Social Support and Subclinical Coronary Artery Disease in Middle-Aged Men and Women: Findings from the Pilot of Swedish CArdioPulmonary bioImage Study
Abstract
1. Introduction
2. Methods
2.1. Study Population and Recruitment
2.2. Social Support
2.3. CAC Scoring
2.4. Measurement of Standard Risk Factors
2.5. Statistical Methods
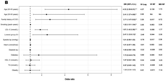
3. Results
3.1. Study Cohort
3.2. Social Support and Clinical Risk Factors
3.3. Social Support and Prevalence of CAC
3.4. Association of Social Support and CAC
4. Discussion
5. Conclusions
Supplementary Materials
Author Contributions
Funding
Acknowledgments
Conflicts of Interest
References
- Barth, J.; Schneider, S.; Von Kanel, R. Lack of Social Support in the Etiology and the Prognosis of Coronary Heart Disease: A Systematic Review and Meta-Analysis. Psychosom. Med. 2010, 72, 229–238. [Google Scholar] [CrossRef] [PubMed]
- Rosengren, A.; Orth-Gomér, K.; Wedel, H.; Wilhelmsen, L. Stressful life events, social support, and mortality in men born in 1933. BMJ 1993, 307, 1102–1105. [Google Scholar] [CrossRef] [PubMed]
- Cole, S.W. Social regulation of leukocyte homeostasis: the role of glucocorticoid sensitivity. Brain Behav. Immun. 2008, 22, 1049–1055. [Google Scholar] [CrossRef] [PubMed]
- Hofer, M.A. Relationships as Regulators: A Psychobiologic Perspective on Bereavement*. Psychosom. Med. 1984, 46, 183–197. [Google Scholar] [CrossRef]
- Seeman, T.E.; McEwen, B.S. Impact of Social Environment Characteristics on Neuroendocrine Regulation. Psychosom. Med. 1996, 58, 459–471. [Google Scholar] [CrossRef]
- Pedersen, S.S.; Von Känel, R.; Tully, P.J.; Denollet, J. Psychosocial perspectives in cardiovascular disease. Eur. J. Prev. Cardiol. 2017, 24, 108–115. [Google Scholar] [CrossRef]
- Rosengren, A.; Wilhelmsen, L.; Welin, L.; Tsipogianni, A.; Teger-Nilsson, A.C.; Wedel, H. Social influences and cardiovascular risk factors as determinants of plasma fibrinogen concentration in a general population sample of middle aged men. BMJ 1990, 300, 634–638. [Google Scholar] [CrossRef]
- Orth-Gomér, K.; Rosengren, A.; Wilhelmsen, L. Lack of social support and incidence of coronary heart disease in middle-aged Swedish men. Psychosom. Med. 1993, 55, 37–43. [Google Scholar] [CrossRef]
- A Rumberger, J.; Simons, D.B.; A Fitzpatrick, L.; Sheedy, P.F.; Schwartz, R.S. Coronary artery calcium area by electron-beam computed tomography and coronary atherosclerotic plaque area. A histopathologic correlative study. Circulation 1995, 92. [Google Scholar]
- Kim, D.; Diez Roux, A.V.; Kiefe, C.I.; Kawachi, I.; Liu, K. Do neighborhood socioeconomic deprivation and low social cohesion predict coronary calcification? The CARDIA study. Am. J. Epidemiol. 2010, 172, 288–298. [Google Scholar] [CrossRef]
