Physical Activity Habits and Determinants, Sedentary Behaviour and Lifestyle in University Students
Abstract
1. Introduction
2. Materials and Methods
2.1. Participants
2.2. Tools
2.3. Procedure
2.4. Statistical Analysis
3. Results
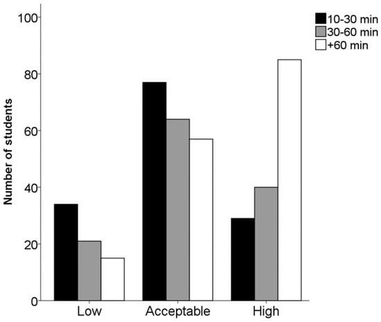
3.1. Demographics and Reasons behind the Performance and Abandonment of Physical Exercise
3.2. Sedentary Behaviour: Screen Time and Time Studying
3.3. Health Problems
3.4. Perception of Health and Physical Condition
3.5. Drug Consumption
3.6. Interpersonal Relations
3.7. Physical Education in School and Extra-Curricular Physical Activity
4. Discussion
5. Conclusions
Author Contributions
Funding
Acknowledgments
Conflicts of Interest
References
- Tremblay, M.S.; Aubert, S.; Barnes, J.D.; Saunders, T.J.; Carson, V.; Latimer-Cheung, A.E.; Chastin, F.M.; Altenburg, T.M.; Chinapaw, M.J.M. Sedentary Behavior Research Network (SBRN)- terminology consensus project. Int. J. Behav. Nutr. Phys. 2017, 14, 75. [Google Scholar] [CrossRef] [PubMed]
- Owen, N.; Healy, G.N.; Matthews, C.E.; Dunstan, D.W. Too much sitting: The population-health science of sedentary behavior. Exerc. Sport Sci. 2010, 38, 105–113. [Google Scholar] [CrossRef] [PubMed]
- Janssen, I.; LeBlanc, A.G. Systematic review of the health benefits of physical activity and fitness in school-aged children and youth. Int. J. Behav. Nutr. Phys. Act. 2010, 7, 40. [Google Scholar] [CrossRef]
- Warburton, D.E.; Nicol, C.W.; Bredin, S.S. Health benefits of physical activity: The evidence. Can. Med. Assoc. J. 2006, 174, 801–809. [Google Scholar] [CrossRef]
- World Health Organization. Global Recommendations on Physical Activity for Health. 2010. Available online: https://apps.who.int/iris/bitstream/handle/10665/44399/9789241599979_eng.pdf?sequence=1 (accessed on 20 March 2020).
- World Health Organization. Global Action Plan on Physical Activity 2018–2030: More Active People for a Healthier World; Licence: CC BY-NC-SA 3.0 IGO.; World Health Organization: Geneva, Switzerland, 2018. [Google Scholar]
- Guo, C.; Zhou, Q.; Zhang, D.; Qin, P.; Li, Q.; Tian, G.; Liu, D.; Chen, X.; Liu, L.; Liu, F.; et al. Association of Total Sedentary Behaviour and Television Viewing with Risk of Overweight/Obesity, Type 2 Diabetes and Hypertension: A Dose-Response Meta-Analysis. Diabetes Obes. Metab. 2020, 22, 79–80. [Google Scholar] [CrossRef]
- Lätt, E.; Mäestu, J.; Ortega, F.B.; Rääsk, T.; Jürimäe, T.; Jürimäe, J. Vigorous physical activity rather than sedentary behaviour predicts overweight and obesity in pubertal boys: A 2-year follow-up study. Scand. J. Public Health 2015, 43, 276–282. [Google Scholar] [CrossRef]
- Cannioto, R.; Etter, J.L.; LaMonte, M.J.; Ray, A.D.; Joseph, J.M.; Al Qassim, E.; Eng, K.H.; Moysich, K.B. Lifetime physical inactivity is associated with lung cancer risk and mortality. Cancer Treat. Res. Commun. 2018, 14, 37–45. [Google Scholar] [CrossRef]
- Cong, Y.; Gan, Y.; Sun, H.; Deng, J.; Cao, S.; Xu, X.; Lu, Z. Association of sedentary behaviour with colon and rectal cancer: A meta-analysis of observational studies. Br. J. Cancer 2014, 110, 817–826. [Google Scholar] [CrossRef]
