Risk Attitude, Contract Arrangements and Enforcement in Food Safety Governance: A China’s Agri-Food Supply Chain Scenario
Abstract
1. Introduction
2. Conceptual Framework
3. Materials and Methods
3.1. Data Collection
3.2. Experimental Measure of Risk Attitude
3.3. Empirical Methods
4. Results and Discussion
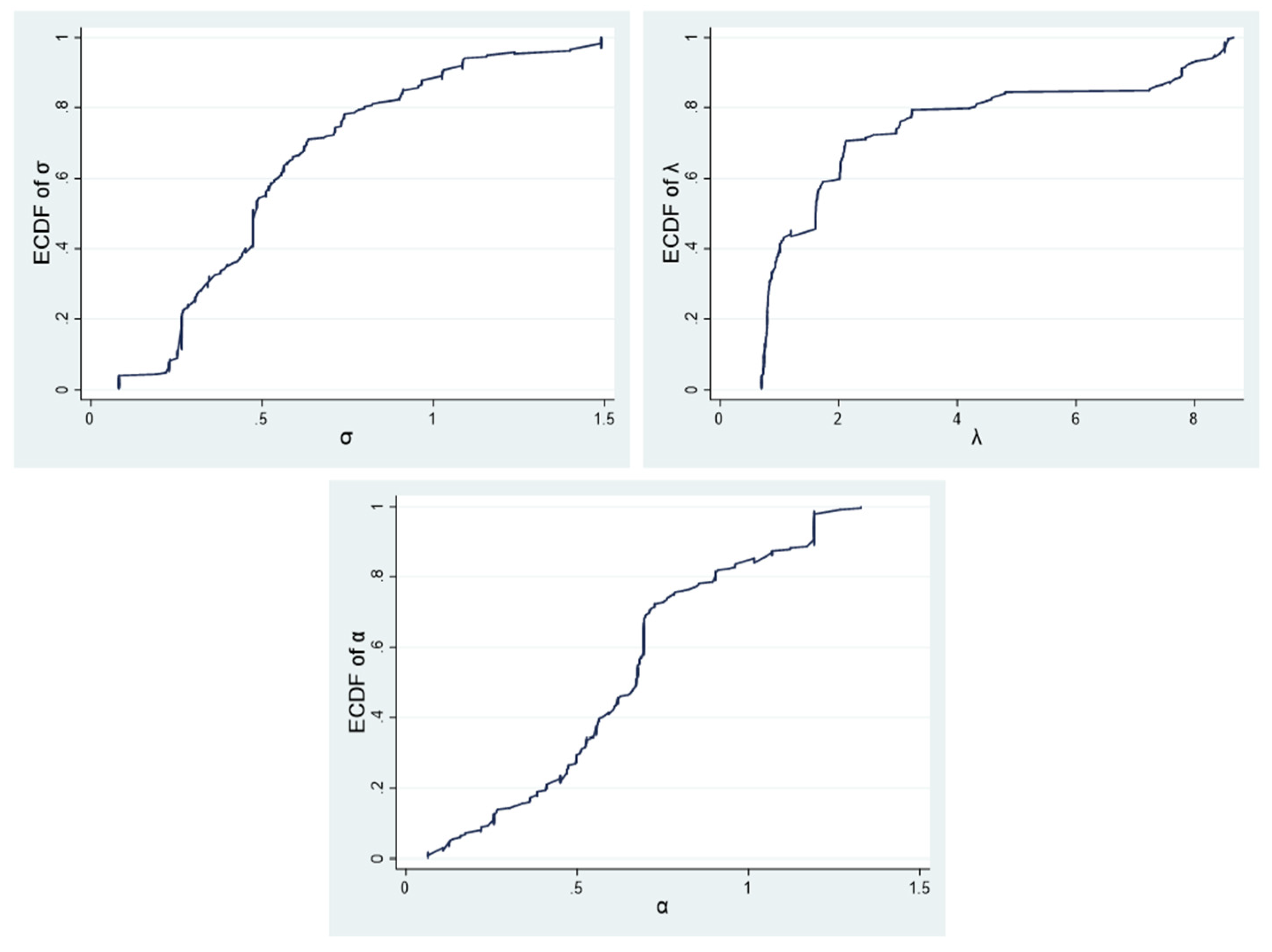
4.1. Data Analysis
4.2. Regression Results
4.3. Further Discussion
4.4. Robustness Checks
4.4.1. Robustness Check by Excluding the Outlier of Preferences
4.4.2. Robustness Check by Using the Survey Questions of Preferences
5. Conclusions
Author Contributions
Funding
Conflicts of Interest
References
- Britwum, K.; Yiannaka, A. Consumer willingness to pay for food safety interventions: The role of message framing and issue involvement. Food Policy 2019, 86, 101726. [Google Scholar] [CrossRef]
- Kong, D.; Shi, L.; Yang, Z. Product recalls, corporate social responsibility, and firm value: Evidence from the Chinese food industry. Food Policy 2019, 83, 60–69. [Google Scholar] [CrossRef]
- Wang, J.H.; Diao, H.Y.; Tou, L.L. Research on the influence mechanism of rational consumers’ food Safety supervision satisfaction. J. Environ. Res. Public Health 2019, 16, 739. [Google Scholar] [CrossRef]
- Hou, B.; Hou, J.; Wu, L. Consumer preferences for traceable food with different functions of safety information attributes: Evidence from a menu-based choice experiment in China. J. Environ. Res. Public Health 2020, 17, 146. [Google Scholar] [CrossRef]
- Zhong, Y.; Huang, Z.; Wu, L. Identifying critical factors influencing the safety and quality related behaviors of pig farmers in China. Food Control 2017, 73, 1532–1540. [Google Scholar] [CrossRef]
- Vukina, T.; Leegomonchai, P. Oligopsony power, asset specificity, and hold-up: Evidence from the broiler industry. Am. J. Agric. Econ. 2006, 88, 589–605. [Google Scholar] [CrossRef]
- Wang, H.H.; Zhang, Y.; Wu, L. Is contract farming a risk management instrument for Chinese farmers? China Agric. Econ. Rev. 2011, 3, 489–504. [Google Scholar] [CrossRef]
- Wang, H.H.; Wang, Y.; Delgado, M. The transition to modern agriculture: Contract farming in developing economies. Am. J. Agric. Econ. 2014, 96, 1257–1271. [Google Scholar] [CrossRef]
- Hu, D.; Chen, Z.; Shun, Q.; Duo, T. Impacts of contract farming on farmers’ household income and food safety: Taking apple industry in Shandong province as an example. Chin. Rural Econ. 2006, 11, 17–24. [Google Scholar]
