Assessing Emotional Responses to the Spatial Quality of Urban Green Spaces through Self-Report and Face Recognition Measures
Abstract
:1. Introduction
2. Materials and Methods
2.1. Site Selection
2.2. Participants and Design
2.3. Environmental Simulation
2.4. Measures
2.4.1. Spatial Quality of UGS
2.4.2. Physiological Measures
2.4.3. Psychological Measures
2.5. Procedure
2.6. Statistical Analysis
3. Results
3.1. Spatial Quality Related to Emotional Responses for UGSs
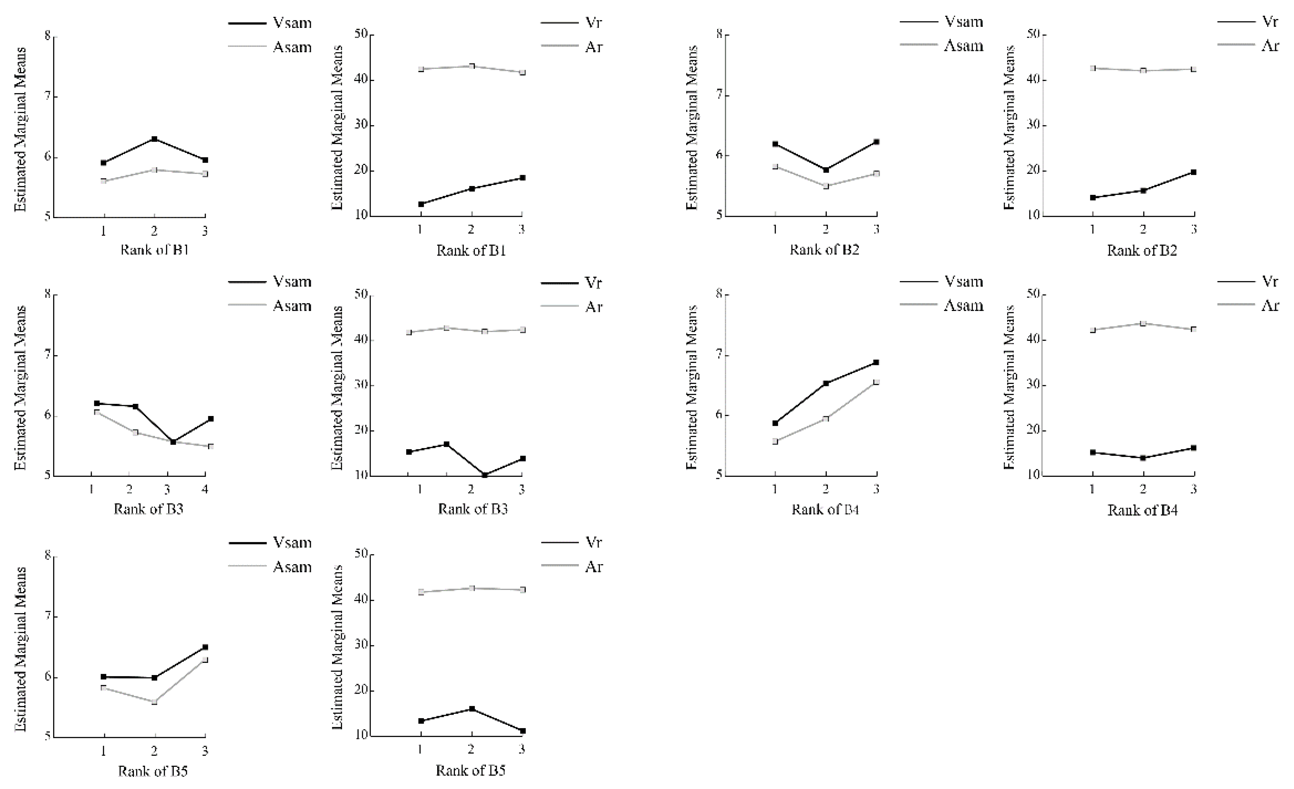
3.2. Effects of the Interaction of UGS Spatial Quality on Emotional Responses
3.3. Effects of the Spatial Structure Attributes of UGSs on Emotional Responses
3.4. Gender Difference
4. Discussion
4.1. Driving Influence of the Spatial Quality Attributes of UGSs on Emotional Responses
4.2. The Relationship between Spatial Structural Attributes and Emotional Responses
4.3. Demographic Characteristics
4.4. The Differences between the 2 Emotional Measurement Methods
4.5. Limitations and Future Perspectives
5. Conclusions
Author Contributions
Funding
Institutional Review Board Statement
Informed Consent Statement
Data Availability Statement
Acknowledgments
Conflicts of Interest
Appendix A
| Plot Number | Vsam | Asam | Vfr | Afr | Vegetation Layers | Shape of Trees | Texture of Trees | Color Diversity | Culture Connotation | Size | Shape Index of Edges | Canopy Density | Percentage of Water | Percentage of Plant | Visit Frequency | Use Function |
|---|---|---|---|---|---|---|---|---|---|---|---|---|---|---|---|---|
| 1 | 6.529 | 5.500 | 16.033 | 44.106 | 3.647 | 3.647 | 3.471 | 3.000 | 3.059 | 0.116 | 2.500 | 1.000 | 0.000 | 0.796 | 3.647 | 2.265 |
| 2 | 6.882 | 6.559 | 16.202 | 42.367 | 4.000 | 3.941 | 3.441 | 3.471 | 3.324 | 1.258 | 1.390 | 0.575 | 0.256 | 0.591 | 3.647 | 2.971 |
| 3 | 6.441 | 6.118 | 12.473 | 43.947 | 4.000 | 3.824 | 3.206 | 3.441 | 3.235 | 0.171 | 1.000 | 0.576 | 0.107 | 0.670 | 3.647 | 2.441 |
| 4 | 5.382 | 5.294 | 14.419 | 43.422 | 2.971 | 3.294 | 2.971 | 2.647 | 2.794 | 0.252 | 1.320 | 1.000 | 0.000 | 0.455 | 3.647 | 2.000 |
| 5 | 6.500 | 6.294 | 11.215 | 42.327 | 3.676 | 3.824 | 3.500 | 3.000 | 2.794 | 0.394 | 0.610 | 0.394 | 0.000 | 0.806 | 3.647 | 2.971 |
| 6 | 6.235 | 5.706 | 19.806 | 42.519 | 3.735 | 3.706 | 3.647 | 3.118 | 3.382 | 0.500 | 2.900 | 0.489 | 0.000 | 0.788 | 3.647 | 2.382 |
| 7 | 5.618 | 5.147 | 19.044 | 42.483 | 3.265 | 3.500 | 3.235 | 2.824 | 2.794 | 1.408 | 1.670 | 0.414 | 0.000 | 0.612 | 3.647 | 1.882 |
| 8 | 5.765 | 5.618 | 9.475 | 39.640 | 3.853 | 3.588 | 3.206 | 3.265 | 3.294 | 0.166 | 0.740 | 0.831 | 0.000 | 0.598 | 3.647 | 2.000 |
| 9 | 5.529 | 5.324 | 8.098 | 42.113 | 3.618 | 3.265 | 3.147 | 3.235 | 2.853 | 0.215 | 1.700 | 0.726 | 0.000 | 0.657 | 3.647 | 2.500 |
| 10 | 5.441 | 5.382 | 18.777 | 40.890 | 3.147 | 3.176 | 2.971 | 2.794 | 2.853 | 0.900 | 1.790 | 0.510 | 0.000 | 0.656 | 3.647 | 2.029 |
| 11 | 6.618 | 5.765 | 15.657 | 43.518 | 3.941 | 3.676 | 3.441 | 3.176 | 2.941 | 0.630 | 1.080 | 0.484 | 0.110 | 0.699 | 3.647 | 2.588 |
| 12 | 6.118 | 5.559 | 15.705 | 42.458 | 3.441 | 3.324 | 3.147 | 2.882 | 3.000 | 0.088 | 1.460 | 1.000 | 0.000 | 0.660 | 3.647 | 2.382 |
| 13 | 5.882 | 5.412 | 17.643 | 44.063 | 3.412 | 3.353 | 3.353 | 3.176 | 2.853 | 0.775 | 1.410 | 0.444 | 0.000 | 0.603 | 3.647 | 2.412 |