- Schmid, D.; Leitzmann, M.F. Television viewing and time spent sedentary in relation to cancer risk: A meta-analysis. J. Natl. Cancer Inst. 2014, 106, dju098. [Google Scholar] [CrossRef]
- Lee, I.M.; Shiroma, E.J.; Lobelo, F.; Puska, P.; Blair, S.N.; Katzmarzyk, P.T. Impact of Physical Inactivity on the World’s Major Non-Communicable Diseases. Lancet 2012, 180, 219–229. [Google Scholar] [CrossRef]
- Greer, A.E.; Sui, X.; Maslow, A.L.; Greer, B.K.; Blair, S.N. The effects of sedentary behavior on metabolic syndrome independent of physical activity and cardiorespiratory fitness. J. Phys. Act. Health 2015, 12, 68–73. [Google Scholar] [CrossRef]
- Van der Berg, J.D.; Stehouwer, C.D.A.; Bosma, H.; van der Velde, J.H.P.M.; Willems, P.J.B.; Savelberg, H.H.C.M.; Schram, M.T.; Sep, S.J.S.; van der Kallen, C.J.H.; Henry, R.M.A.; et al. Associations of total amount and patterns of sedentary behaviour with type 2 diabetes and the metabolic syndrome: The Maastricht Study. Diabetologia 2016, 59, 709–718. [Google Scholar] [CrossRef] [PubMed]
- Sattelmair, J.R.; Perman, J.; Ding, E.L.; Hohl, H.W.; Haskell, W.L.; Lee, I.-M. Dose-response between physical activity and risk of coronary heart disease: A meta-analysis. Circulation 2011, 124, 789–795. [Google Scholar] [CrossRef] [PubMed]
- Tunaji, H.A.; Davis, J.C.; Mansournia, M.A.; Khan, K.M. Population attributable fraction of leading non-communicable cardiovascular diseases due to leisure-time physical inactivity: A systematic review. BMJ Open Sport Exerc. Med. 2019, 5, e000512. [Google Scholar] [CrossRef] [PubMed]
- Wilmot, E.G.; Edwardson, C.L.; Achana, F.A.; Davies, M.J.; Gorely, T.; Gray, L.J.; Khunti, K.; Yates, T.; Biddle, S.J. Sedentary time in adults and the association with diabetes, cardiovascular disease and death: Systematic review and meta-analysis. Diabetologia 2012, 55, 2895–2905. [Google Scholar] [CrossRef] [PubMed]
- Lollgen, H.; Bockenhoff, A.; Knapp, G. Physical activity and all-cause mortality: An updated meta-analysis with different intensity categories. Int. J Sports Med. 2009, 30, 213–224. [Google Scholar] [CrossRef]
- Ruiz, J.R.; Ortega, F.B.; Martinez-Gomez, D.; Labayen, I.; Moreno, L.A.; de Bourdeaudhuji, I.; Manios, Y.; Gonzalez-Gross, M.; Mauro, B.; Molnar, D.; et al. Objectively measured physical activity and sedentary time in European adolescents: The Helena study. Am. J. Epidemiol. 2011, 174, 173–184. [Google Scholar] [CrossRef]
- Vallance, J.K.; Winkler, E.A.; Gardiner, P.A.; Healy, G.N.; Lynch, B.M.; Owen, N. Associations of objectively-assessed physical activity and sedentary time with depression: NHANES (2005–2006). Prev. Med. 2011, 53, 284–288. [Google Scholar] [CrossRef]
- Zhai, L.; Zhang, Y.; Zhang, D. Sedentary behaviour and the risk of depression: A meta-analysis. Br. J. Sports Med. 2015, 49, 105–109. [Google Scholar] [CrossRef]
