Change in Soil Particle Size Distribution and Erodibility with Latitude and Vegetation Restoration Chronosequence on the Loess Plateau, China
Abstract
1. Introduction
2. Materials and Methods
2.1. Study Area
2.2. Experimental Design
2.3. Soil Sampling
2.4. Laboratory Analysis
2.5. Multifractal Analysis
2.6. Erodibility (K)
2.7. Percentage Contribution
2.8. Statistical Analysis
3. Results
3.1. Changes to the PSD of Soil and Soil Microaggregate Distribution in the Vegetation Zones after Cropland Abandonment
3.2. Changes to Multifractal Parameters and Erodibility Factors in the Vegetation Zones Across the Vegetation Restoration Chronosequence
3.3. Factors Influencing Soil Erodibility and Multifractal Dimensions
4. Discussion
4.1. Response of Soil Erodibility and Multifractal Dimensions to Restoration Age and Driving Factors
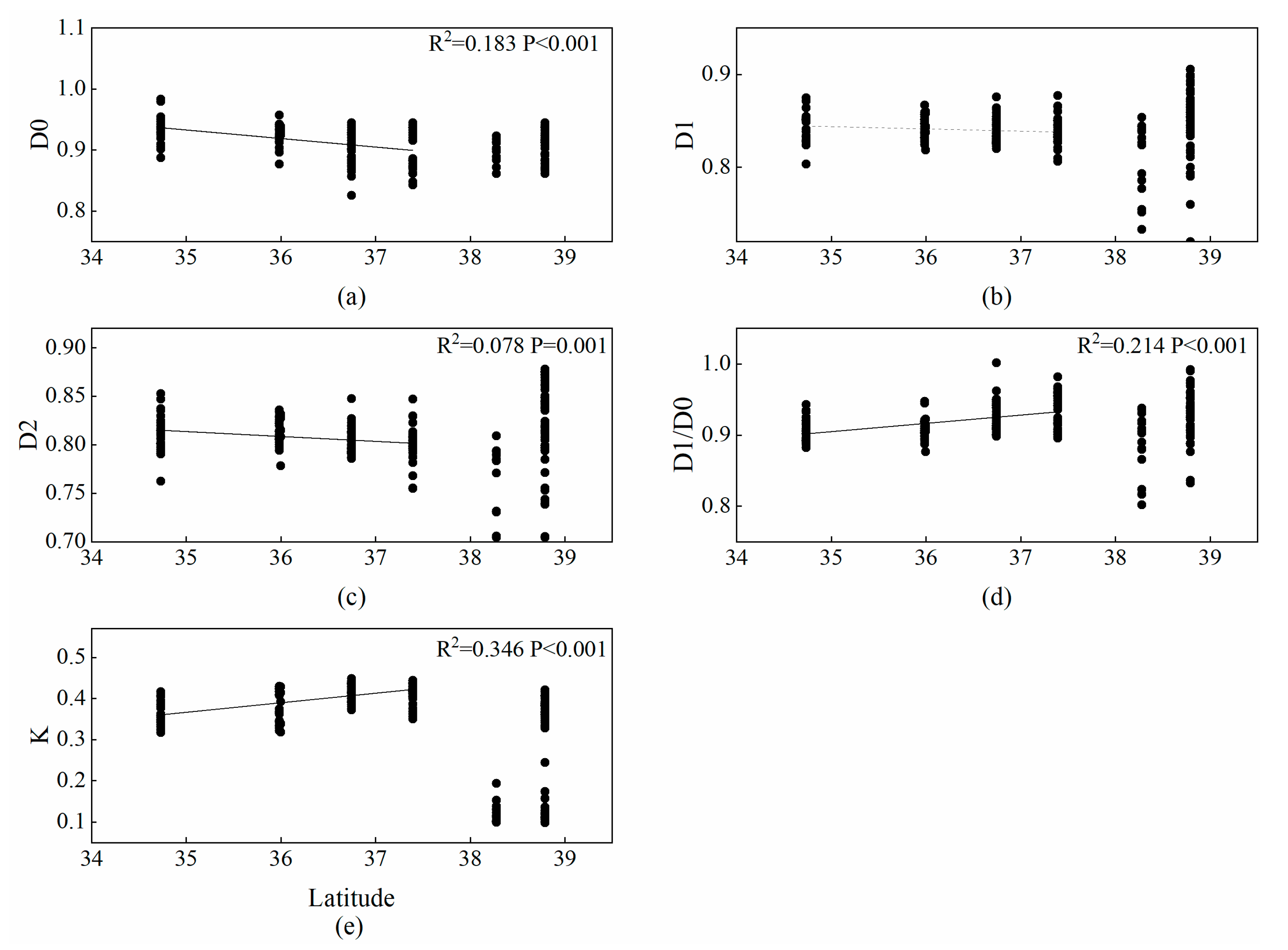
4.2. Response of Soil Erodibility and Multifractal Dimensions to Latitude and Driving Factors
5. Conclusions
Supplementary Materials
Author Contributions
Funding
Acknowledgments
Conflicts of Interest
References
- Zhou, Z.; Shangguan, Z.; Zhao, D. Modeling vegetation coverage and soil erosion in the Loess Plateau Area of China. Ecol. Model. 2006, 198, 263–268. [Google Scholar] [CrossRef]
- Zhang, C.; Xue, S.; Liu, G.; Song, Z. A comparison of soil qualities of different revegetation types in the Loess Plateau, China. Plant Soil 2011, 347, 163–178. [Google Scholar] [CrossRef]
- Xiao, L.; Xue, S.; Liu, G.; Zhang, C. Fractal features of soil profiles under different land use patterns on the Loess Plateau, China. J. Arid Land 2014, 6, 550–560. [Google Scholar] [CrossRef]
- Sun, C.; Liu, G.; Sha, X. Natural succession of grassland on the Loess Plateau of China affects multifractal characteristics of soil particle-size distribution and soil nutrients. Ecol. Res. 2016, 31, 1–12. [Google Scholar] [CrossRef]