| 14 | 5.618 | 5.824 | 12.670 | 41.869 | 3.588 | 3.382 | 3.059 | 3.294 | 2.853 | 0.024 | 1.920 | 0.605 | 0.000 | 0.754 | 3.647 | 2.000 |
| 15 | 5.912 | 5.824 | 19.626 | 41.380 | 3.471 | 3.471 | 3.265 | 2.971 | 3.059 | 1.465 | 1.660 | 0.348 | 0.000 | 0.681 | 3.647 | 2.382 |
| Variable | Description | Scales | ||||
|---|---|---|---|---|---|---|
| 1 | 2 | 3 | 4 | 5 | ||
| A1. Vegetation Layers | Whether the layers of vegetation are abundant | |||||
| A2. Shape of Trees | Whether the shape of trees is beautiful | |||||
| A3. Texture of Trees | Whether the texture of trees is smooth | |||||
| A4. Color Diversity | Whether the UGS is rich in color | |||||
| A5. Culture Connotation | Whether the UGS is rich in culture connotation | |||||
- Do you think any factor shown in the video will motivate you to use the scene? (Multiple Choice)
- (1)
- Is the scene soothing? □Yes □No
- (2)
- Is the scene beautiful? □Yes □No
- (3)
- Is the scene relaxing? □Yes □No
- (4)
- Is the scene accessible? □Yes □No
- (5)
- Does the scene provide rich activities? □Yes □No
- (6)
- Does the scene provide a place to stay? □Yes □No
- ‘How often do you visit the UGSs shown in the videos. (Exclusive Choice)
- □ almost every day
- □ 2 or 3 times a week
- □ 2 or 3 times a month
- □ 2 or 3 times a quarter
- □ 2 or 3 times a year
- □ almost never







References
- Ulrich, R.S. View through a window may influence recovery from surgery. Science 1984, 224, 420–421. [Google Scholar] [CrossRef] [Green Version]
- Kaplan, R.; Kaplan, S.; Brown, T. Environmental Preference. Environ. Behav. 1989, 21, 509–530. [Google Scholar] [CrossRef] [Green Version]
- Berg, A.E.V.D.; Koole, S.L.; van der Wulp, N.Y. Environmental preference and restoration: (How) are they related? J. Environ. Psychol. 2003, 23, 135–146. [Google Scholar] [CrossRef]
- Hartig, T.; Böök, A.; Garvill, J.; Olsson, T.; Gärling, T. Environmental influences on psychological restoration. Scand. J. Psychol. 1996, 37, 378–393. [Google Scholar] [CrossRef]
- Kondo, M.C.; Fluehr, J.M.; McKeon, T.P.; Branas, C.C. Urban Green Space and Its Impact on Human Health. Int. J. Environ. Res. Public Health 2018, 15, 445. [Google Scholar] [CrossRef] [Green Version]
- Ugolini, F.; Massetti, L.; Calaza-Martínez, P.; Cariñanos, P.; Dobbs, C.; Ostoić, S.K.; Marin, A.M.; Pearlmutter, D.; Saaroni, H.; Šaulienė, I.; et al. Effects of the COVID-19 pandemic on the use and perceptions of urban green space: An international exploratory study. Urban For. Urban Green. 2020, 56, 126888. [Google Scholar] [CrossRef] [PubMed]
- Cheng, Y.; Zhang, J.; Wei, W.; Zhao, B. Effects of urban parks on residents’ expressed happiness before and during the COVID-19 pandemic. Landsc. Urban Plan. 2021, 212, 104118. [Google Scholar] [CrossRef]
- Ciupa, T.; Suligowski, R. Green-Blue Spaces and Population Density versus COVID-19 Cases and Deaths in Poland. Int. J. Environ. Res. Public Health 2021, 18, 6636. [Google Scholar] [CrossRef] [PubMed]
- Lu, Y.; Chen, L.; Liu, X.; Yang, Y.; Sullivan, W.C.; Xu, W.; Webster, C.; Jiang, B. Green spaces mitigate racial disparity of health: A higher ratio of green spaces indicates a lower racial disparity in SARS-CoV-2 infection rates in the USA. Environ. Int. 2021, 152, 106465. [Google Scholar] [CrossRef]