- Bélair, M.A.; Kohen, D.E.; Kingsbury, M.; Colman, I. Relationship Between Leisure Time Physical Activity, Sedentary Behaviour and Symptoms of Depression and Anxiety: Evidence from a Population-Based Sample of Canadian Adolescents. BMJ Open 2018, 8, e021119. [Google Scholar] [CrossRef]
- Teychenne, M.; Costigan, S.A.; Parker, K. The association between sedentary behaviour and risk of anxiety: A systematic review. BMC Pub. Health 2015, 15, 513. [Google Scholar] [CrossRef] [PubMed]
- Hrafnkelsdottir, S.M.; Brychta, R.J.; Rognvaldsdottir, V.; Gestsdottir, S.; Chen, K.Y.; Johannsson, E.; Gu›mundsdottir, S.L.; Arngrimsson, S.A. Less screen time and more frequent vigorous physical activity is associated with lower risk of reporting negative mental health symptoms among Icelandic adolescents. PLoS ONE 2018, 13, e0196286. [Google Scholar] [CrossRef] [PubMed]
- Pengpid, S.; Peltzer, K. Sedentary Behaviour, Physical Activity and Life Satisfaction, Happiness and Perceived Health Status in University Students from 24 Countries. Int. J Environ. Res. Public Health 2019, 16, 2084. [Google Scholar] [CrossRef] [PubMed]
- Cotten, E.; Prapavessis, H. Increasing nonsedentary behaviors in university students using text messages: Randomized controlled trial. JMIR Mhealth Uhealth 2016, 4, e99. [Google Scholar] [CrossRef]
- Crombie, A.P.; Ilich, J.Z.; Dutton, G.R.; Panton, L.B.; Abood, D.A. The freshman weight gain phenomenon revisited. Nutr. Rev. 2009, 67, 83–94. [Google Scholar] [CrossRef]
- Vella-Zarb, R.A.; Elgar, F.J. The ‘freshman 5’: A meta-analysis of weight gain in the freshman year of college. J. Am. Coll. Health 2009, 58, 161–166. [Google Scholar] [CrossRef]
- El Ansari, W.; Oskrochi, R.; Haghgoo, G. Are students’ symptoms and health complaints associated with perceived stress at university? Perspectives from the United kingdom and Egypt. Int. J. Environ. Res. Public Health 2014, 11, 9981–10002. [Google Scholar] [CrossRef]
- Castillo, E.; Abad, M.T.; Giménez, F.J.; Robles, J. Designing a questionnaire on physical activity habits and lifestyle from the Delphi method. E-balonmano.com. Revis. Ci. Dep. 2012, 8, 51–66. [Google Scholar]
- Dragoescu, R.M. An overview of higher education at the European level. Comput. Methods Soc. Sci. 2013, 1, 21. [Google Scholar]
- Leslie, E.; Owen, N.; Salmon, J.; Bauman, A.; Sallis, J.F.; Lo, S.K. Insufficiently active Australian college students: Perceived personal, social, and environmental influences. Prev. Med. 1999, 28, 20–27. [Google Scholar] [CrossRef]
- National Center for Health Statistics. Healthy People 2010 Final Review; National Center for Health Statistics: Hyattsville, MD, USA, 2012.
- García-Fernández, J.; González-López, J.R.; Vilches-Arenas, A.; Lomas-Campos, M.M. Determinants of Physical Activity Performed by Young Adults. Int. J. Environ. Res. Public Health 2019, 16, 4061. [Google Scholar] [CrossRef] [PubMed]
- Ministerio de Sanidad, Servicios Sociales e Igualdad. Encuesta Nacional de Salud. España 2011/12. Actividad física descanso y ocio; Ministerio de Sanidad, Servicios Sociales e Igualdad: Madrid, Spain, 2014.
