The Relationship between Dynamic Balance and Jumping Tests among Adolescent Amateur Rugby Players. A Preliminary Study
Abstract
1. Introduction
2. Materials and Methods
2.1. Participants
2.2. Procedures
2.2.1. Dynamic Balance
2.2.2. Countermovement Jump (CMJ)
2.2.3. Single Leg Hop for Distance (SLHD)
2.2.4. Landing Error Score System (LESS)
2.3. Statistical Analysis
3. Results
3.1. The Characteristics and Association between Legs in the YBT and SLHD of the Studied Group of Adolescent Rugby Players
3.2. The Correlations between the Hop Tests and YBT COMb
3.3. Linear Regression Model and Correlations for Dominant Leg SLHD and Dominant Leg YBT
4. Discussion
5. Conclusions
Author Contributions
Funding
Institutional Review Board Statement
Informed Consent Statement
Data Availability Statement
Conflicts of Interest
References
- Waldron, M.; Twist, C.; Highton, J.; Worsfold, P.; Daniels, M. Movement and physiological match demands of elite rugby league using portable global positioning systems. J. Sports Sci. 2011, 29, 1223–1230. [Google Scholar] [CrossRef] [PubMed]
- Gabbett, T. Physiological and anthropometric characteristics of starters and non-starters in junior rugby league players, aged 13–17 years. J. Sports Med. Phys. Fit. 2009, 49, 233. [Google Scholar]
- Gabbett, T.J. Sprinting patterns of national rugby league competition. J. Strength Cond. Res. 2012, 26, 121–130. [Google Scholar] [CrossRef] [PubMed]
- Johnston, W.; Duignan, C.; Coughlan, G.F.; Caulfield, B. Dynamic balance performance varies by position but not by age group in elite Rugby Union players—A normative study. J. Sports Sci. 2019, 37, 1308–1313. [Google Scholar] [CrossRef] [PubMed]
- Haseler, C.M.; Carmont, M.R.; England, M. The epidemiology of injuries in English youth community rugby union. Br. J. Sports Med. 2010, 44, 1093–1099. [Google Scholar] [CrossRef]
- Wang, H.K.; Chen, C.H.; Shiang, T.Y.; Jan, M.H.; Lin, K.H. Riskfactor analysis of high school basketball-player ankle injuries: A prospective controlled cohort study evaluating postural sway, ankle strength, and flexibility. Arch. Phys. Med. Rehabil. 2006, 87, 821–825. [Google Scholar] [CrossRef]
- Willems, T.; Witvrouw, E.; Verstuyft, J.; Vaes, P.; De Clercq, D. Proprioception and Muscle Strength in Subjects with a History of Ankle Sprains and Chronic Instability. J. Athl. Train. 2002, 37, 487–493. [Google Scholar]
- Butler, R.J.; Southers, C.; Gorman, P.P.; Kiesel, K.B.; Plisky, P.J. Differences in soccer players dynamic balance across levels of competition. J. Athl. Train. 2012, 47, 616–620. [Google Scholar] [CrossRef]
- Plisky, P.J.; Gorman, P.P.; Butler, R.J.; Kiesel, K.B.; Underwood, F.B.; Elkins, B. The reliability of an instrumented device for measuring components of the star excursion balance test. N. Am. J. Sports Phys. Ther. 2009, 4, 92–99. [Google Scholar]