- Capaldi, C.; Dopko, R.L.; Zelenski, J.M. The relationship between nature connectedness and happiness: A meta-analysis. Front. Psychol. 2014, 5, 976. [Google Scholar] [CrossRef] [Green Version]
- Brindley, P.; Cameron, R.W.; Ersoy, E.; Jorgensen, A.; Maheswaran, R. Is more always better? Exploring field survey and social media indicators of quality of urban greenspace, in relation to health. Urban For. Urban Green. 2019, 39, 45–54. [Google Scholar] [CrossRef]
- Annerstedt, M.; Östergren, P.-O.; Björk, J.; Grahn, P.; Skärbäck, E.; Währborg, P. Green qualities in the neighbourhood and mental health—results from a longitudinal cohort study in Southern Sweden. BMC Public Health 2012, 12, 337. [Google Scholar] [CrossRef] [PubMed] [Green Version]
- Daniels, B.; Zaunbrecher, B.S.; Paas, B.; Ottermanns, R.; Ziefle, M.; Roß-Nickoll, M. Assessment of urban green space structures and their quality from a multidimensional perspective. Sci. Total. Environ. 2018, 615, 1364–1378. [Google Scholar] [CrossRef]
- Chen, S.; Sleipness, O.; Xu, Y.; Park, K.; Christensen, K. A systematic review of alternative protocols for evaluating non-spatial dimensions of urban parks. Urban For. Urban Green. 2020, 53, 126718. [Google Scholar] [CrossRef]
- Zhang, X.; Melbourne, S.; Sarkar, C.; Chiaradia, A.; Webster, C. Effects of green space on walking: Does size, shape and density matter? Urban Stud. 2020, 57, 3402–3420. [Google Scholar] [CrossRef]
- Wei, H.; Hauer, R.J.; Chen, X.; He, X. Facial Expressions of Visitors in Forests along the Urbanization Gradient: What Can We Learn from Selfies on Social Networking Services? Forests 2019, 10, 1049. [Google Scholar] [CrossRef] [Green Version]
- Ma, Y.; Ling, C.; Wu, J. Exploring the Spatial Distribution Characteristics of Emotions of Weibo Users in Wuhan Waterfront Based on Gender Differences Using Social Media Texts. ISPRS Int. J. Geo-Inf. 2020, 9, 465. [Google Scholar] [CrossRef]
- Huynh, Q.; Craig, W.; Janssen, I.; Pickett, W. Exposure to public natural space as a protective factor for emotional well-being among young people in Canada. BMC Public Health 2013, 13, 407. [Google Scholar] [CrossRef] [Green Version]
- Lai, K.Y.; Sarkar, C.; Sun, Z.; Scott, I. Are greenspace attributes associated with perceived restorativeness? A comparative study of urban cemeteries and parks in Edinburgh, Scotland. Urban For. Urban Green. 2020, 53, 126720. [Google Scholar] [CrossRef]
- Zhang, L.; Tan, P.Y. Associations between Urban Green Spaces and Health are Dependent on the Analytical Scale and How Urban Green Spaces are Measured. Int. J. Environ. Res. Public Health 2019, 16, 578. [Google Scholar] [CrossRef] [Green Version]
- Yang, L.; Ho, J.Y.; Wong, F.K.; Chang, K.K.; Chan, K.L.; Wong, M.S.; Ho, H.C.; Yuen, J.W.; Huang, J.; Siu, J.Y. Neighbourhood green space, perceived stress and sleep quality in an urban population. Urban For. Urban Green. 2020, 54, 126763. [Google Scholar] [CrossRef]
- Paraskevopoulou, A.T.; Kamperi, E.; Demiris, N.; Economou, M.; Theleritis, C.; Kitsonas, M.; Papageorgiou, C.; Papageorgiou, C. The impact of seasonal colour change in planting on patients with psychotic disorders using biosensors. Urban For. Urban Green. 2018, 36, 50–56. [Google Scholar] [CrossRef]