- Lv, Y.; Guan, X.; Ruan, B.; Wang, Y. Multifractal Characteristics of Soil Particle Size Distribution under Sewage Irrigation in Different Irrigation Years. Appl. Mechan. Mater. 2014, 700, 205–210. [Google Scholar] [CrossRef]
- Yu, J.; Lv, X.; Bin, M.; Wu, H.; Du, S.; Zhou, M.; Yang, Y.; Han, G. Fractal features of soil particle size distribution in newly formed wetlands in the Yellow River Delta. Sci. Rep. 2015, 5. [Google Scholar] [CrossRef] [PubMed]
- Grout, H.; Tarquis, A.M.; Wiesner, M.R. Multifractal Analysis of Particle Size Distributions in Soil. Environ. Sci. Technol. 1998, 32, 1176–1182. [Google Scholar] [CrossRef]
- Posadas, A.N.D.; Giménez, D.; Bittelli, M.; Vaz, C.M.P.; Flury, M. Multifractal Characterization of Soil Particle-Size Distributions. Soil Sci. Soc. Am. J. 2001, 65, 1361–1367. [Google Scholar] [CrossRef]
- Montero, E. Renyi dimensions analysis of soil particle-size distributions. Ecol. Model. 2005, 182, 305–315. [Google Scholar] [CrossRef]
- Paz-Ferreiro, J.; Vázquez, E.V.; Miranda, J.G.V. Assessing soil particle-size distribution on experimental plots with similar texture under different management systems using multifractal parameters. Geoderma 2010, 160, 47–56. [Google Scholar] [CrossRef]
- Sun, C.; Liu, G.; Sha, X. Response of soil multifractal characteristics and erodibility to 15-year fertilization on cropland in the Loess Plateau, China. Arch. Agro. Soil Sci. 2016, 63, 956–968. [Google Scholar] [CrossRef]
- Wang, D.; Fu, B.; Zhao, W.; Hu, H.; Wang, Y. Multifractal characteristics of soil particle size distribution under different land-use types on the Loess Plateau, China. Catena 2008, 72, 29–36. [Google Scholar] [CrossRef]
- Sun, C.; Liu, G.; Xue, S. Land-Use Conversion Changes the Multifractal Features of Particle-Size Distribution on the Loess Plateau of China. Int. J. Environ. Res. Public Health 2016, 13, 785. [Google Scholar] [CrossRef] [PubMed]
- Sun, W.; Shao, Q.; Liu, J.; Zhai, J. Assessing the effects of land use and topography on soil erosion on the Loess Plateau in China. Catena 2014, 121, 151–163. [Google Scholar] [CrossRef]