- Kop, W.J.; Berman, D.S.; Gransar, H.; Wong, N.D.; Miranda-Peats, R.; White, M.D.; Shin, M.; Bruce, M.; Krantz, D.S.; Rozanski, A. Social Network and Coronary Artery Calcification in Asymptomatic Individuals. Psychosom. Med. 2005, 67, 343–352. [Google Scholar] [CrossRef] [PubMed]
- Steptoe, A.; Hamer, M.; O’Donnell, K.; Venuraju, S.; Marmot, M.G.; Lahiri, A. Socioeconomic Status and Subclinical Coronary Disease in the Whitehall II Epidemiological Study. PLOS ONE 2010, 5, e8874. [Google Scholar] [CrossRef] [PubMed]
- Rozanski, A.; Gransar, H.; Kubzansky, L.D.; Wong, N.; Shaw, L.; Miranda-Peats, R.; Thomson, L.E.; Hayes, S.W.; Friedman, J.D.; Berman, D.S. Do Psychological Risk Factors Predict the Presence of Coronary Atherosclerosis? Psychosom. Med. 2011, 73, 7–15. [Google Scholar] [CrossRef] [PubMed]
- Low, C.A.; Matthews, K.A.; Kuller, L.H.; Edmundowicz, D. Psychosocial predictors of coronary artery calcification progression in postmenopausal women. Psychosom. Med. 2011, 73, 789–794. [Google Scholar] [CrossRef]
- Rosengren, A.; Wilhelmsen, L.; Orth-Gomér, K. Coronary disease in relation to social support and social class in Swedish men. A 15 year follow-up in the study of men born in 1933. Eur. Hear. J. 2004, 25, 56–63. [Google Scholar] [CrossRef]
- Orth-Gomér, K.; Horsten, M.; Wamala, S.; Mittleman, M.; Kirkeeide, R.; Svane, B.; Rydén, L.; Schenck-Gustafsson, K. Social relations and extent and severity of coronary artery disease. The Stockholm Female Coronary Risk Study. Eur. Hear. J. 1998, 19, 1648–1656. [Google Scholar] [CrossRef][Green Version]
- Horsten, M. Depressive symptoms and lack of social integration in relation to prognosis of CHD in middle-aged women. The Stockholm Female Coronary Risk Study. Eur. Hear. J. 2000, 21, 1072–1080. [Google Scholar] [CrossRef]
- Undén, A.-L.; Orth-Gomér, K. Development of a social support instrument for use in population surveys. Soc. Sci. Med. 1989, 29, 1387–1392. [Google Scholar] [CrossRef]
- Bergström, G.; Berglund, G.; Blomberg, A.; Brandberg, J.; Engstrom, G.; Engvall, J.; Eriksson, M.; De Faire, U.; Flinck, A.; Hansson, M.G.; et al. The Swedish CArdioPulmonary BioImage Study: objectives and design. J. Intern. Med. 2015, 278, 645–659. [Google Scholar] [CrossRef]
- Djekic, D.; Angerås, O.; Lappas, G.; Fagman, E.; Fagerberg, B.; Bergström, G.; Rosengren, A. Impact of socioeconomic status on coronary artery calcification. Eur. J. Prev. Cardiol. 2018, 25, 1756–1764. [Google Scholar] [CrossRef]
- Janowitz, W.R.; Agatston, A.S.; Viamonte, M. Comparison of serial quantitative evaluation of calcified coronary artery plaque by ultrafast computed tomography in persons with and without obstructive coronary artery disease. Am. J. Cardiol. 1991, 68, 1–6. [Google Scholar] [CrossRef]