- Rahnema, S.; Sedaghathoor, S.; Allahyari, M.S.; Damalas, C.A.; El Bilali, H. Preferences and emotion perceptions of ornamental plant species for green space designing among urban park users in Iran. Urban For. Urban Green. 2019, 39, 98–108. [Google Scholar] [CrossRef]
- Ode, Å.; Fry, G.; Tveit, M.S.; Messager, P.; Miller, D. Indicators of perceived naturalness as drivers of landscape preference. J. Environ. Manag. 2009, 90, 375–383. [Google Scholar] [CrossRef]
- Van den Berg, A.E.; Jorgensen, A.; Wilson, E.R. Evaluating restoration in urban green spaces: Does setting type make a difference? Landsc. Urban Plan. 2014, 127, 173–181. [Google Scholar] [CrossRef]
- Soga, M.; Yamaura, Y.; Aikoh, T.; Shoji, Y.; Kubo, T.; Gaston, K.J. Reducing the extinction of experience: Association between urban form and recreational use of public greenspace. Landsc. Urban Plan. 2015, 143, 69–75. [Google Scholar] [CrossRef]
- Yessoufou, K.; Sithole, M.; Elansary, H.O. Effects of urban green spaces on human perceived health improvements: Provision of green spaces is not enough but how people use them matters. PLoS ONE 2020, 15, e0239314. [Google Scholar] [CrossRef]
- Veen, E.J.; Ekkel, E.D.; Hansma, M.R.; De Vrieze, A.G.M. Designing Urban Green Space (UGS) to Enhance Health: A Methodology. Int. J. Environ. Res. Public Health 2020, 17, 5205. [Google Scholar] [CrossRef]
- Polat, A.T.; Akay, A. Relationships between the visual preferences of urban recreation area users and various landscape design elements. Urban For. Urban Green. 2015, 14, 573–582. [Google Scholar] [CrossRef]
- Hoyle, H.; Hitchmough, J.; Jorgensen, A. All about the ‘wow factor’? The relationships between aesthetics, restorative effect and perceived biodiversity in designed urban planting. Landsc. Urban Plan. 2017, 164, 109–123. [Google Scholar] [CrossRef]
- Zhang, Y.; Berg, A.E.V.D.; Van Dijk, T.; Weitkamp, G. Quality over Quantity: Contribution of Urban Green Space to Neighborhood Satisfaction. Int. J. Environ. Res. Public Health 2017, 14, 535. [Google Scholar] [CrossRef]
- Sun, K.; Yu, J.; Huang, Y.; Hu, X. An improved valence-arousal emotion space for video affective content representation and recognition. In Proceedings of the 2009 IEEE International Conference on Multimedia and Expo, New York, NY, USA, 28 June–3 July 2009; pp. 566–569. [Google Scholar]
- Hadinejad, A.; Moyle, B.D.; Kralj, A.; Scott, N. Physiological and self-report methods to the measurement of emotion in tourism. Tour. Recreat. Res. 2019, 44, 466–478. [Google Scholar] [CrossRef]
- Li, S.; Scott, N.; Walters, G. Current and potential methods for measuring emotion in tourism experiences: A review. Curr. Issues Tour. 2014, 18, 805–827. [Google Scholar] [CrossRef]
- Meng, Q.; Hu, X.; Kang, J.; Wu, Y. On the effectiveness of facial expression recognition for evaluation of urban sound perception. Sci. Total. Environ. 2020, 710, 135484. [Google Scholar] [CrossRef] [PubMed]
- Bradley, M.M.; Lang, P.J. Measuring emotion: The self-assessment manikin and the semantic differential. J. Behav. Ther. Exp. Psychiatry 1994, 25, 49–59. [Google Scholar] [CrossRef]