- Hartley, E.M.; Hoch, M.C.; Boling, M.C. Y-balance test performance and BMI are associated with ankle sprain injury in collegiate male athletes. J. Sci. Med. Sport 2018, 21, 676–680. [Google Scholar] [CrossRef]
- Smith, C.A.; Chimera, N.J.; Warren, M. Association of y balance test reach asymmetry and injury in division I athletes. Med. Sci. Sports Exerc. 2015, 47, 136–141. [Google Scholar] [CrossRef] [PubMed]
- Johnston, W.; O’Reilly, M.; Duignan, C.; Liston, M.; McLoughlin, R.; Coughlan, G.F.; Caulfield, B. Association of Dynamic Balance with Sports-Related Concussion: A Prospective Cohort Study. Am. J. Sports Med. 2019, 47, 197–205. [Google Scholar] [CrossRef] [PubMed]
- Booysen, M.J.; Gradidge, P.J.; Watson, E. The relationships of eccentric strength and power with dynamic balance in male footballers. J. Sports Sci. 2015, 33, 2157–2165. [Google Scholar] [CrossRef] [PubMed]
- Leetun, D.T.; Ireland, M.L.; Willson, J.D.; Ballantyne, B.T.; Davis, I.M. Core stability measures as risk factors for lower extremity injury in athletes. Med. Sci. Sports Exerc. 2004, 36, 926–934. [Google Scholar] [CrossRef]
- López-Valenciano, A.; Ayala, F.; De Ste Croix, M.; Barbado, D.; Vera-Garcia, F.J. Different neuromuscular parameters influence dynamic balance in male and female football players. Knee Surg. Sports Traumatol. Arthrosc. 2019, 27, 962–970. [Google Scholar] [CrossRef]
- Markovic, G.; Dizdar, D.; Jukic, I.; Cardinale, M. Reliability and factorial validity of squat and countermovement jump tests. J. Strength Cond. Res. 2004, 18, 551–555. [Google Scholar]
- Kockum, B.; Heijne, A.I. Hop performance and leg muscle power in athletes: Reliability of a test battery. Phys. Ther. Sport 2015, 16, 222–227. [Google Scholar] [CrossRef]
- Goossens, L.; Witvrouw, E.; Vanden Bossche, L.; De Clercq, D. Lower eccentric hamstring strength and single leg hop for distance predict hamstring injury in PETE students. Eur. J. Sport Sci. 2015, 15, 436–442. [Google Scholar] [CrossRef]
- Erkmen, N.; Taskin, H.; Sanioğlu, A.; Kaplan, T.; Baştürk, D. Relationships between Balance and Functional Performance in Football Players. J. Hum. Kinet. 2010, 26, 21–29. [Google Scholar] [CrossRef]
- Granacher, U.; Gollhofer, A. Is there an association between variables of postural control and strength in adolescents? J. Strength Cond. Res. 2011, 25, 1718–1725. [Google Scholar] [CrossRef]
- Padua, D.A.; Marshall, S.W.; Boling, M.C.; Thigpen, C.A.; Garrett, W.E., Jr.; Beutler, A.I. The Landing Error Scoring System (LESS) Is a valid and reliable clinical assessment tool of jump-landing biomechanics: The JUMP-ACL study. Am. J. Sports Med. 2009, 37, 1996–2002. [Google Scholar] [CrossRef] [PubMed]