- Ji, C.; Jin, S.; Wang, H.; Ye, C. Estimating effects of cooperative membership on farmers’ safe production behaviors: Evidence from pig sector in China. Food Policy 2019, 83, 231–245. [Google Scholar] [CrossRef]
- Hou, J.; Hou, B. Farmers’ adoption of low-carbon agriculture in China: An extended theory of the planned behavior model. Sustainability 2019, 11, 1399. [Google Scholar] [CrossRef]
- Liu, F.Q. Incomplete contracts and obstacles to implementation: Taking contract farming as an example. Econ. Res. J. 2003, 4, 22–30. [Google Scholar]
- Guo, J.Y. An Empirical Study of Farmers’ Cooperative Behavior in Agricultural Marketing: Based on Farmers in Jiangxi Province. Ph.D. Thesis, Huazhong Agricultural University, Wuhan, China, 2008. [Google Scholar]
- Guo, H.; Jolly, R.W. Contractual arrangements and enforcements in transition agriculture: Theory and evidence from China. Food Policy 2008, 33, 570–575. [Google Scholar] [CrossRef]
- Anh, N.H.; Bokelmann, W.; Thuan, N.T.; Nga, D.T.; Minh, N.V. Smallholders’ preferences for different contract farming models: Empirical evidence from sustainable certified coffee production in Vietnam. Sustainability 2019, 11, 3799. [Google Scholar]
- Kreps, D.; Wilson, R. Reputation and imperfect information. J. Econ. Theory 1982, 27, 253–279. [Google Scholar] [CrossRef]
- Williams, S.; Karen, R. Agribusiness and the Small-Scale Farmer: A Dynamic Partnership for Development; Westview Press: Boulder, CO, USA, 1985. [Google Scholar]
- Kumar, S.; Chandra, S.; Singh, D.R.; Chaudhary, K.R. Contractual arrangements and enforcement in India: The case of organic basmati paddy farming. Indian J. Agric. Econ. 2013, 68, 449–456. [Google Scholar]
- Guo, H.; Jolly, R.W.; Zhu, J. Contract farming in China: Perspectives of farm households and agribusiness firms. Comp. Econ. Stud. 2007, 49, 285–312. [Google Scholar] [CrossRef]
- Haji, J. The enforcement of traditional vegetable marketing contracts in the eastern and central parts of Ethiopia. J. Afr. Econ. 2010, 19, 768–792. [Google Scholar] [CrossRef]
- Zylbersztajn, D.; Nadalini, L.B. Tomatoes and courts: Agro-industrial strategy in the face of weak property rights. In Proceedings of the 6th International Conference on Chain and Network Management in Agribusiness and the Food Industry, Ede, The Netherlands, 27–28 May 2004. [Google Scholar]
- Petrolia, D.R. Risk preferences, risk perceptions, and risky food. Food Policy 2016, 64, 37–48. [Google Scholar] [CrossRef]
- Jin, J.; He, R.; Gong, H.; Xu, X.; He, C. Farmers’ risk preferences in rural China: Measurements and determinants. J. Environ. Res. Public Health 2017, 14, 713. [Google Scholar] [CrossRef]