- Yu, Z.; Zhang, C. Image based Static Facial Expression Recognition with Multiple Deep Network Learning. In Proceedings of the 2015 ACM on International Conference on Multimodal Interaction; ACM: New York, NY, USA, 2015; pp. 435–442. [Google Scholar]
- Masi, I.; Wu, Y.; Hassner, T.; Natarajan, P. Deep Face Recognition: A Survey. In Proceedings of the 2018 31st SIBGRAPI Conference on Graphics, Patterns and Images (SIBGRAPI), Paraná, Brazil, 29 October–1 November 2018; pp. 471–478. [Google Scholar]
- Svoray, T.; Dorman, M.; Shahar, G.; Kloog, I. Demonstrating the effect of exposure to nature on happy facial expressions via Flickr data: Advantages of non-intrusive social network data analyses and geoinformatics methodologies. J. Environ. Psychol. 2018, 58, 93–100. [Google Scholar] [CrossRef]
- Do, N.-T.; Nguyen-Quynh, T.-T.; Kim, S.-H. Affective Expression Analysis in-the-wild using Multi-Task Temporal Statistical Deep Learning Model. In Proceedings of the 2020 15th IEEE International Conference on Automatic Face and Gesture Recognition (FG 2020), Buenos Aires, Argentina, 23 November 2020; pp. 624–628. [Google Scholar]
- Vartanov, A.; Ivanov, V.; Vartanova, I. Facial expressions and subjective assessments of emotions. Cogn. Syst. Res. 2019, 59, 319–328. [Google Scholar] [CrossRef]
- Fisher, J.C.; Irvine, K.N.; Bicknell, J.E.; Hayes, W.M.; Fernandes, D.; Mistry, J.; Davies, Z.G. Perceived biodiversity, sound, naturalness and safety enhance the restorative quality and wellbeing benefits of green and blue space in a neotropical city. Sci. Total. Environ. 2021, 755, 143095. [Google Scholar] [CrossRef]
- Wang, R.; Zhao, J.; Meitner, M.J.; Hu, Y.; Xu, X. Characteristics of urban green spaces in relation to aesthetic preference and stress recovery. Urban For. Urban Green. 2019, 41, 6–13. [Google Scholar] [CrossRef]
- Cai, Q.; Yang, Z.; Wang, Y.; Gao, C. Study on Plant Perception Influencing Factors and Value Recognition. Chinese Landsc. Archit. 2019, 35, 112–116. [Google Scholar] [CrossRef]
- Nordh, H.; Hartig, T.; Hagerhall, C.; Fry, G. Components of small urban parks that predict the possibility for restoration. Urban For. Urban Green. 2009, 8, 225–235. [Google Scholar] [CrossRef]
- Jiang, B.; Chang, C.-Y.; Sullivan, W.C. A dose of nature: Tree cover, stress reduction, and gender differences. Landsc. Urban Plan. 2014, 132, 26–36. [Google Scholar] [CrossRef]
- Backs, R.W.; Da Silva, S.P.; Han, K. A Comparison of Younger and Older Adults’ Self-Assessment Manikin Ratings of Affective Pictures. Exp. Aging Res. 2005, 31, 421–440. [Google Scholar] [CrossRef]
- Chen, J.-M.; Chang, P.-C.; Liang, K.-W. Speech Emotion Recognition Based on Joint Self-Assessment Manikins and Emotion Labels. In Proceedings of the 2019 IEEE International Symposium on Multimedia (ISM), Thessaloniki, Greece, 8–11 January 2019; pp. 327–3273. [Google Scholar]
- Xie, T.; Cao, M.; Pan, Z.-G. Applying Self-Assessment Manikin (SAM) to Evaluate the Affective Arousal Effects of VR Games. In Proceedings of the 2020 3rd International Conference on Image and Graphics Processing, Association for Computing Machinery (ACM). Singapore, 8–10 February 2020; pp. 134–138. [Google Scholar]