- Yang, M. Study on Soil Erodibility in Arid Valley Core Area of Upper Minjiang River. Master’s Thesis, Sichuan Agricultural University, Ya’an, China, 2014. [Google Scholar]
- Liu, Q.; Li, Z.; Li, P.; Han, J. On Soil Erodibility of Purple soil in Small Watersheds in Sichuan Basin. J. Mianyang Teach. Coll. 2012, 31, 106–109. [Google Scholar] [CrossRef]
- Wang, Y.; Zhou, G.; Jia, B. Modeling SOC and NPP responses of meadow steppe to different grazing intensities in Northeast China. Ecol. Model. 2008, 217, 72–78. [Google Scholar] [CrossRef]
- Xia, L.; Zhang, G.; Heathman, G.C.; Wang, Y.; Huang, C.H. Fractal features of soil particle-size distribution as affected by plant communities in the forested region of Mountain Yimeng, China. Geoderma 2009, 154, 123–130. [Google Scholar] [CrossRef]
- Zhu, Z.; Huang, Y.; Xu, F.; Xing, W.; Zheng, S.; Bai, Y. Effects of precipitation intensity and temporal pattern on soil nitrogen mineralization in a typical steppe of Nei Mongol grassland. Chin. J. Plant Ecol. 2017, 41, 938–952. [Google Scholar] [CrossRef][Green Version]
- Zhou, T.; Shi, P.; Wang, S. Impacts of Climate Change and Human Activities on Soil Carbon Storage in China. Acta Geogr. Sin. 2003, 58, 727–734. [Google Scholar] [CrossRef]
- Liu, C. Temporal and Spatial Variation of Soil Organic Carbon and Its Influening Factors in Western Songnen Plain. Master’s Thesis, Harbin Normal University, Harbin, China, 2017. [Google Scholar]
- Tang, K.; Hou, Q.; Wang, B.; Zhang, P. The Environment Background and Administration Way of Wind-water Erosion Crisscross Region and Shenmu Experimental Area on the Loess Plateau. Soil Water Conser. Res. 1993, 2, 2–15. [Google Scholar] [CrossRef]
- Loess Plateau Data Center, National Earth System Science Data Sharing Infrastructure, National Science & Technology Infrastructure of China. Available online: http://loess.geodata.cn (accessed on 4 December 2019).
