA | NA | 3.0 | 14.0 |
| X1 ∩ X2 ∩ X3 | 19.0 | 3.0 | 27 | 2.0 |
Publisher’s Note: MDPI stays neutral with regard to jurisdictional claims in published maps and institutional affiliations. |
© 2021 by the authors. Licensee MDPI, Basel, Switzerland. This article is an open access article distributed under the terms and conditions of the Creative Commons Attribution (CC BY) license (https://creativecommons.org/licenses/by/4.0/).
Share and Cite
Gu, H.; Chen, M. Comprehensive Insights into Spatial-Temporal Evolution Patterns, Dominant Factors of NDVI from Pixel Scale, as a Case of Shaanxi Province, China. Int. J. Environ. Res. Public Health 2021, 18, 10053. https://doi.org/10.3390/ijerph181910053
Gu H, Chen M. Comprehensive Insights into Spatial-Temporal Evolution Patterns, Dominant Factors of NDVI from Pixel Scale, as a Case of Shaanxi Province, China. International Journal of Environmental Research and Public Health. 2021; 18(19):10053. https://doi.org/10.3390/ijerph181910053
Chicago/Turabian StyleGu, Hongliang, and Min Chen. 2021. "Comprehensive Insights into Spatial-Temporal Evolution Patterns, Dominant Factors of NDVI from Pixel Scale, as a Case of Shaanxi Province, China" International Journal of Environmental Research and Public Health 18, no. 19: 10053. https://doi.org/10.3390/ijerph181910053
APA StyleGu, H., & Chen, M. (2021). Comprehensive Insights into Spatial-Temporal Evolution Patterns, Dominant Factors of NDVI from Pixel Scale, as a Case of Shaanxi Province, China. International Journal of Environmental Research and Public Health, 18(19), 10053. https://doi.org/10.3390/ijerph181910053