- Greenland, P.; Bonow, R.O.; Brundage, B.H.; Budoff, M.J.; Eisenberg, M.J.; Grundy, S.M.; Lauer, M.S.; Post, W.S.; Raggi, P.; Redberg, R.F.; et al. ACCF/AHA 2007 clinical expert consensus document on coronary artery calcium scoring by computed tomography in global cardiovascular risk assessment and in evaluation of patients with chest pain: A report of the American College of Cardiology Foundation Clinical Expert Consensus Task Force (ACCF/AHA Writing Committee to Update the 2000 Expert Consensus Document on Electron Beam Computed Tomography) developed in collaboration with the Society of Atherosclerosis Imaging and Prevention and the Society of Cardiovascular Computed Tomography. J. Am. Coll. Cardiol. 2007, 49, 378–402. [Google Scholar] [PubMed]
- Detrano, R.; Guerci, A.D.; Carr, J.J.; Bild, D.E.; Burke, G.; Folsom, A.R.; Liu, K.; Shea, S.; Szklo, M.; Bluemke, D.A.; et al. Coronary Calcium as a Predictor of Coronary Events in Four Racial or Ethnic Groups. New Engl. J. Med. 2008, 358, 1336–1345. [Google Scholar] [CrossRef]
- Pletcher, M.J.; Tice, J.A.; Pignone, M.; Browner, W.S. Using the coronary artery calcium score to predict coronary heart disease events: A systematic review and meta-analysis. Arch. Intern. Med. 2004, 164, 1285–1292. [Google Scholar] [CrossRef] [PubMed]
- McFadden, D. Conditional logit analysis of qualitative choice behavior. In Frontiers in Econometrics; Zarembka, P., Ed.; Academic Press: New York, NY, USA, 1973; pp. 105–142. [Google Scholar]
- Breiman, L. Random Forests. Mach. Learn. 2001, 45, 5–32. [Google Scholar] [CrossRef]
- Ishwaran, H.; Kogalur, U.B.; Gorodeski, E.Z.; Minn, A.J.; Lauer, M.S. High-Dimensional Variable Selection for Survival Data. J. Am. Stat. Assoc. 2010, 105, 205–217. [Google Scholar] [CrossRef]
- Kring, A.M.; Gordon, A.H. Sex differences in emotion: Expression, experience, and physiology. J. Pers. Soc. Psychol. 1998, 74, 686–703. [Google Scholar] [CrossRef]
- Heffner, K.L.; Waring, M.E.; Roberts, M.B.; Eaton, C.B.; Gramling, R. Social isolation, C-reactive protein, and coronary heart disease mortality among community-dwelling adults. Soc. Sci. Med. 2011, 72, 1482–1488. [Google Scholar] [CrossRef]
- Loucks, E.B.; Berkman, L.F.; Gruenewald, T.L.; Seeman, T.E. Relation of Social Integration to Inflammatory Marker Concentrations in Men and Women 70 to 79 Years. Am. J. Cardiol. 2006, 97, 1010–1016. [Google Scholar] [CrossRef]
- Shaw, L.J.; Raggi, P.; Berman, D.S.; Callister, T.Q. Coronary artery calcium as a measure of biologic age. Atheroscler. 2006, 188, 112–119. [Google Scholar] [CrossRef]
- Erbel, R.; Budoff, M. Improvement of cardiovascular risk prediction using coronary imaging: subclinical atherosclerosis: the memory of lifetime risk factor exposure. Eur. Hear. J. 2012, 33, 1201–1213. [Google Scholar] [CrossRef] [PubMed]