- World Health Organization. Physical inactivity: A Global Public Health Problem. Available online: https://www.who.int/dietphysicalactivity/factsheet_inactivity/en/ (accessed on 7 April 2020).
- Haase, A.; Steptoe, A.; Sallis, J.F.; Wardle, J. Leisuretime physical activity in university students from 23 countries: Associations with health beliefs, risk awareness, and national economic development. Prev. Med. 2004, 39, 182–190. [Google Scholar] [CrossRef] [PubMed]
- Artazcoz, L.; Moya, C.; Vanaclocha, H.; Pont, P. Adult health. Gac. Sanit. 2004, 18, 56–68. [Google Scholar] [CrossRef]
- Romaguera, D.; Tauler, P.; Bennsar, M.; Pericas, J.; Moreno, C.; Martínez, S.; Aguilo, A. Determinants and patterns of physical activity practice among Spanish university students. J. Sports Sci. 2011, 29, 989–997. [Google Scholar] [CrossRef]
- Gómez-López, M.; Granero Gallegos, A.; Baena Extremera, A. Perceived barriers by university students in the practice of physical activities. J. Sports Sci. Med. 2010, 9, 374–381. [Google Scholar]
- Gómez-López, M.; Granero-Gallegos, A.; Baena-Extremera, A.; Ruiz-Juan, F. The Abandonment of an Active Lifestyle within University Students: Reasons for Abandonment and Expectations or Re-engagement. Psychol. Belg. 2011, 51, 155–175. [Google Scholar] [CrossRef]
- Mansoubi, M.; Pearson, N.; Biddle, S.J.; Clemes, S. The relationship between sedentary behaviour and physical activity in adults: A systematic review. Prev. Med. 2014, 69, 28–35. [Google Scholar] [CrossRef]
- Fountaine, C.J.; Liguori, G.A.; Mozumdar, A.; Schuna, J.M. Physical activity and screen time sedentary behaviors in college students. Int. J. Exerc. Sci. 2011, 4, 102–112. [Google Scholar]
- Lacy, K.E.; Allender, S.E.; Kremer, P.J.; Silva-Sanigorski, A.M.; Millar, L.M.; Moodie, M.L.; Mathews, L.B.; Malakellis, M.; Swinburn, B.A. Screen time and physical activity behaviours are associated with health-related quality of life in Australian adolescents. Qual. Life Res. 2012, 21, 1085–1099. [Google Scholar] [CrossRef]
- Chastin, S.F.M.; Dontje, M.L.; Skelton, D.A.; Čukić, I.; Shaw, R.J.; Gill, J.M.R.; Greig, C.A.; Gale, C.R.; Deary, I.J.; Der, G.; et al. Systematic comparative validation of self-report measures of sedentary time against an objective measure of postural sitting (activPAL). Int. J. Behav. Nutr. Phys. Act. 2018, 15, 21. [Google Scholar] [CrossRef]
- Opdal, I.M.; Morseth, B.; Handegard, B.-H.; Lillevoll, K.R.; Nilsen, W.; Nilsen, C.; Furberg, A.-S.; Rosenbaum, S.; Rogmo, K. Is change in mental distress among adolescents predicted by sedentary behaviour or screen time? Results from the longitudinal population study. The Tromso Study: Fit Futures. BMJ Open 2020, 10, e035549. [Google Scholar] [CrossRef]
- Gopinath, B.; Hardy, L.L.; Baur, L.A.; Burlutsky, G.; Mitchel, P. Physical activity and sedentary behaviors and health-related quality of life in adolescents. Pediatrics 2012, 130, e167–e174. [Google Scholar] [CrossRef]