- Nelson, D.W.; Sommers, L.E.; Sparks, D.L.; Page, A.L.; Helmke, P.A.; Loeppert, R.H.; Soltanpour, P.N.; Tabatabai, M.A.; Johnston, C.T.; Sumner, M.E. Total carbon, organic carbon, and organic matter. Method. Soil Anal. 1996, 9, 961–1010. [Google Scholar] [CrossRef]
- Bremner, J.M.; Sparks, D.L.; Page, A.L.; Helmke, P.A.; Loeppert, R.H.; Soltanpour, P.N.; Tabatabai, M.A.; Johnston, C.T.; Sumner, M.E. Nitrogen—Total. Method. Soil Anal. Chem. Method. Part 1996, 72, 532–535. [Google Scholar] [CrossRef]
- Murphy, J.; Riley, J.P. A modified single solution method for the determination of phosphate in natural waters. Anal. Chim. Acta 1962, 26, 31–36. [Google Scholar] [CrossRef]
- Xue, S.; Yang, X.; Liu, G.; Gai, L.; Zhang, C.; Ritsema, C.J.; Geissen, V. Effects of elevated CO2 and drought on the microbial biomass and enzymatic activities in the rhizospheres of two grass species in Chinese loess soil. Geoderma 2017, 286, 25–34. [Google Scholar] [CrossRef]
- Miranda, J.G.V.; Montero, E.; Alves, M.C.; González, A.P.; Vázquez, E.V. Multifractal characterization of saprolite particle-size distributions after topsoil removal. Geoderma 2006, 134, 373–385. [Google Scholar] [CrossRef]
- Hentschel, H.G.E.; Procaccia, I. The infinite number of generalized dimensions of fractals and strange attractors. Physica D Nonlinear Phenomena 1983, 8, 435–444. [Google Scholar] [CrossRef]
- Wang, D.; Fu, B.; Lu, K.; Xiao, L.; Zhang, Y.; Feng, X. Multifractal analysis of land use pattern in space and time: A case study in the Loess Plateau of China. Ecol. Complex. 2010, 7, 487–493. [Google Scholar] [CrossRef]
- Williams, J.R.; Jones, C.A.; Dyke, P.T. A Modeling Approach to Determining the Relationship Between Erosion and Soil Productivity. Trans. Asae 1984, 27, 129–144. [Google Scholar] [CrossRef]
- Zhang, F.; Wang, Z.; Yang, M. Assessing the applicability of the Taguchi design method to an interrill erosion study. J. Hydrol. 2015, 521, 65–73. [Google Scholar] [CrossRef]
- Wang, B.; Liu, G.; Xue, S.; Zhu, B. Changes in soil physico-chemical and microbiological properties during natural succession on abandoned farmland in the Loess Plateau. Environ. Earth Sci. 2011, 62, 915–925. [Google Scholar] [CrossRef]
- Lyu, X.; Yu, J.; Zhou, M.; Ma, B.; Wang, G.; Zhan, C.; Han, G.; Guan, B.; Wu, H.; Li, Y. Changes of soil particle size distribution in tidal flats in the Yellow River Delta. PLoS ONE 2015, 10, e0121368. [Google Scholar] [CrossRef] [PubMed]
- Xue, S.; Liu, G.; Pan, Y.; Dai, Q.; Zhang, C.; Na, Y. Evolution of Soil Labile Organic Matter and Carbon Management Index in the Artificial Robinia of Loess Hilly Area. Scientia Agric. Sin. 2009, 42, 1458–1464. [Google Scholar] [CrossRef]
- Trimble, S.W.; Crosson, P. LAND USE: U.S. Soil Erosion Rates-Myth and Reality. Science 2000, 289, 248–250. [Google Scholar] [CrossRef]
- Meng, Z.; Dang, X.; Gao, Y.; Ren, X.; Ding, Y.; Wang, M. Interactive effects of wind speed, vegetation coverage and soil moisture in controlling wind erosion in a temperate desert steppe, Inner Mongolia of China. J. Arid Land 2018, 10, 534–547. [Google Scholar] [CrossRef]
- Guo, C.; Dannenmann, M.; Gasche, R.; Zeller, B.; Papen, H.; Polle, A.; Rennenberg, H.; Simon, J. Preferential use of root litter compared to leaf litter by beech seedlings and soil microorganisms. Plant Soil 2013, 368, 519–534. [Google Scholar] [CrossRef]