- Padua, D.A.; DiStefano, L.J.; Beutler, A.I.; de la Motte, S.J.; DiStefano, M.J.; Marshall, S.W. The Landing Error Scoring System as a Screening Tool for an Anterior Cruciate Ligament Injury-Prevention Program in Elite-Youth Soccer Athletes. J. Athl. Train. 2015, 50, 589–595. [Google Scholar] [CrossRef] [PubMed]
- Muehlbauer, T.; Gollhofer, A.; Granacher, U. Associations Between Measures of Balance and Lower-Extremity Muscle Strength/Power in Healthy Individuals Across the Lifespan: A Systematic Review and Meta-Analysis. Sports Med. 2015, 45, 1671–1692. [Google Scholar] [CrossRef] [PubMed]
- Schubert, M.; Beck, S.; Taube, W.; Amtage, F.; Faist, M.; Gruber, M. Balance training and ballistic strength training are associated with task-specific corticospinal adaptations. Eur. J. Neurosci. 2008, 27, 2007–2018. [Google Scholar] [CrossRef]
- Lephart, S.M.; Pincivero, D.M.; Giraldo, J.L.; Fu, F.H. The role of proprioception in the management and rehabilitation of athletic injuries. Am. J. Sports Med. 1997, 25, 130–137. [Google Scholar] [CrossRef]
- Wilczyński, B.; Zorena, K.; Ślęzak, D. Dynamic Knee Valgus in Single-Leg Movement Tasks. Potentially Modifiable Factors and Exercise Training Options. A Literature Review. Int. J. Environ. Res. Public Health 2020, 17, 8208. [Google Scholar] [CrossRef]
- Shaffer, S.W.; Teyhen, D.S.; Lorenson, C.L.; Warren, R.L.; Koreerat, C.M.; Straseske, C.A.; Childs, J.D. Y-balance test: A reliability study involving multiple raters. Mil. Med. 2013, 178, 1264–1270. [Google Scholar] [CrossRef]
- Castagna, C.; Castellini, E. Vertical jump performance in italian male and female national team soccer players. J. Strength Cond. Res. 2013, 27, 1156–1161. [Google Scholar] [CrossRef]
- Cormack, S.J.; Newton, R.U.; McGuigan, M.R.; Doyle, T.L. Reliability of measures obtained during single and repeated countermovement jumps. Int. J. Sports Physiol. Perform. 2008, 3, 131–144. [Google Scholar] [CrossRef]
- Gheller, R.G.; Dal Pupo, J.; Ache-Dias, J.; Detanico, D.; Padulo, J.; dos Santos, S.G. Effect of different knee starting angles on intersegmental coordination and performance in vertical jumps. Hum. Mov. Sci. 2015, 42, 71–80. [Google Scholar] [CrossRef]
- Munro, A.G.; Herrington, L.C. Between-session reliability of four hop tests and the agility T-test. J. Strength Cond. Res. 2011, 25, 1470–1477. [Google Scholar] [CrossRef] [PubMed]
- Peat, J.; Barton, B.; Elliot, E. Statistics Workbook for Evidence-Based Health Care; John Wiley & Sons: Hoboken, NJ, USA, 2009. [Google Scholar]
- Gruber, M.; Gruber, S.B.; Taube, W.; Schubert, M.; Beck, S.C.; Gollhofer, A. Differential effects of ballistic versus sensorimotor training on rate of force development and neural activation in humans. J. Strength Cond. Res. 2007, 21, 274–282. [Google Scholar] [CrossRef] [PubMed]