- Dan-Glauser, E.S.; Scherer, K.R. The Geneva affective picture database (GAPED): A new 730-picture database focusing on valence and normative significance. Behav. Res. Methods 2011, 43, 468–477. [Google Scholar] [CrossRef] [PubMed]
- Deng, L.; Luo, H.; Ma, J.; Huang, Z.; Sun, L.-X.; Jiang, M.-Y.; Zhu, C.-Y.; Li, X. Effects of integration between visual stimuli and auditory stimuli on restorative potential and aesthetic preference in urban green spaces. Urban For. Urban Green. 2020, 53, 126702. [Google Scholar] [CrossRef]
- Huerta, C.M.; Utomo, A. Evaluating the association between urban green spaces and subjective well-being in Mexico city during the COVID-19 pandemic. Health Place 2021, 70, 102606. [Google Scholar] [CrossRef]
- Akers, A.; Barton, J.; Cossey, R.; Gainsford, P.; Griffin, M.; Micklewright, D. Visual Color Perception in Green Exercise: Positive Effects on Mood and Perceived Exertion. Environ. Sci. Technol. 2012, 46, 8661–8666. [Google Scholar] [CrossRef]
- Kang, Y.; Jia, Q.; Gao, S.; Zeng, X.; Wang, Y.; Angsuesser, S.; Liu, Y.; Ye, X.; Fei, T. Extracting human emotions at different places based on facial expressions and spatial clustering analysis. Trans. GIS 2019, 23, 450–480. [Google Scholar] [CrossRef]
- Wood, L.; Hooper, P.; Foster, S.; Bull, F. Public green spaces and positive mental health—investigating the relationship between access, quantity and types of parks and mental wellbeing. Health Place 2017, 48, 63–71. [Google Scholar] [CrossRef]
- Bjerke, T.; Østdahl, T.; Thrane, C.; Strumse, E. Vegetation density of urban parks and perceived appropriateness for recreation. Urban For. Urban Green. 2006, 5, 35–44. [Google Scholar] [CrossRef]
- Zhu, X.; Gao, M.; Zhao, W.; Ge, T. Does the Presence of Birdsongs Improve Perceived Levels of Mental Restoration from Park Use? Experiments on Parkways of Harbin Sun Island in China. Int. J. Environ. Res. Public Health 2020, 17, 2271. [Google Scholar] [CrossRef] [Green Version]
- White, M.; Smith, A.; Humphryes, K.; Pahl, S.; Snelling, D.; Depledge, M. Blue space: The importance of water for preference, affect, and restorativeness ratings of natural and built scenes. J. Environ. Psychol. 2010, 30, 482–493. [Google Scholar] [CrossRef]
- Chen, Y.; Yuan, Y. The neighborhood effect of exposure to blue space on elderly individuals’ mental health: A case study in Guangzhou, China. Health Place 2020, 63, 102348. [Google Scholar] [CrossRef] [PubMed]
- Zhao, J.; Xu, W.; Li, R. Visual preference of trees: The effects of tree attributes and seasons. Urban For. Urban Green. 2017, 25, 19–25. [Google Scholar] [CrossRef]
- Barrett, L.F.; Adolphs, R.; Marsella, S.; Martinez, A.M.; Pollak, S.D. Emotional expressions reconsidered: Challenges to in-ferring emotion from human facial movements. Psychol. Sci. Public Interest. 2019, 20, 1–68. [Google Scholar] [CrossRef] [PubMed] [Green Version]
- González-Rodríguez, M.; Díaz-Fernández, M.; Gómez, C.P. Facial-expression recognition: An emergent approach to the measurement of tourist satisfaction through emotions. Telemat. Inform. 2020, 51, 101404. [Google Scholar] [CrossRef]




| Attributes | Variable | Description | Categories | |||||
|---|---|---|---|---|---|---|---|---|
| 1 | 2 | 3 | 4 | 5 | 6 | |||
| Emotion Dimensions | Vsam | Valence measured by SAM scale | ||||||
| Asam | Arousal measured by SAM scale | |||||||
