Workplace Aggression and Burnout in Nursing—The Moderating Role of Follow-Up Counseling
Abstract
1. Introduction
1.1. Experiences of Workplace Aggression and Nurses’ Mental Health
1.2. Management of Workplace Aggression and Violence in Nursing
2. Materials and Methods
2.1. Sample and Procedure
2.2. Measures
2.3. Statistical Analyses
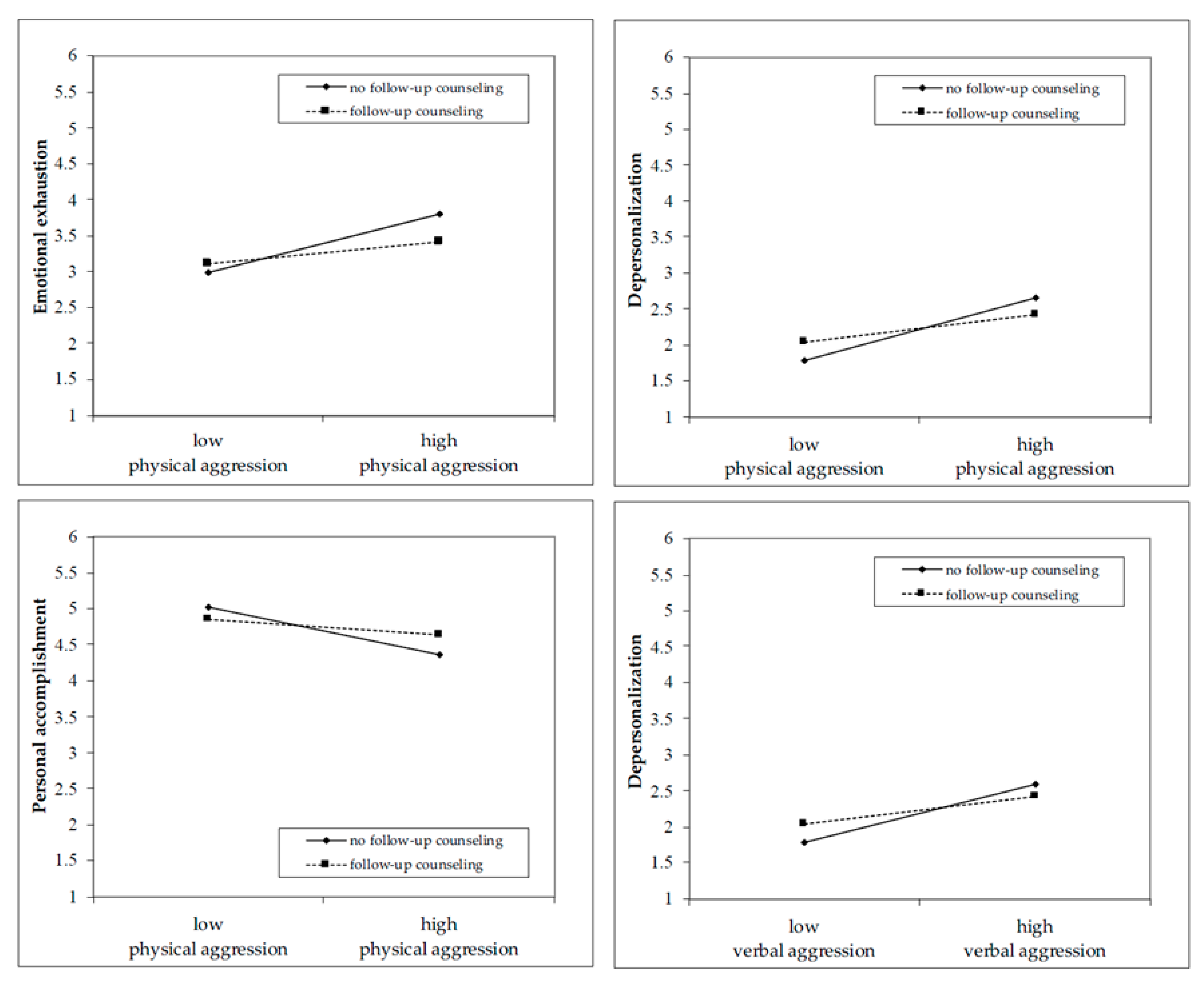
3. Results
3.1. Descriptive Statistics
3.2. Regression Analyses
4. Discussion
4.1. Implications
4.2. Limitations and Future Directions
5. Conclusions
Author Contributions
Funding
Conflicts of Interest
References
- Schat, A.C.; Kelloway, E.K. Workplace aggression. In Handbook of Work Stress; Barling, J., Kelloway, E.K., Frone, M.R., Eds.; Sage: Thousand Oaks, CA, USA, 2005; pp. 189–218. [Google Scholar]
 - Rippon, T.J. Aggression and violence in health care professions. J. Adv. Nurs. 2000, 31, 452–460. [Google Scholar] [CrossRef] [PubMed]
 - Nelson, R. Tackling violence against health-care workers. Lancet 2014, 383, 1373–1374. [Google Scholar] [CrossRef]
 - Liu, W.; Zhao, S.; Shi, L.; Zhang, Z.; Liu, X.; Li, L.; Duan, X.; Li, G.; Lou, F.; Jia, X.; et al. Workplace violence, job satisfaction, burnout, perceived organisational support and their effects on turnover intention among Chinese nurses in tertiary hospitals: A cross-sectional study. BMJ Open 2018, 8, e019525. [Google Scholar] [CrossRef] [PubMed]
 - Schablon, A.; Wendeler, D.; Kozak, A.; Nienhaus, A.; Steinke, S. Prevalence and consequences of aggression and violence towards nursing and care staff in Germany—A survey. Int. J. Environ. Res. Public Health 2018, 15, 1274. [Google Scholar] [CrossRef]
 - Phillips, J.P. Workplace violence against health care workers in the United States. New Engl. J. Med. 2016, 374, 1661–1669. [Google Scholar] [CrossRef]
 - Lanctôt, N.; Guay, S. The aftermath of workplace violence among healthcare workers: A systematic literature review of the consequences. Aggress. Violent Behav. 2014, 19, 492–501. [Google Scholar] [CrossRef]
 - Spector, P.E.; Zhou, Z.E.; Che, X.X. Nurse exposure to physical and nonphysical violence, bullying, and sexual harassment: A quantitative review. Int. J. Nurs. Stud. 2014, 51, 72–84. [Google Scholar] [CrossRef]
 - Liu, J.; Zheng, J.; Liu, K.; Liu, X.; Wu, Y.; Wang, J.; You, L. Workplace violence against nurses, job satisfaction, burnout, and patient safety in Chinese hospitals. Nurs. Outlook 2019, 67, 558–566. [Google Scholar] [CrossRef]
 - de Looff, P.; Nijman, H.; Didden, R.; Embregts, P. Burnout symptoms in forensic psychiatric nurses and their associations with personality, emotional intelligence and client aggression: A cross-sectional study. J. Psychiatr. Ment. Health Nurs. 2018, 25, 506–516. [Google Scholar] [CrossRef]