| Men | Women | |||||||
|---|---|---|---|---|---|---|---|---|
| Social Integration | Highest (n = 129) | Middle (n = 249) | Lowest (n = 105) | p | Highest (n = 128) | Middle (n = 244) | Lowest (n = 123) | p |
| Age, years, mean ± SD | 57.4 ± 4.2 | 57.7 ± 4.5 | 57.8 ± 4.7 | 0.56 | 56.9 ± 4.0 | 58.0 ± 4.4 | 57.3 ± 4.2 | 0.42 |
| Family history of premature CVD 1), n (%) | 15 (11.6) | 24 (9.6) | 7 (6.7) | 0.20 | 5 (3.9) | 36 (14.8) | 24 (19.5) | <0.001 |
| Diabetes mellitus †, n (%) | 3 (2.3) | 20 (8.0) | 12 (11.4) | 0.007 | 1 (0.8) | 12 (4.9) | 9 (7.3) | 0.01 |
| Systolic BP, mmHg †, mean ± SD | 129 ± 16.3 | 131 ± 17.8 | 130 ± 16.1 | 0.88 | 123 ± 16.5 | 126 ± 18.2 | 123 ± 16.8 | 0.92 |
| Diastolic BP, mmHg †, mean ± SD | 78 ± 9.1 | 79 ± 9.1 | 79 ± 8.8 | 0.78 | 73 ± 9.0 | 74 ± 9.2 | 72 ± 8.2 | 0.69 |
| BMI, kg/m2 †, mean ± SD | 27.4 ± 3.0 | 27.9 ± 4.5 | 27.7 ± 4.0 | 0.54 | 25.6 ± 4.0 | 27.1 ± 5.2 | 27.3 ± 5.1 | 0.011 |
| Waist circumference, cm †, mean ± SD | 99.9 ± 8.8 | 100.5 ± 11.8 | 100.6 ± 10.9 | 0.64 | 86.8 ± 11.8 | 90.8 ± 12.8 | 92.0 ± 12.9 | 0.002 |
| Active smoker¤, n (%) | 15 (11.6) | 35 (14.1) | 23 (21.9) | 0.033 | 11 (8.6) | 30 (12.3) | 30 (24.4) | <0.001 |
| Smoking burden¤, pack-years, median [IQR] | 0 [0;15.8] | 5 [0;18.8] | 5 [0;20.0] | 0.13 | 0 [0;4.2] | 1.43 [0;15.0] | 5.0 [0;20.0] | <0.001 |
| No exercise activity ‡, n (%) | 35 (27.1) | 88 (35.3) | 47 (44.8) | 0.005 | 27 (21.1) | 63 (25.8) | 67 (54.5) | <0.001 |
| Low SES residential area, n (%) | 37 (28.7) | 125 (50.2) | 71 (67.6) | <0.001 | 38 (29.7) | 110 (45.1) | 83 (67.5) | <0.001 |
| University degree †, n (%) | 55 (42.6) | 83 (33.3) | 25 (23.8) | 0.002 | 84 (65.6) | 95 (38.9) | 29 (23.6) | <0.001 |
| Depression †, n (%) | 2 (1.6) | 15 (6.0) | 15 (14.3) | <0.001 | 7 (5.5) | 29 (11.9) | 30 (24.4) | <0.001 |
| Married/ Cohabiting †, n (%) | 117 (90.7) | 197 (79.1) | 67 (63.8) | <0.001 | 103 (80.5) | 186 (76.2) | 74 (60.2) | <0.001 |
| WBC count, ×109/L †, median [IQR] | 5.7 [4.8; 6.7] | 5.9 [5.0; 7.0] | 5.8 [4.8; 7.0] | 0.003 | 5.4 [4.4; 6.4] | 5.7 [4.3; 6.8] | 6.4 [5.0; 7.5] | <0.001 |
| hs-CRP, mg/L †, median [IQR] | 1.20 [0.63; 2.10] | 1.20 [0.60; 2.50] | 1.60 [0.72; 2.80] | 0.089 | 0.98 [0.51; 2.10] | 1.40 [0.65; 3.10] | 1.70 [0.99; 3.55] | <0.001 |
| HbA1c, mmol/mol †, mean ± SD | 35.6 (4.66) | 36.8 (7.98) | 37.3 (10.0) | 0.094 | 34.4 (3.37) | 36.2 (6.54) | 37.3 (9.49) | <0.001 |
| Total cholesterol, mmol/L †, mean ± SD | 5.77 ± 1.07 | 5.49 ± 1.08 | 5.72 ± 1.01 | 0.67 | 5.93 ± 0.89 | 6.00 ± 1.00 | 5.82 ± 1.08 | 0.46 |
| LDL-C, mmol/L †, mean ± SD | 3.90 ± 0.93 | 3.67 ± 0.98 | 3.88 ± 0.99 | 0.76 | 3.72 ± 0.83 | 3.82 ± 0.93 | 3.72 ± 1.00 | 0.94 |