- Xu, H.; Qu, Q.; Li, P.; Guo, Z.; Wulan, E.; Xue, S. Stocks and Stoichiometry of Soil Organic Carbon, Total Nitrogen, and Total Phosphorus after Vegetation Restoration in the Loess Hilly Region, China. Forests 2019, 10, 1–14. [Google Scholar] [CrossRef]
- An, S.; Zheng, F.; Zhang, F.; Pelt, S.V.; Hamer, U.; Makeschin, F. Soil quality degradation processes along a deforestation chronosequence in the Ziwuling area, China. Catena 2008, 75, 248–256. [Google Scholar] [CrossRef]
- Zhuang, J.; Mccarthy, J.F.; Perfect, E.; Mayer, L.M.; Jastrow, J.D. Soil Water Hysteresis in Water-Stable Microaggregates as Affected by Organic Matter. Soil Sci. Soc. Am. J. 2008, 72, 212–220. [Google Scholar] [CrossRef]
- An, S.; Huang, Y.; Zheng, F.; Yang, J. Aggregate Characteristics During Natural Revegetation on the Loess Plateau. Pedosphere 2008, 18, 809–816. [Google Scholar] [CrossRef]
- Zhu, B.; Li, Z.; Li, P.; Liu, G.; Xue, S. Soil erodibility, microbial biomass, and physical–chemical property changes during long-term natural vegetation restoration: A case study in the Loess Plateau, China. Ecol. Res. 2010, 25, 531–541. [Google Scholar] [CrossRef]
- Sun, J.; Zhao, J. Quanternary of Loess Plateau in China; Science press: Beijing, China, 1991; pp. 96–103. [Google Scholar]
- Yang, W.; Tian, J. Fractal characteristics of soil particle composition in typical soil profile of loess plateau. Acta Pedol. Sin. 2004, 41, 84–88. [Google Scholar]
- Ding, Z.; Yu, Z.; Yang, S.; Sun, J.; Xiong, S.; Liu, T. Coeval changes in grain size and sedimentation rate of eolian loess, the Chinese Loess Plateau. Geophys. Res. Lett. 2001, 28, 2097–2100. [Google Scholar] [CrossRef]
- Wei, W.; Chen, L.; Fu, B.; Chen, J. Water erosion response to rainfall and land use in different drought-level years in a loess hilly area of China. Catena 2010, 81, 24–31. [Google Scholar] [CrossRef]
- Ma, L.; Yuan, S.; Guo, C.; Wang, R. Carbon and nitrogen dynamics of native Leymus chinensis grasslands along a 1000 km longitudinal precipitation gradient in northeastern China. Biogeosci. Discuss. 2014, 11, 7097–7106. [Google Scholar] [CrossRef]
- Wu, F.; Cao, Y.; Lu, G.; Yang, J.; Zhang, T. Impact Factors of Soil Wind Erosion and Estimation of Soil Loss in Zhundong, Xinjiang. J. Soil Water Conser. 2016, 30, 56–60. [Google Scholar] [CrossRef]
- Zhang, J.; Dong, Y. Factors affecting species diversity of plant communities and the restoration process in the loess area of China. Ecol. Eng. 2010, 36, 345–350. [Google Scholar] [CrossRef]
- Bell, C.; Mcintyre, N.; Cox, S.; Tissue, D.; Zak, J. Soil Microbial Responses to Temporal Variations of Moisture and Temperature in a Chihuahuan Desert Grassland. Microb. Ecol. 2008, 56, 153–167. [Google Scholar] [CrossRef]
- Li, S.; Li, Y.; Duan, S.; Zhou, X. Study on Changes of Soil Physiochemical Property Under Converting Cropland to Forest in Datong of Qinghai Province. Res. Soil Water Conser. 2009, 16, 132–137. [Google Scholar]
- Deng, L.; Peng, C.; Huang, C.; Wang, K.; Liu, Q.; Liu, Y.; Hai, X.; Shangguan, Z. Drivers of soil microbial metabolic limitation changes along a vegetation restoration gradient on the Loess Plateau, China. Geoderma 2019, 353, 188–200. [Google Scholar] [CrossRef]