- Drichoutis, A.C.; Nayga, R.M. Do risk and time preferences have biological roots? South. Econ. J. 2015, 82, 235–256. [Google Scholar] [CrossRef][Green Version]
- Liu, E.M. Time to change what to sow: Risk preference and technology adoption decisions of cotton farmers in China. Rev. Econ. Stat. 2013, 95, 1386–1403. [Google Scholar] [CrossRef]
- Brick, K.; Visser, M. Risk preferences, technology adoption and insurance uptake: A framed experiment. J. Econ. Behav. Organ. 2015, 118, 383–396. [Google Scholar] [CrossRef]
- Yazd, S.D.; Wheeler, S.A.; Zuo, A. Key risk factors affecting farmers’ mental health: A systematic review. J. Environ. Res. Public Health 2019, 16, 4849. [Google Scholar] [CrossRef]
- Cui, B.; Wang, F.; Wang, L.D.L.; Pan, C.; Ke, J.; Tian, Y. A comparative analysis of risk perception and coping behaviors among Chinese poultry farmers regarding human and poultry infection with avian influenza. J. Environ. Res. Public Health 2019, 16, 3832. [Google Scholar] [CrossRef]
- He, R.; Jin, J.; Kuang, F.; Zhang, C.; Guan, T. Farmers’ risk cognition, risk preferences and climate change adaptive behavior: A structural equation modeling approach. J. Environ. Res. Public Health 2020, 17, 85. [Google Scholar] [CrossRef]
- Liu, E.M.; Huang, J. Risk preferences and pesticide use by cotton farmers in China. J. Dev. Econ. 2013, 103, 202–215. [Google Scholar] [CrossRef]
- Gow, H.R.; Streeter, D.H.; Swinnen, J.F. How private contract enforcement mechanisms can succeed where public institutions fail: The case of Juhocukor a.s. Agric. Econ. 2000, 23, 253–265. [Google Scholar] [CrossRef]
- Tversky, A.; Kahneman, D. Advances in prospect theory: Cumulative representation of uncertainty. J. Risk Uncertain. 1992, 5, 297–323. [Google Scholar] [CrossRef]
- Prelec, D. The probability weighting function. Econometrica 1998, 66, 497–528. [Google Scholar] [CrossRef]
- Tanaka, T.; Camerer, C.F.; Nguyen, Q. Risk and time preferences: Linking experimental and household survey data from Vietnam. Am. Econ. Rev. 2010, 100, 557–571. [Google Scholar] [CrossRef]
- Andersen, S.; Harrison, G.W.; Lau, M.I.; Rutstrom, E.E. Elicitation using multiple price list formats. Exp. Econ. 2006, 9, 383–405. [Google Scholar] [CrossRef]
- Nguyen, Q. Does nurture matter: Theory and experimental investigation on the effect of working environment on risk and time preferences. J. Risk Uncertain. 2011, 43, 245–270. [Google Scholar] [CrossRef]
- Liebenehm, S.; Waibel, H. Simultaneous estimation of risk and time preferences among small-scale cattle farmers in West Africa. Am. J. Agric. Econ. 2014, 96, 1420–1438. [Google Scholar] [CrossRef]