 - Kind, N.; Eckert, A.; Steinlin, C.; Fegert, J.M.; Schmid, M. Verbal and physical client aggression—A longitudinal analysis of professional caregivers’ psychophysiological stress response and burnout. Psychoneuroendocrinology 2018, 94, 11–16. [Google Scholar] [CrossRef]
 - Yoon, H.S.; Sok, S.R. Experiences of violence, burnout and job satisfaction in Korean nurses in the emergency medical centre setting: Experiences of violence in ER. Int. J. Nurs. Pract. 2016, 22, 596–604. [Google Scholar] [CrossRef] [PubMed]
 - Estryn-Behar, M.; van der Heijden, B.; Camerino, D.; Fry, C.; Le Nezet, O.; Conway, P.M.; Hasselhorn, H.-M. Violence risks in nursing—Results from the European ‘NEXT’ Study. Occup. Med. 2008, 58, 107–114. [Google Scholar] [CrossRef] [PubMed]
 - Merecz, D.; Rymaszewska, J.; Mościcka, A.; Kiejna, A.; Jarosz-Nowak, J. Violence at the workplace—A questionnaire survey of nurses. Eur. Psychiatry 2006, 21, 442–450. [Google Scholar] [CrossRef]
 - Merecz, D.; Drabek, M.; Mościcka, A. Aggression at the workplace—Psychological consequences of abusive encounter with coworkers and clients. Int. J. Occup. Med. Environ. Health 2009, 22. [Google Scholar] [CrossRef] [PubMed]
 - Needham, I.; Abderhalden, C.; Halfens, R.J.G.; Fischer, J.E.; Dassen, T. Non-somatic effects of patient aggression on nurses: A systematic review. J. Adv. Nurs. 2005, 49, 283–296. [Google Scholar] [CrossRef] [PubMed]
 - De la Fuente-Solana, E.I.; Suleiman-Martos, N.; Pradas-Hernández, L.; Gomez-Urquiza, J.L.; Cañadas-De la Fuente, G.A.; Albendín-García, L. Prevalence, related factors, and levels of burnout syndrome among nurses working in gynecology and obstetrics services: A systematic review and meta-analysis. IJERPH 2019, 16, 2585. [Google Scholar] [CrossRef] [PubMed]
 - Rogers, K.-A.; Kelloway, E.K. Violence at work: Personal and organizational outcomes. J. Occup. Health Psychol. 1997, 2, 63–71. [Google Scholar] [CrossRef]
 - Maslach, C.; Schaufeli, W.B.; Leiter, M.P. Job burnout. Annu. Rev. Psychol. 2001, 52, 397–422. [Google Scholar] [CrossRef]
 - Maslach, C.; Jackson, S.E. The measurement of experienced burnout. J. Organiz. Behav. 1981, 2, 99–113. [Google Scholar] [CrossRef]
 - Richardson, S.K.; Ardagh, M.W.; Morrison, R.; Grainger, P.C. Management of the aggressive emergency department patient: Non-pharmacological perspectives and evidence base. Open Access Emerg. Med 2019, 11, 271–290. [Google Scholar] [CrossRef]
 - Runyan, C.W.; Zakocs, R.C.; Zwerling, C. Administrative and behavioral interventions for workplace violence prevention. Am. J. Prev. Med. 2000, 18, 116–127. [Google Scholar] [CrossRef]
 - Beale, D.; Leather, P.; Cox, T.; Fletcher, B. Managing violence and aggression towards NHS staff working in the community. J. Res. Nurs. 1999, 4, 87–100. [Google Scholar] [CrossRef]
 - Schat, A.C.H.; Kelloway, E.K. Reducing the adverse consequences of workplace aggression and violence: The buffering effects of organizational support. J. Occup. Health Psychol. 2003, 8, 110–122. [Google Scholar] [CrossRef] [PubMed]