- Granacher, U.; Gollhofer, A.; Kriemler, S. Effects of balance training on postural sway, leg extensor strength and jumping height in adolescents. Res. Q. Exerc. Sport 2010, 81, 245–251. [Google Scholar] [CrossRef]
- Kramer, T.A.; Sacko, R.S.; Pfeifer, C.E.; Gatens, D.R.; Goins, J.M.; Stodden, D.F. The association between the functional movement screen (tm), y-balance test, and physical performance tests in male and female high school athletes. Int. J. Sports Phys. Ther. 2019, 14, 911–919. [Google Scholar] [CrossRef]
- Milliken, L.A.; Faigenbaum, A.D.; Loud, R.L.; Westcott, W.L. Correlates of upper and lower body muscular strength in children. J. Strength Cond. Res. 2008, 22, 1339–1346. [Google Scholar] [CrossRef] [PubMed]
- Jastrzebski, Z.; Wnorowski, K.; Mikolajewski, R.; Jaskulska, E.; Radziminski, L. The effect of a 6-week plyometric training on explosive power in volleyball players. Balt. J. Health Phys. Activ. 2014, 6, 79–89. [Google Scholar] [CrossRef]
- de la Motte, S.J.; Gribbin, T.C.; Lisman, P.; Beutler, A.I.; Deuster, P. The Interrelationship of Common Clinical Movement Screens: Establishing Population-Specific Norms in a Large Cohort of Military Applicants. J. Athl. Train. 2016, 51, 897–904. [Google Scholar] [CrossRef] [PubMed]
- Earl, J.E.; Hertel, J. Lower-extremity muscle activation during the star excursion balance tests. J. Sport Rehabil. 2001, 10, 93–104. [Google Scholar] [CrossRef]
- Gonzalez-Badillo, J.J.; Marques, M.C. Relationship between kinematic factors and countermovement jump height in trained track and field athletes. J. Strength Cond. Res. 2010, 24, 3443–3447. [Google Scholar] [CrossRef]
- Hegedus, E.J.; McDonough, S.M.; Bleakley, C.; Baxter, D.; Cook, C.E. Clinician-friendly lower extremity physical performance tests in athletes: A systematic review of measurement properties and correlation with injury. Part 2—The tests for the hip, thigh, foot and ankle including the star excursion balance test. Br. J. Sports Med. 2015, 49, 649–656. [Google Scholar] [CrossRef]
- Šiupšinskas, L.; Garbenytė-Apolinskienė, T.; Salatkaitė, S.; Gudas, R.; Trumpickas, V. Association of pre-season musculoskeletal screening and functional testing with sports injuries in elite female basketball players. Sci. Rep. 2019, 9, 9286. [Google Scholar] [CrossRef] [PubMed]
- Weakley, J.J.S.; Till, K.; Darrall-Jones, J.; Roe, G.A.B.; Phibbs, P.J.; Read, D.B.; Jones, B.L. Strength and Conditioning Practices in Adolescent Rugby Players: Relationship with Changes in Physical Qualities. J. Strength Cond. Res. 2019, 33, 2361–2369. [Google Scholar] [CrossRef] [PubMed]
- Fontana, F.Y.; Colosio, A.L.; Da Lozzo, G.; Pogliaghi, S. Player’s success prediction in rugby union: From youth performance to senior level placing. J. Sci. Med. Sport 2017, 20, 409–414. [Google Scholar] [CrossRef] [PubMed]


| Mean | Std Dev | |
|---|---|---|