- Hou, J.; Ying, R.; Hou, B. Factors Influencing the Stability of Contract Farming: An Empirical Study in China. Agric. Res. 2019, 8, 4039–4410. [Google Scholar] [CrossRef]
- Pennings, J.M.E.; Leuthold, R.M. The role of farmers’ behavioral attitudes and heterogeneity in futures contracts usage. Am. J. Agric. Econ. 2000, 82, 908–919. [Google Scholar] [CrossRef]
- Hinkle, D.E.; Wiersma, W.; Jurs, S.G. Applied Statistics for The Behavioral Sciences; Houghton Mifflin, Co.: Boston, MA, USA, 1998. [Google Scholar]



| Option A | Option B | ||||
|---|---|---|---|---|---|
| Series | Row | 30% Probability | 70% Probability | 10% Probability | 90% Probability |
| 1 | 1 | 20¥ | 5¥ | 34¥ | 2.5¥ |
| 2 | 20¥ | 5¥ | 37.5¥ | 2.5¥ | |
| 3 | 20¥ | 5¥ | 41.5¥ | 2.5¥ | |
| 4 | 20¥ | 5¥ | 46.5¥ | 2.5¥ | |
| 5 | 20¥ | 5¥ | 53¥ | 2.5¥ | |
| 6 | 20¥ | 5¥ | 62.5¥ | 2.5¥ | |
| 7 | 20¥ | 5¥ | 75¥ | 2.5¥ | |
| 8 | 20¥ | 5¥ | 92.5¥ | 2.5¥ | |
| 9 | 20¥ | 5¥ | 110¥ | 2.5¥ | |
| 10 | 20¥ | 5¥ | 150¥ | 2.5¥ | |
| 11 | 20¥ | 5¥ | 200¥ | 2.5¥ | |
| 12 | 20¥ | 5¥ | 300¥ | 2.5¥ | |
| 13 | 20¥ | 5¥ | 500¥ | 2.5¥ | |
| 14 | 20¥ | 5¥ | 850¥ | 2.5¥ | |
| Series | Row | 90% probability | 10% probability | 70% probability | 30% probability |
| 2 | 1 | 20¥ | 15¥ | 27¥ | 2.5¥ |
| 2 | 20¥ | 15¥ | 28¥ | 2.5¥ | |
| 3 | 20¥ | 15¥ | 29¥ | 2.5¥ | |
| 4 | 20¥ | 15¥ | 30¥ | 2.5¥ | |
| 5 | 20¥ | 15¥ | 31¥ | 2.5¥ | |
| 6 | 20¥ | 15¥ | 32.5¥ | 2.5¥ | |
| 7 | 20¥ | 15¥ | 34¥ | 2.5¥ | |
| 8 | 20¥ | 15¥ | 36¥ | 2.5¥ | |
| 9 | 20¥ | 15¥ | 38.5¥ | 2.5¥ | |
| 10 | 20¥ | 15¥ | 41.5¥ | 2.5¥ | |
| 11 | 20¥ | 15¥ | 45¥ | 2.5¥ | |
| 12 | 20¥ | 15¥ | 50¥ | 2.5¥ | |
| 13 | 20¥ | 15¥ | 55¥ | 2.5¥ | |
| 14 | 20¥ | 15¥ | 65¥ | 2.5¥ | |
| Series | Row | 50% probability | 50% probability | 50% probability | 50% probability |
| 3 | 1 | 12.5¥ | −2¥ | 15¥ | −10¥ |
| 2 | 2¥ | −2¥ | 15¥ | −10¥ | |
| 3 | 0.5¥ | −2¥ | 15¥ | −10¥ | |
| 4 | 0.5¥ | −2¥ | 15¥ | −8¥ | |
| 5 | 0.5¥ | −4¥ | 15¥ | −8¥ | |
| 6 | 0.5¥ | −4¥ | 15¥ | −7¥ | |
| 7 | 0.5¥ | −4¥ | 15¥ | −5.5¥ | |
| Variable | Variable Definitions | Mean | SD |
|---|---|---|---|
| Contract enforcement | If farmers perform the contract =1, else = 0 | 0.636 | 0.482 |
| Risk aversion (σ) | The curvature of the value function | 0.564 | 0.326 |
| Loss aversion (λ) | The degree of loss aversion | 2.585 | 2.542 |
| Probability weighting (α) | The accuracy of assessing probability events | 0.655 | 0.303 |
| Form | If contract form is oral = 1, else = 0 | 0.102 | 0.303 |