| HDL-C, mmol/L †, median [IQR] | 1.40 [1.20; 1.80] | 1.40 [1.20; 1.70] | 1.40 [1.20; 1.70] | 0.32 | 2.00 [1.60; 2.30] | 1.90 [1.55; 2.30] | 1.70 [1.40; 2.20] | 0.005 |
| Triglycerides, mmol/L †, median [IQR] | 1.20 [0.91; 1.60] | 1.20 [0.89; 1.70] | 1.20 [0.96; 2.00] | 0.25 | 0.91 [0.67; 1.30] | 0.99 [0.76; 1.40] | 1.10 [0.83; 1.85] | <0.001 |
| Men | Women | |||||||
|---|---|---|---|---|---|---|---|---|
| Emotional attachment | Highest (n = 269) | Middle (n = 108) | Lowest (n = 100) | p | Highest (n = 349) | Middle (n = 84) | Lowest (n = 59) | p |
| Age, years, mean ± SD | 57.7 ± 4.5 | 57.3 ± 4.5 | 58.2 ± 4.3 | 0.66 | 57.6 ± 4.4 | 57.3 ± 3.8 | 57.8 ± 4.4 | 0.95 |
| Family history of premature CVD 1), n (%) | 25 (9.3) | 7 (6.5) | 10 (10.0) | 0.98 | 37 (10.6) | 18 (21.4) | 13 (22.0) | 0.002 |
| Diabetes mellitus †, n (%) | 21 (7.8) | 6 (5.6) | 10 (10.0) | 0.65 | 16 (4.6) | 2 (2.4) | 4 (6.8) | 0.76 |
| Systolic BP, mmHg †, mean ± SD | 130 ± 18.2 | 130 ± 16.0 | 130 ± 16.7 | 0.82 | 125 ± 18.4 | 124 ± 15.6 | 123 ± 14.3 | 0.85 |
| Diastolic BP, mmHg †, mean ± SD | 79 ± 9.4 | 78 ± 8.3 | 79 ± 9.1 | 0.73 | 73 ± 9.3 | 73 ± 8.6 | 73 ± 8.7 | 0.97 |
| BMI, kg/m2 †, mean ± SD | 27.6 ± 4.1 | 27.8 ± 3.6 | 27.8 ± 4.2 | 0.63 | 26.3 ± 4.4 | 28.3 ± 5.6 | 27.4 ± 5.8 | 0.004 |
| Waist circumference, cm †, mean ± SD | 100.1 ± 10.9 | 100.5 ± 10.0 | 101.1 ± 11.3 | 0.57 | 88.9 ± 11.7 | 94.0 ± 14.0 | 92.9 ± 14.9 | 0.002 |
| Active smoker †, n (%) | 32 (11.9) | 16 (14.8) | 23 (23.0) | 0.010 | 41 (11.7) | 18 (21.4) | 10 (16.9) | 0.070 |
| Smoking burden, pack-year, median [IQR] † | 2.5 [0; 16.5] | 5.18 [0; 19.3] | 10.0 [0; 22.5] | 0.04 | 0 [0; 11.5] | 4.9 [0; 15.2] | 4.4 [0; 23.1] | 0.005 |
| No exercise activity ‡, n (%) | 94 (34.9) | 36 (33.3) | 39 (39.0) | 0.56 | 89 (25.5) | 41 (48.8) | 30 (50.8) | <0.001 |
| Low SES residential area, n (%) | 126 (46.8) | 50 (46.3) | 57 (57.0) | 0.12 | 156 (44.7) | 44 (52.4) | 35 (59.3) | 0.022 |
| University degree †, n (%) | 90 (33.5) | 35 (32.4) | 35 (35.0) | 0.84 | 157 (45.0) | 28 (33.3) | 21 (35.6) | 0.055 |
| Depression †, n (%) | 14 (5.2) | 7 (6.5) | 11 (11.0) | 0.058 | 18 (5.2) | 16 (19.0) | 27 (45.8) | <0.001 |
| Married/cohabiting †, n (%) | 234 (87.0) | 81 (75.0) | 64 (64.0) | <0.001 | 287 (82.2) | 47 (56.0) | 29 (49.2) | <0.001 |
| WBC count, ×109/L †, median [IQR] | 5.8 [4.8; 7.0] | 5.9 [5.0; 7.0] | 5.7 [4.8; 6.7] | 0.42 | 5.4 [4.4; 6.4] | 5.7 [4.3; 6.8] | 6.4 [5.0; 7.5] | 0.008 |
| hs-CRP, mg/L †, median [IQR] | 1.55 [0.68; 2.85] | 1.05 [0.72; 2.35] | 1.30 [0.61; 2.40] | 0.41 | 1.20 [0.58; 2.60] | 1.90 [0.90; 3.30] | 1.80 [0.96; 3.60] | <0.001 |
| HbA1c,mmol/mol †, mean ± SD | 36.7 (7.24) | 35.9 (6.28) | 38.0 (10.47) | 0.26 | 37.0 (5.86) | 36.3 (5.37) | 37.7 (12.2) | 0.043 |