 - Arnetz, J.E.; Arnetz, B.B. Implementation and evaluation of a practical intervention programme for dealing with violence towards health care workers. J. Adv. Nurs. 2000, 31, 668–680. [Google Scholar] [CrossRef] [PubMed]
 - Dawson, J.F. Moderation in management research: What, why, when, and how. J. Bus. Psychol. 2014, 29, 1–19. [Google Scholar] [CrossRef]
 - Becker, T.E.; Atinc, G.; Breaugh, J.A.; Carlson, K.D.; Edwards, J.R.; Spector, P.E. Statistical control in correlational studies: 10 essential recommendations for organizational researchers. J. Organ. Behav. 2016, 37, 157–167. [Google Scholar] [CrossRef]
 - Geoffrion, S.; Lanctôt, N.; Marchand, A.; Boyer, R.; Guay, S. Predictors of trivialization of workplace violence among healthcare workers and law enforcers. J. Threat Assess. Manag. 2015, 2, 195–213. [Google Scholar] [CrossRef]
 - Beech, B.; Leather, P. Workplace violence in the health care sector: A review of staff training and integration of training evaluation models. Aggress. Violent Behav. 2006, 11, 27–43. [Google Scholar] [CrossRef]
 - McPhaul, K.M.; London, M.; Murrett, K.; Flannery, K.; Rosen, J.; Lipscomb, J. Environmental evaluation for workplace violence in healthcare and social services. J. Saf. Res. 2008, 39, 237–250. [Google Scholar] [CrossRef]
 - Podsakoff, P.M.; MacKenzie, S.B.; Podsakoff, N.P. Sources of method bias in social science research and recommendations on how to control it. Annu. Rev. Psychol. 2012, 63, 539–569. [Google Scholar] [CrossRef]
 - Siemsen, E.; Roth, A.; Oliveira, P. Common method bias in regression models with linear, quadratic, and interaction effects. Organ. Res. Methods 2010, 13, 456–476. [Google Scholar] [CrossRef]
 - Nixon, A.E.; Spector, P.E. Seeking clarity in a linguistic fog: Moderators of the workplace aggression-strain relationship. Hum. Perform. 2015, 28, 137–164. [Google Scholar] [CrossRef]
 - Arnetz, J.E.; Arnetz, B.B. Violence towards health care staff and possible effects on the quality of patient care. Soc. Sci. Med. 2001, 52, 417–427. [Google Scholar] [CrossRef]
 


| M | SD | 1 | 2 | 3 | 4 | 5 | |
|---|---|---|---|---|---|---|---|
| 1. Physical aggression | 2.53 | 1.51 | |||||
| 2. Verbal aggression | 3.51 | 1.67 | 0.69 *** | ||||
| 3. Follow-up counseling 1 | 0.28 | 0.45 | 0.20 *** | 0.18 *** | |||
| 4. Emotional exhaustion | 3.26 | 0.99 | 0.18 *** | 0.21 *** | −0.05 | ||
| 5. Depersonalization | 2.21 | 0.82 | 0.24 *** | 0.24 *** | 0.05 | 0.50 *** | |
| 6. Personal accomplishment | 4.74 | 0.60 | −0.14 ** | −0.17 *** | 0.00 | −0.33 *** | −0.43 *** | 
| Emotional Exhaustion | Depersonalization | Personal Accomplishment | ||||||||||||||||
|---|---|---|---|---|---|---|---|---|---|---|---|---|---|---|---|---|---|---|
| Model 1a | Model 2a | Model 3a | Model 1b | Model 2b | Model 3b | Model 1c | Model 2c | Model 3c | ||||||||||