- Biddle, S.J.H.; García Bengoechea, E.; Bennie, J.; Pedisic, Z.; Vergeer, I.; Wiesner, G. Screen time, other sedentary behaviours, and obesity risk in adults: A review of reviews. Curr. Obes. Rep. 2017, 6, 134–147. [Google Scholar] [CrossRef]
- Camacho, G.; Nakazato, T. Looking at the smartphone screen for a prolonged time is associated with chronic neck pain, specially in young adults. Ann. Phys. Rehabil. Med. 2018, 61, e113. [Google Scholar] [CrossRef]
- Montagni, I.; Guichard, E.; Carpenet, C.; Tzourio, C.; Kurth, T. Screen time exposure and reporting of headaches in young adults: A cross-sectional study. Cephalalgia 2016, 36, 1020–1027. [Google Scholar] [CrossRef]
- Hale, L.; Guan, S. Screen time and sleep among school-aged children and adolescents: A systematic literature review. Sleep Med. 2015, 21, 50–58. [Google Scholar] [CrossRef]
- Gunnell, K.E.; Flament, M.F.; Buchholz, A.; Henderson, K.A.; Obeid, N.; Schubert, N.; Goldfield, G.S. Examining the bidirectional relationship between physical activity, screen time, and symptoms of anxiety and depression over time during adolescence. Prev. Med. 2016, 88, 147–152. [Google Scholar] [CrossRef]
- Kross, E.; Verduyn, P.; Demiralp, E.; Park, J.; Lee, D.S.; Lin, N.; Shablack, H.; Jonides, J.; Ybarra, O. Facebook use predicts declines in subjective well-being in young adults. PLoS ONE 2013, 8, e69841. [Google Scholar] [CrossRef]
- Richards, J.; Jiang, X.; Kelly, P.; Chau, J.; Bauman, A.; Ding, D. Don’t worry, be happy: Cross-sectional associations between physical activity and happiness in 15 European countries. BMC Public Health 2015, 15, 53. [Google Scholar] [CrossRef]
- Ross, A.; Cloutier, S.; Searle, M. The association between leisure time physical activity and happiness: Testing the indirect role of health perception. J. Community Psychol. 2019, 47, 1169–1183. [Google Scholar] [CrossRef]
- Manz, K.; Mensink, G.B.N.; Finger, J.D.; Haftenberg, M.; Brettschneider, A.K.; Barbosa, C.L.; Krug, S.; Schienkiewitz, A. Associations between Physical Activity and Food Intake among Children and Adolescents: Results of KiGGS Wave 2. Nutrients 2019, 11, 1060. [Google Scholar] [CrossRef]
- Kwan, M.; Bobko, S.; Faulkner, G.; Donnelly, P.; Cairney, J. Sport participation and alcohol and illicit drug use in adolescents and young adults: A systematic review of longitudinal studies. Addict. Behav. 2014, 39, 497–506. [Google Scholar] [CrossRef]
- Bauer, K.W.; Nelson, M.C.; Boutelle, K.N.; Neumark-Sztainer, D. Parental influences on adolescents’ physical activity and sedentary behavior: Longitudinal findings from Project EAT-II. Int. J. Behav. Nutr. Phys. Act. 2008, 5, 12. [Google Scholar] [CrossRef]
- Rovio, S.P.; Yang, X.; Kankaanpää, A.; Aalto, V.; Hirvensalo, M.; Telama, R.; Pahkala, K.; Hutri-Kähönen, N.; Viikari, J.S.A.; Raitakari, O.T.; et al. Longitudinal physical activity trajectories from childhood to adulthood and their determinants: The Young Finns Study. Scand. J. Med. Sci. Sports 2018, 28, 1073–1083. [Google Scholar] [CrossRef]