| Pricing | If contract offers a floor price = 1, else = 0 | 0.689 | 0.464 |
| Duration | The length of contract between the contractor and farmers (years) | 2.332 | 1.173 |
| Bonus | If firm offers a bonus to farmers who complies with the contract = 1, else = 0 | 0.779 | 0.416 |
| Age | Age of household head in years | 49.098 | 9.279 |
| Education | Years of formal education of household head | 7.119 | 2.658 |
| Labor | Number of household labor force | 2.953 | 1.014 |
| Asset | Area of house or apartment (102 square meters) | 2.248 | 1.953 |
| Scale | Area of planting (mu) | 5.177 | 3.871 |
| Experience | Years of planting fruit | 14.598 | 8.841 |
| Fluctuation | The regional market prices variance over the past five years | 0.323 | 0.044 |
| Distance | Distance from farm to contractor (km) | 20.983 | 11.610 |
| Region | 1 denotes Jiangsu province, and 0 denotes Anhui province | 0.502 | 0.501 |
| Variable | Marginal Effect | (Std. Err.) |
|---|---|---|
| Risk aversion (σ) | −0.674 *** | (0.035) |
| Loss aversion (λ) | 0.058 *** | (0.012) |
| Probability weighting (α) | 0.333 *** | (0.053) |
| Form | 0.086 | (0.064) |
| Pricing | 0.105 ** | (0.045) |
| Duration | 0.029 ** | (0.015) |
| Bonus | 0.154 *** | (0.042) |
| Age | 0.006 ** | (0.002) |
| Education | 0.005 | (0.007) |
| Labor | −0.003 | (0.015) |
| Asset | 0.005 | (0.007) |
| Scale | −0.001 | (0.004) |
| Experience | −0.004 * | (0.002) |
| Fluctuation | 0.087 | (0.480) |
| Distance | −0.001 | (0.001) |
| Region | −0.089 ** | (0.037) |
| Observations | 235 | |
| Pseudo-Log likelihood | −49.376 |
| Variable | Farmers with High Degree of Risk Propensity | Farmers with Low Degree of Risk Propensity | ||
|---|---|---|---|---|
| Marginal Effect | (Std. Err.) | Marginal Effect | (Std. Err.) | |
| Form | 0.041 | (0.120) | 0.333 *** | (0.126) |
| Pricing | 0.180 * | (0.094) | 0.181 ** | (0.091) |
| Duration | 0.019 | (0.035) | 0.058 * | (0.032) |
| Bonus | 0.082 | (0.097) | 0.120 * | (0.072) |
| Age | 0.005 | (0.006) | −0.001 | (0.006) |
| Education | −0.012 | (0.014) | 0.005 | (0.017) |
| Labor | 0.025 | (0.040) | 0.003 | (0.049) |
| Asset | −0.025 | (0.026) | 0.002 | (0.018) |
| Scale | −0.001 | (0.012) | 0.006 | (0.008) |
| Experience | −0.009 * | (0.006) | −0.003 | (0.005) |
| Fluctuation | −0.490 | (1.006) | −0.562 | (1.129) |
| Distance | −0.006 | (0.004) | −0.009 *** | (0.003) |
| Region | −0.089 | (0.083) | 0.006 | (0.071) |
| Observations | 141 | 94 | ||
| Pseudo-Log likelihood | −87.357 | −37.659 | ||
| Variable | Marginal Effect | (Std. Err.) |