| Vfr | Valence measured by Face recognition | |||||||
| Afr | Arousal measured by Face recognition | |||||||
| Perceived Plant Attributes | A1. Vegetation Layers | Whether the layers of vegetation are abundant | ||||||
| A2. Shape of Trees | Whether the shape of trees is beautiful | |||||||
| A3. Texture of Trees | Whether the tactile sense of trees is smooth | |||||||
| A4. Color Diversity | Whether the UGS is rich in color | |||||||
| A5. Culture Connotation | Whether the UGS is rich in culture atmosphere | |||||||
| Spatial Structure Attributes | B1. Size | Area of urban green space | <0.300 | 0.300–0.800 | >0.800 | |||
| B2. Shape Index of Edges | The ratio of the actual length of the space boundary to the circumference of the same area | <1.500 | 1.500–2.500 | >2.500 | ||||
| B3. Canopy density | The ratio of the total crown width of the tree to the total area of the urban green space | 0.200–0.400 | 0.400–0.600 | 0.600–0.800 | 0.800–1.000 | |||
| C1. Percentage of Water | The number of water pixels in each of the panoramic photo | 0.000–0.100 | 0.100–0.200 | 0.200–0.300 | ||||
| C2. Percentage of Plants | The number of plant pixels in each of the panoramic photo | 0.000–0.2000 | 0.200–0.400 | 0.400–0.600 | 0.600–0.800 | 0.800–1.000 | ||
| Experiences of Urban Green Space | D1. Visit Frequency | The frequency you visit the UGSs | Almost Everyday | 2 or 3 Times a Week | 2 or 3 Times a Month | 2 or 3 Times a Quarter | 2 or 3 Times a Year | Almost Never |
| D2. Use Function | The factors shown in the video that motivate you to use | Soothing or Not | Beautiful or Not | Relaxing or Not | Passable or Not | Lively or Not | Stationary or Not | |
| Variable | Min. | Max. | M | S.D. | Vsam | Asam | Vfr | Afr |
|---|---|---|---|---|---|---|---|---|
| A1 | 1 | 5 | 3.584 | 0.809 | 0.562 ** | 0.538 ** | −0.057 ** | 0.013 |
| A2 | 1 | 5 | 3.531 | 0.844 | 0.602 ** | 0.599 ** | −0.049 ** | 0.012 |
| A3 | 1 | 5 | 3.271 | 0.813 | 0.511 ** | 0.512 ** | −0.023 | 0.022 |
| A4 | 1 | 5 | 3.086 | 0.906 | 0.383 ** | 0.399 ** | −0.094 ** | −0.025 * |
| A5 | 1 | 5 | 3.006 | 0.882 | 0.440 ** | 0.423 ** | −0.096 ** | 0.021 |
| B1 | 0.024 | 1.465 | 0.577 | 0.000 | 0.013 | 0.018 | 0.060 ** | −0.009 |
| B2 | 0.610 | 2.900 | 1.543 | 0.585 | −0.030 * | −0.082 ** | 0.047 ** | 0.010 |
| B3 | 0.350 | 1.000 | 0.626 | 0.222 | −0.038 ** | −0.076 ** | −0.032 * | 0.006 |
| C1 | 0.000 | 0.256 | 0.031 | 0.070 | 0.212 ** | 0.179 ** | 0.001 | 0.013 |
| C2 | 0.455 | 0.806 | 0.668 | 0.090 | 0.136 ** | 0.078 ** | 0.002 | 0.004 |
| D1 | 0 | 6 | 3.647 | 0.871 | 0.434 ** | 0.382 ** | 0.007 | 0.040 ** |
| D2 | 0 | 6 | 2.347 | 1.428 | −0.017 | −0.011 | 0.121 ** | 0.155 ** |
| Dependent | Independent | Unstandardized Beta | t | Sig. | Collinearity Statistics | ||
|---|---|---|---|---|---|---|---|
| B | Standard Error | Tolerance | VIF | ||||
| Vsam r2 = 0.497 (F = 670.019, p = 0.000) | A1 | 0.465 | 0.021 | 21.966 | 0.000 | 0.605 | 1.654 |
| A2 | 0.470 | 0.023 | 20.790 | 0.000 | 0.489 | 2.045 | |
| A3 | 0.318 | 0.022 | 14.714 | 0.000 | 0.576 | 1.737 | |
| A4 | −0.133 | 0.020 | −6.655 | 0.000 | 0.543 | 1.842 | |
| A5 | 0.145 | 0.021 | 7.010 | 0.000 | 0.530 | 1.887 | |
| B3 | 0.295 | 0.064 | 4.620 | 0.000 | 0.884 | 1.131 | |