| β | SE | β | SE | β | SE | β | SE | β | SE | β | SE | β | SE | β | SE | β | SE | |
| Physical aggression | ||||||||||||||||||
| Intercept | 3.26 | 0.04 | 3.32 | 0.05 | 3.33 | 0.05 | 2.21 | 0.03 | 2.21 | 0.04 | 2.22 | 0.04 | 4.74 | 0.02 | 4.73 | 0.03 | 4.72 | 0.03 | 
| PA | 0.18 *** | 0.03 | 0.20 *** | 0.03 | 0.28 *** | 0.03 | 0.24 *** | 0.02 | 0.25 *** | 0.02 | 0.32 *** | 0.03 | −0.14 ** | 0.02 | −0.15 ** | 0.02 | −0.22 *** | 0.02 | 
| FC 1 | −0.09* | 0.09 | −0.07 | 0.09 | −0.01 | 0.08 | 0.01 | 0.03 | 0.03 | 0.06 | 0.02 | 0.06 | ||||||
| PA × FC | −0.13 * | 0.06 | −0.12 * | 0.03 | 0.11 * | 0.03 | ||||||||||||
| R2 | 0.03 | 0.036 | 0.044 | 0.058 | 0.057 | 0.063 | 0.018 | 0.017 | 0.023 | |||||||||
| ∆R2 | 0.006 | 0.008 | −0.001 | 0.006 | −0.001 | 0.006 | ||||||||||||
| Verbal aggression | ||||||||||||||||||
| Intercept | 3.26 | 0.04 | 3.31 | 0.05 | 3.32 | 0.05 | 2.21 | 0.03 | 2.21 | 0.04 | 2.21 | 0.04 | 4.73 | 0.02 | 4.82 | 0.03 | 4.81 | 0.03 | 
| VA | 0.21 *** | 0.02 | 0.23 *** | 0.02 | 0.28 *** | 0.02 | 0.24 *** | 0.02 | 0.24 *** | 0.02 | 0.30 *** | 0.02 | −0.17 ** | 0.02 | −0.17 *** | 0.02 | −0.22 *** | 0.02 | 
| FC 1 | −0.09* | 0.09 | −0.08 * | 0.09 | 0.00 | 0.08 | 0.02 | 0.08 | 0.03 | 0.06 | 0.02 | 0.06 | ||||||
| VA × FC | −0.10 | 0.05 | −0.10 * | 0.04 | 0.09 | 0.03 | ||||||||||||
| R2 | 0.044 | 0.050 | 0.054 | 0.057 | 0.056 | 0.061 | 0.026 | 0.026 | 0.030 | |||||||||
| ∆R2 | 0.006 | 0.004 | −0.001 | 0.005 | 0.000 | 0.004 | ||||||||||||
© 2020 by the authors. Licensee MDPI, Basel, Switzerland. This article is an open access article distributed under the terms and conditions of the Creative Commons Attribution (CC BY) license (http://creativecommons.org/licenses/by/4.0/).
Share and Cite
Vincent-Höper, S.; Stein, M.; Nienhaus, A.; Schablon, A. Workplace Aggression and Burnout in Nursing—The Moderating Role of Follow-Up Counseling. Int. J. Environ. Res. Public Health 2020, 17, 3152. https://doi.org/10.3390/ijerph17093152
Vincent-Höper S, Stein M, Nienhaus A, Schablon A. Workplace Aggression and Burnout in Nursing—The Moderating Role of Follow-Up Counseling. International Journal of Environmental Research and Public Health. 2020; 17(9):3152. https://doi.org/10.3390/ijerph17093152
Chicago/Turabian StyleVincent-Höper, Sylvie, Maie Stein, Albert Nienhaus, and Anja Schablon. 2020. "Workplace Aggression and Burnout in Nursing—The Moderating Role of Follow-Up Counseling" International Journal of Environmental Research and Public Health 17, no. 9: 3152. https://doi.org/10.3390/ijerph17093152
APA StyleVincent-Höper, S., Stein, M., Nienhaus, A., & Schablon, A. (2020). Workplace Aggression and Burnout in Nursing—The Moderating Role of Follow-Up Counseling. International Journal of Environmental Research and Public Health, 17(9), 3152. https://doi.org/10.3390/ijerph17093152
        