- Molina-Garcia, J.; Castillo, I.; Pablos, C. Determinants of leisure-time physical activity and future intention to practice in Spanish college students. Span. J. Psychol. 2009, 12, 128–137. [Google Scholar] [CrossRef]
- Martín-Matillas, M.; Ortega, F.B.; Ruiz, J.R.; Martínez-Gómez, D.; Vicente-Rodríguez, G.; Marcos, A.; Béghin, L.; Kafatos, A.; González-Gross, M.; Zaccaria, M.; et al. Active relatives and health-related physical fitness in European adolescents: The HELENA Study. J. Sports Sci. 2012, 30, 1329–1335. [Google Scholar] [CrossRef]




| Characteristics | N = 608 | Male n = 215 | Female n = 393 | |
|---|---|---|---|---|
| Age in Years | 21.0 (19.0–23.0) | 21.0 (19.0–23.0) | 21.0 (19.0–22.0) | |
| Gender | Male | 215 (35.4) | ---- | ---- |
| Female | 393 (64.6) | ---- | ---- | |
| Course Year | 1º | 154 (25.3) | 62 (28.8) | 92 (23.4) |
| 2º | 118 (19.4) | 25 (11.6) | 93 (23.7) | |
| 3º | 144 (23.7) | 56 (26.0) | 88 (22.4) | |
| 4º | 107 (17.6) | 35 (16.3) | 72 (18.3) | |
| 5º | 62 (10.2) | 29 (13.5) | 33 (8.4) | |
| Master | 23 (3.8) | 8 (3.7) | 15 (3.8) | |
| Physical Activity (PA) | Yes | 423 (69.6) | 159 (74.0) | 264 (67.2) |
| Week | 390 (92.2) | 150 (94.3) | 240 (90.9) | |
| Weekend | 33 (7.8) | 9 (5.7) | 24 (9.1) | |
| No | 185 (30.4) | 56 (26.0) | 129 (32.8) | |
| Minutes/session | Between 10–30 | 140 (33.2) | 26 (12.1) | 114 (29.0) |
| Between 30–60 | 125 (29.6) | 40 (18.6) | 85 (21.6) | |
| More than 60 | 157 (37.2) | 93 (43.3) | 64 (16.3) |
| Motive | Sex | Male (n = 159) | Female (n = 264) | χ2 p |
|---|---|---|---|---|
| Fun | Yes | 154 | 236 | 7.681 0.006 |
| No | 5 | 28 | ||
| To meet friends | Yes | 144 | 204 | 12.022 0.001 |
| No | 15 | 60 | ||
| To maintain fitness | Yes | 156 | 251 | ---- |
| No | 3 | 13 | ||
| Enjoyment | Yes | 153 | 235 | 6.799 0.009 |
| No | 6 | 29 | ||
| To disconnect | Yes | 136 | 231 | ---- |
| No | 23 | 33 | ||
| Health * | Yes | 152 | 251 | ---- |
| No | 7 | 12 | ||
| I like to compete | Yes | 129 | 103 | 71.078 <0.001 |
| No | 30 | 161 | ||
| Personal satisfaction | Yes | 153 | 241 | ---- |
| No | 6 | 23 | ||
| Competence | Yes | 128 | 179 | 8.042 0.005 |
| No | 31 | 85 |
| Motive | Not a Reason | Little Importance | Moderate Importance | Quite Important | Very Important |
|---|---|---|---|---|---|
| Fun | 33 (7.8) | 40 (9.5) | 95 (22.5) | 121 (28.6) | 134 (31.7) |
| To meet Friends | 75 (17.7) | 92 (21.7) | 92 (21.7) | 102 (24.1) | 62 (14.7) |
| To maintain fitness | 16 (3.8) | 10 (2.4) | 41 (9.7) | 137 (32.4) | 219 (51.8) |
| Enjoyment | 35 (8.3) | 56 (13.2) | 85 (20.1) | 135 (31.9) | 112 (26.5) |
| To disconnect | 56 (13.2) | 52 (12.3) | 93 (22.0) | 136 (32.2) | 86 (20.3) |
| Health | 20 (4.7) | 15 (3.5) | 66 (15.6) | 140 (33.1) | 182 (43.0) |