| C1 | 2.056 | 0.204 | 10.055 | 0.000 | 0.860 | 1.163 | |
| C2 | 1.132 | 0.160 | 7.063 | 0.000 | 0.847 | 1.181 | |
| D2 | 0.153 | 0.011 | 14.261 | 0.000 | 0.758 | 1.319 | |
| Asam r2 = 0.461 (F = 579.961, p = 0.000) | A1 | 0.438 | 0.022 | 20.015 | 0.000 | 0.618 | 1.618 |
| A2 | 0.524 | 0.024 | 22.203 | 0.000 | 0.488 | 2.049 | |
| A3 | 0.352 | 0.023 | 15.601 | 0.000 | 0.574 | 1.742 | |
| A4 | −0.044 | 0.021 | −2.101 | 0.036 | 0.542 | 1.845 | |
| A5 | 0.090 | 0.022 | 4.142 | 0.000 | 0.527 | 1.896 | |
| B2 | −0.126 | 0.025 | −5.114 | 0.000 | 0.925 | 1.082 | |
| B3 | −0.106 | 0.064 | −1.666 | 0.096 | 0.964 | 1.038 | |
| C1 | 0.720 | 0.211 | 3.406 | 0.001 | 0.876 | 1.141 | |
| D2 | 0.083 | 0.011 | 7.433 | 0.000 | 0.757 | 1.320 | |
| Vfr r2 = 0.020 (F = 20.409, p = 0.000) | A4 | −2.162 | 0.843 | −3.823 | 0.010 | 0.595 | 1.681 |
| A5 | −5.007 | 0.900 | −5.703 | 0.000 | 0.550 | 1.817 | |
| B1 | 3.239 | 1.231 | 4.192 | 0.009 | 0.995 | 1.005 | |
| B2 | 2.757 | 1.014 | 3.649 | 0.007 | 0.986 | 1.014 | |
| D1 | 3.680 | 0.679 | 9.062 | 0.000 | 0.994 | 1.006 | |
| Afr r2= 0.019 (F = 40.537, p = 0.000) | A4 | −0.514 | 0.307 | −1.674 | 0.094 | 0.855 | 1.170 |
| D1 | 3.093 | 0.297 | 10.411 | 0.000 | 0.986 | 1.014 | |
| D2 | 0.430 | 0.195 | 2.207 | 0.027 | 0.853 | 1.172 | |
| Dependent Gender | M | S.D. | Sig. | |
|---|---|---|---|---|
| Vsam | Male | 5.929 | 1.396 | 0.000 ** |
| Female | 6.122 | 1.524 | ||
| Vfr | Male | 12.499 | 38.627 | 0.000 ** |
| Female | 17.455 | 39.858 | ||
| Asam | Male | 5.579 | 1.403 | 0.000 ** |
| Female | 5.785 | 1.539 | ||
| Afr | Male | 44.319 | 17.169 | 0.000 ** |
| Female | 40.834 | 17.790 | ||
Publisher’s Note: MDPI stays neutral with regard to jurisdictional claims in published maps and institutional affiliations. |
© 2021 by the authors. Licensee MDPI, Basel, Switzerland. This article is an open access article distributed under the terms and conditions of the Creative Commons Attribution (CC BY) license (https://creativecommons.org/licenses/by/4.0/).
Share and Cite
Qiao, L.; Zhuang, J.; Zhang, X.; Su, Y.; Xia, Y. Assessing Emotional Responses to the Spatial Quality of Urban Green Spaces through Self-Report and Face Recognition Measures. Int. J. Environ. Res. Public Health 2021, 18, 8526. https://doi.org/10.3390/ijerph18168526
Qiao L, Zhuang J, Zhang X, Su Y, Xia Y. Assessing Emotional Responses to the Spatial Quality of Urban Green Spaces through Self-Report and Face Recognition Measures. International Journal of Environmental Research and Public Health. 2021; 18(16):8526. https://doi.org/10.3390/ijerph18168526
Chicago/Turabian StyleQiao, Lin, Jingwei Zhuang, Xuan Zhang, Yang Su, and Yiping Xia. 2021. "Assessing Emotional Responses to the Spatial Quality of Urban Green Spaces through Self-Report and Face Recognition Measures" International Journal of Environmental Research and Public Health 18, no. 16: 8526. https://doi.org/10.3390/ijerph18168526
APA StyleQiao, L., Zhuang, J., Zhang, X., Su, Y., & Xia, Y. (2021). Assessing Emotional Responses to the Spatial Quality of Urban Green Spaces through Self-Report and Face Recognition Measures. International Journal of Environmental Research and Public Health, 18(16), 8526. https://doi.org/10.3390/ijerph18168526