| Age (years) | 14.3 | 1.6 |
| Height (cm) | 171.4 | 9.7 |
| Body mass (kg) | 80 | 26 |
| BMI (m/kg) | 27 | 7 |
| Rugby training experience (years) | 4 | 3 |
| Dominant leg | right = 27 | |
| left = 4 | ||
| Position on the pitch | Forward =18 | |
| Backs = 13 | ||
| Variable | Dominant | Nondominant | p-Value * | |
|---|---|---|---|---|
| Y-Balance Test LL% | ANT | 60.63 ± 7.21 | 59.40 ± 7.58 | 0.51 |
| PL | 96.27 ± 8.55 | 95.08 ± 8.90 | 0.59 | |
| PM | 92.13 ± 8.78 | 94.53 ± 11.55 | 0.36 | |
| COM | 82.99 ± 6.62 | 82.99 ± 7.35 | 0.99 | |
| SLHD (cm) | 127.26 ± 29.25 | 129.87 ± 30.73 | 0.73 | |
| Y-Balance Test LL% mean both legs | COMb | 83.02 ± 6.80 | ||
| SLHD mean both legs (cm) | SLHDb | 128.59 ± 29.53 | ||
| LESS (points) | 5.52 ± 1.52 | |||
| CMJ (cm) | 28.75 ± 6.14 | |||
| CMJ | SLHD | LESS | |
|---|---|---|---|
| CMJ | |||
| SLHDb | 0.72 * | ||
| LESS | 0.06 | −0.1 | |
| COMb | 0.48 * | 0.51 * | 0.19 |
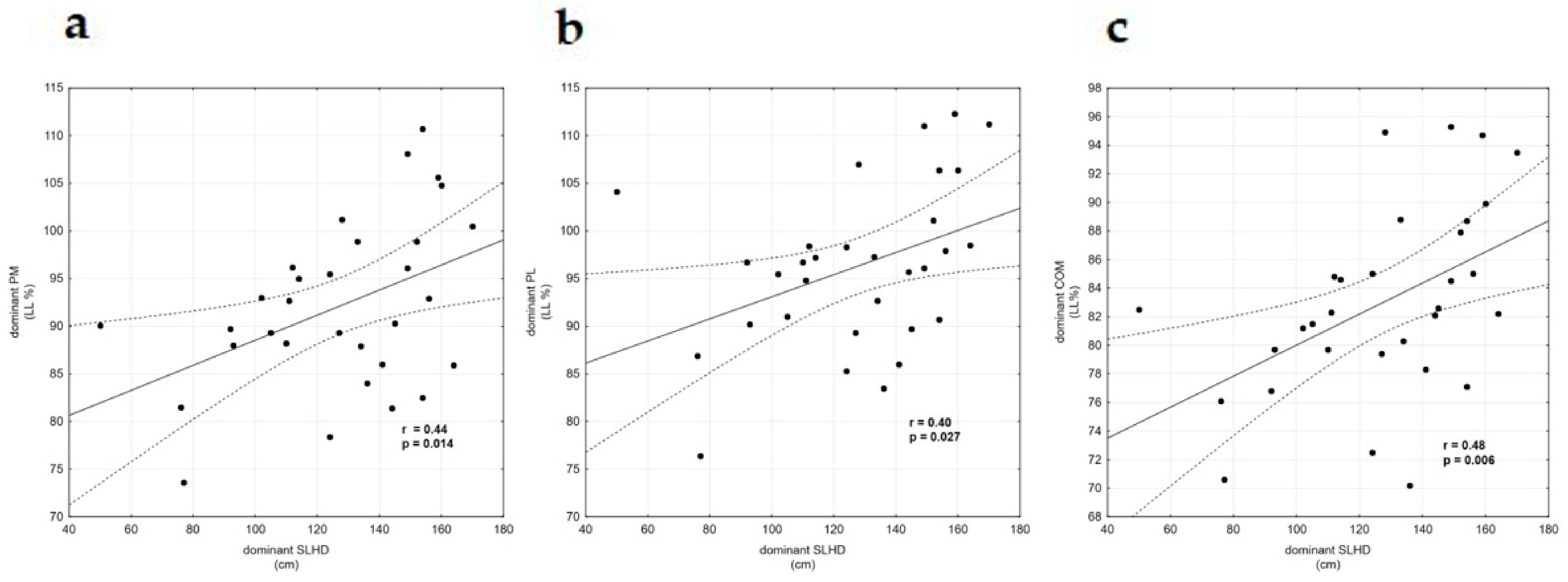
| R | Adj r2 | p-Value | Strength | |
|---|---|---|---|---|
| SLHD | ||||
| Y-Balance Test | ||||
| ANT | 0.32 | 0.07 | 0.73 | Moderate |
| PL | 0.4 | 0.13 | 0.027 * | Moderate |
| PM | 0.44 | 0.16 | 0.014 * | Moderate |
| COM | 0.48 | 0.2 | 0.006 * | Moderate |
Publisher’s Note: MDPI stays neutral with regard to jurisdictional claims in published maps and institutional affiliations. |
© 2021 by the authors. Licensee MDPI, Basel, Switzerland. This article is an open access article distributed under the terms and conditions of the Creative Commons Attribution (CC BY) license (http://creativecommons.org/licenses/by/4.0/).
Share and Cite
Wilczyński, B.; Hinca, J.; Ślęzak, D.; Zorena, K. The Relationship between Dynamic Balance and Jumping Tests among Adolescent Amateur Rugby Players. A Preliminary Study. Int. J. Environ. Res. Public Health 2021, 18, 312. https://doi.org/10.3390/ijerph18010312
Wilczyński B, Hinca J, Ślęzak D, Zorena K. The Relationship between Dynamic Balance and Jumping Tests among Adolescent Amateur Rugby Players. A Preliminary Study. International Journal of Environmental Research and Public Health. 2021; 18(1):312. https://doi.org/10.3390/ijerph18010312
Chicago/Turabian StyleWilczyński, Bartosz, Jakub Hinca, Daniel Ślęzak, and Katarzyna Zorena. 2021. "The Relationship between Dynamic Balance and Jumping Tests among Adolescent Amateur Rugby Players. A Preliminary Study" International Journal of Environmental Research and Public Health 18, no. 1: 312. https://doi.org/10.3390/ijerph18010312
APA StyleWilczyński, B., Hinca, J., Ślęzak, D., & Zorena, K. (2021). The Relationship between Dynamic Balance and Jumping Tests among Adolescent Amateur Rugby Players. A Preliminary Study. International Journal of Environmental Research and Public Health, 18(1), 312. https://doi.org/10.3390/ijerph18010312