| I like to compete | 191 (45.2) | 94 (22.2) | 60 (14.2) | 41 (9.7) | 37 (8.7) |
| Personal satisfaction | 29 (6.9) | 22 (5.2) | 90 (21.3) | 154 (36.4) | 128 (30.3) |
| Competence | 116 (27.4) | 107 (25.3) | 101 (23.9) | 67 (15.8) | 32 (7.6) |
| Sedentary Behaviour | Hours per Day | Mann-Whitney U Test | |||
|---|---|---|---|---|---|
| Study | Mon–Fri | Male | 2 (1–4) | 0.003 | |
| Female | 3 (2–4) | ||||
| Weekend | Male | 2 (1–4) | 0.001 | ||
| Female | 3 (1–5) | ||||
| Mon–Sun | Male | 2.29 (1.29–3.57) | 0.001 | ||
| Female | 2.71 (1.71–4.14) | ||||
| Television | Mon–Fri | Male | 1 (0–2) | 0.040 | |
| Female | 1 (0–2) | ||||
| Weekend | Male | 2 (1–3) | ---- | ||
| Female | 2 (1–3) | ||||
| Mon–Sun | Male | 1 (0.5–2) | ---- | ||
| Female | 1.29 (0.64–2) | ||||
| Computer/Video games | Mon–Fri | Male | 2 (1–4) | <0.001 | |
| Female | 2 (1–3) | ||||
| Weekend | Male | 2.25 (1–4) | <0.001 | ||
| Female | 2 (1–3) | ||||
| Mon–Sun | Male | 2.29 (1.29–3.79) | <0.001 | ||
| Female | 1.71 (1–2.7) | ||||
| Screen time * | Mon–Fri | Male | 3 (2–5) | 0.027 | |
| Female | 3 (2–4) | ||||
| Weekend | Male | 4 (3–6) | 0.003 | ||
| Female | 4 (2–6) | ||||
| Mon–Sun | Male | 3.46 (2.16–5) | 0.043 | ||
| Female | 3.14 (2.11–4.54) | ||||
© 2020 by the authors. Licensee MDPI, Basel, Switzerland. This article is an open access article distributed under the terms and conditions of the Creative Commons Attribution (CC BY) license (http://creativecommons.org/licenses/by/4.0/).
Share and Cite
Carballo-Fazanes, A.; Rico-Díaz, J.; Barcala-Furelos, R.; Rey, E.; Rodríguez-Fernández, J.E.; Varela-Casal, C.; Abelairas-Gómez, C. Physical Activity Habits and Determinants, Sedentary Behaviour and Lifestyle in University Students. Int. J. Environ. Res. Public Health 2020, 17, 3272. https://doi.org/10.3390/ijerph17093272
Carballo-Fazanes A, Rico-Díaz J, Barcala-Furelos R, Rey E, Rodríguez-Fernández JE, Varela-Casal C, Abelairas-Gómez C. Physical Activity Habits and Determinants, Sedentary Behaviour and Lifestyle in University Students. International Journal of Environmental Research and Public Health. 2020; 17(9):3272. https://doi.org/10.3390/ijerph17093272
Chicago/Turabian StyleCarballo-Fazanes, Aida, Javier Rico-Díaz, Roberto Barcala-Furelos, Ezequiel Rey, José E. Rodríguez-Fernández, Cristina Varela-Casal, and Cristian Abelairas-Gómez. 2020. "Physical Activity Habits and Determinants, Sedentary Behaviour and Lifestyle in University Students" International Journal of Environmental Research and Public Health 17, no. 9: 3272. https://doi.org/10.3390/ijerph17093272
APA StyleCarballo-Fazanes, A., Rico-Díaz, J., Barcala-Furelos, R., Rey, E., Rodríguez-Fernández, J. E., Varela-Casal, C., & Abelairas-Gómez, C. (2020). Physical Activity Habits and Determinants, Sedentary Behaviour and Lifestyle in University Students. International Journal of Environmental Research and Public Health, 17(9), 3272. https://doi.org/10.3390/ijerph17093272