|---|---|---|
| Risk aversion (σ) | −0.709 *** | (0.042) |
| Loss aversion (λ) | 0.062 *** | (0.013) |
| Probability weighting (α) | 0.354 *** | (0.055) |
| Form | 0.096 | (0.069) |
| Pricing | 0.111 ** | (0.047) |
| Duration | 0.032 ** | (0.016) |
| Bonus | 0.166 *** | (0.046) |
| Age | 0.006 ** | (0.003) |
| Education | 0.005 | (0.007) |
| Labor | −0.003 | (0.016) |
| Asset | 0.004 | (0.008) |
| Scale | −0.001 | (0.005) |
| Experience | −0.004 * | (0.002) |
| Fluctuation | 0.097 | (0.509) |
| Distance | −0.001 | (0.001) |
| Region | −0.097 ** | (0.040) |
| Observations | 218 | |
| Pseudo-Log likelihood | −49.075 |
| Variable | Marginal Effect | (Std. Err.) |
|---|---|---|
| Risk attitude | −0.245 ** | (0.017) |
| Form | 0.130 | (0.080) |
| Pricing | 0.086 * | (0.049) |
| Duration | 0.030 * | (0.018) |
| Bonus | 0.179 *** | (0.046) |
| Age | 0.006 ** | (0.003) |
| Education | −0.0002 | (0.007) |
| Labor | −0.036 | (0.023) |
| Asset | 0.006 | (0.011) |
| Scale | 0.001 | (0.006) |
| Experience | −0.003 | (0.003) |
| Fluctuation | −0.262 | (0.608) |
| Distance | −0.004 ** | (0.002) |
| Region | 0.036 | (0.002) |
| Observations | 235 | |
| Pseudo-Log likelihood | −78.585 |
© 2020 by the authors. Licensee MDPI, Basel, Switzerland. This article is an open access article distributed under the terms and conditions of the Creative Commons Attribution (CC BY) license (http://creativecommons.org/licenses/by/4.0/).
Share and Cite
Hou, J.; Wu, L.; Hou, B. Risk Attitude, Contract Arrangements and Enforcement in Food Safety Governance: A China’s Agri-Food Supply Chain Scenario. Int. J. Environ. Res. Public Health 2020, 17, 2733. https://doi.org/10.3390/ijerph17082733
Hou J, Wu L, Hou B. Risk Attitude, Contract Arrangements and Enforcement in Food Safety Governance: A China’s Agri-Food Supply Chain Scenario. International Journal of Environmental Research and Public Health. 2020; 17(8):2733. https://doi.org/10.3390/ijerph17082733
Chicago/Turabian StyleHou, Jing, Linhai Wu, and Bo Hou. 2020. "Risk Attitude, Contract Arrangements and Enforcement in Food Safety Governance: A China’s Agri-Food Supply Chain Scenario" International Journal of Environmental Research and Public Health 17, no. 8: 2733. https://doi.org/10.3390/ijerph17082733
APA StyleHou, J., Wu, L., & Hou, B. (2020). Risk Attitude, Contract Arrangements and Enforcement in Food Safety Governance: A China’s Agri-Food Supply Chain Scenario. International Journal of Environmental Research and Public Health, 17(8), 2733. https://doi.org/10.3390/ijerph17082733