- Li, X.; Ma, R.; An, S.; Zeng, Q.; Li, Y. Characteristics of organic carbon and enzyme activities in soil aggregates under different vegetation zones on the loess plateau. Chin. J. Appl. Ecol. 2015, 26, 2282–2290. [Google Scholar]
- Zhang, Y.; Du, H.; Zhang, Z.; Feng, C. Evolution Characteristics of Soil Biological Property in Loess Hilly Region under Natural Vegetation Restoration. Res. Soil Water Conser. 2014, 21, 6–17. [Google Scholar] [CrossRef]








| Variable | Source | Type III Sum of Squares | Degree of Freedom | Mean Sum of Square | F value | p | Percentage Contribution/% |
|---|---|---|---|---|---|---|---|
| K | Latitude | 1.386 | 6 | 0.231 | 63.675 | <0.01 | 58.5 |
| Restoration age | 0.162 | 5 | 0.032 | 8.915 | <0.01 | 6.2 | |
| Error | 0.722 | 199 | 32.7 | ||||
| Total | 28.209 | 211 | |||||
| D0 | Latitude | 0.029 | 6 | 0.005 | 8.061 | <0.01 | 16.3 |
| Restoration age | 0.008 | 5 | 0.002 | 2.841 | 0.017 | 3.5 | |
| Error | 0.118 | 199 | 80.9 | ||||
| Total | 175.658 | 211 | |||||
| D1 | Latitude | 0.033 | 6 | 0.005 | 9.314 | <0.01 | 18.5 |
| Restoration age | 0.014 | 5 | 0.003 | 4.764 | <0.01 | 7.0 | |
| Error | 0.116 | 199 | 77.8 | ||||
| Total | 148.718 | 211 | |||||
| D2 | Latitude | 0.063 | 6 | 0.011 | 11.136 | <0.01 | 21.6 |
| Restoration age | 0.018 | 5 | 0.004 | 3.715 | 0.003 | 4.8 | |
| Error | 0.188 | 199 | 74.4 | ||||
| Total | 136.451 | 211 | |||||
| D1/D0 | Latitude | 0.033 | 6 | 0.006 | 8.638 | <0.01 | 17.1 |
| Restoration age | 0.009 | 5 | 0.002 | 2.833 | 0.017 | 3.4 | |
| Error | 0.127 | 199 | 78.3 | ||||
| Total | 178.913 | 211 |
© 2020 by the authors. Licensee MDPI, Basel, Switzerland. This article is an open access article distributed under the terms and conditions of the Creative Commons Attribution (CC BY) license (http://creativecommons.org/licenses/by/4.0/).
Share and Cite
Zhai, J.; Song, Y.; Entemake, W.; Xu, H.; Wu, Y.; Qu, Q.; Xue, S. Change in Soil Particle Size Distribution and Erodibility with Latitude and Vegetation Restoration Chronosequence on the Loess Plateau, China. Int. J. Environ. Res. Public Health 2020, 17, 822. https://doi.org/10.3390/ijerph17030822
Zhai J, Song Y, Entemake W, Xu H, Wu Y, Qu Q, Xue S. Change in Soil Particle Size Distribution and Erodibility with Latitude and Vegetation Restoration Chronosequence on the Loess Plateau, China. International Journal of Environmental Research and Public Health. 2020; 17(3):822. https://doi.org/10.3390/ijerph17030822
Chicago/Turabian StyleZhai, Jiaying, Yahui Song, Wulan Entemake, Hongwei Xu, Yang Wu, Qing Qu, and Sha Xue. 2020. "Change in Soil Particle Size Distribution and Erodibility with Latitude and Vegetation Restoration Chronosequence on the Loess Plateau, China" International Journal of Environmental Research and Public Health 17, no. 3: 822. https://doi.org/10.3390/ijerph17030822
APA StyleZhai, J., Song, Y., Entemake, W., Xu, H., Wu, Y., Qu, Q., & Xue, S. (2020). Change in Soil Particle Size Distribution and Erodibility with Latitude and Vegetation Restoration Chronosequence on the Loess Plateau, China. International Journal of Environmental Research and Public Health, 17(3), 822. https://doi.org/10.3390/ijerph17030822