| Total cholesterol, mmol/L †, mean ± SD | 5.67 ± 1.11 | 5.63 ± 1.13 | 5.54 ± 1.04 | 0.21 | 6.15 ± 1.08 | 5.79 ± 0.94 | 5.94 ± 1.01 | 0.97 |
| LDL-C, mmol/L †, mean ± SD | 3.84 ± 1.05 | 3.83 ± 1.03 | 3.70 ± 0.93 | 0.16 | 3.98 ± 0.95 | 3.70 ± 0.86 | 3.76 ± 0.92 | 0.40 |
| HDL-C, mmol/L †, median [IQR] | 1.40 [1.20; 1.70] | 1.40 [1.20; 1.70] | 1.40 [1.20; 1.70] | 0.53 | 1.90 [1.50; 2.30] | 1.80 [1.40; 2.10] | 1.70 [1.40; 2.10] | 0.006 |
| Triglycerides, mmol/L †, median [IQR] | 1.20 [1.00; 2.00] | 1.20 [0.95; 1.70] | 1.20 [0.87; 1.60] | 0.096 | 0.98 [0.74; 1.40] | 1.10 [0.80; 1.65] | 1.10 [0.89; 1.50] | 0.010 |
| Model 1 * | Model 2 † | Model 3 ‡ | Model 4 + | |||||
|---|---|---|---|---|---|---|---|---|
| OR (95% CI) | p | OR (95% CI) | p | OR (95% CI) | p | Accuracy (95% CI) | p | |
| Social integration | ||||||||
| Highest group (total) | 1.00 | 1.00 | 1.00 | |||||
| Middle group (total) | 1.46 (1.04–2.06) | 0.031 | 1.32 (0.92–1.90) | 0.13 | 1.29 (0.88–1.88) | 0.19 | ||
| Lowest group (total) | 1.56 (1.04–2.34) | 0.031 | 1.24 (0.81–1.91) | 0.32 | 1.23 (0.77–1.97) | 0.39 | 0.71 (0.64–0.76) | 0.07 |
| Highest group (women) | 1.00 | 1.00 | 1.00 | |||||
| Middle group (women) | 2.21 (1.24–4.12) | 0.009 | 1.82 (0.97–3.55) | 0.067 | 1.85 (0.95–3.74) | 0.077 | ||
| Lowest group (women) | 3.21 (1.71–6.26) | <0.001 | 2.47 (1.23–5.12) | 0.013 | 2.51 (1.16–5.61) | 0.022 | 0.80 (0.71–0.87) | 0.006 |
| Highest group (men) | 1.00 | 1.00 | 1.00 | |||||
| Middle group (men) | 1.16 (0.74–1.80) | 0.52 | 1.02 (0.64–1.64) | 0.93 | 1.02 (0.64–1.67) | 0.93 | ||
| Lowest group (men) | 0.92 (0.54–1.57) | 0.76 | 0.73 (0.41–1.31) | 0.29 | 0.75 (0.39–1.43) | 0.38 | 0.52 (0.42–0.62) | 0.27 |
| Emotional attachment | ||||||||
| Highest group (total) | 1.00 | 1.00 | 1.00 | |||||
| Middle group (total) | 1.26 (0.90–1.76) | 0.18 | 1.08 (0.76–1.55) | 0.66 | 1.19 (0.82–1.73) | 0.35 | ||
| Lowest group (total) | 1.64 (1.15–2.35) | 0.007 | 1.31 (0.88–1.93) | 0.18 | 1.34 (0.88–2.05) | 0.17 | 0.63 (0.57–0.69) | 0.10 |
| Highest group (women) | 1.00 | 1.00 | 1.00 | |||||
| Middle group (women) | 0.92 (0.50–1.64) | 0.78 | 0.77 (0.40–1.46) | 0.44 | 0.89 (0.43–1.78) | 0.75 | ||
| Lowest group (women) | 2.46 (1.35–4.46) | 0.003 | 1.83 (0.93–3.59) | 0.07 | 1.73 (0.80–3.70) | 0.16 | 0.77 (0.68–0.84) | 0.005 |
| Highest group (men) | 1.00 | 1.00 | 1.00 | |||||
| Middle group (men) | 1.15 (0.72–1.84) | 0.56 | 1.11 (0.68–1.83) | 0.68 | 1.14 (0.69–1.92) | 0.61 | ||
| Lowest group (men) | 0.90 (0.56–1.44) | 0.65 | 0.72 (0.43–1.21) | 0.21 | 0.73 (0.42–1.26) | 0.26 | 0.72 (0.62–0.79) | 0.07 |
| Social support | ||||||||
| Highest group (total) | 1.00 | 1.00 | 1.00 | |||||
| Middle group (total) | 1.45 (1.00–2.10) | 0.049 | 1.25 (0.85–1.86) | 0.26 | 1.26 (0.84–1.90) | 0.28 | ||
| Lowest group (total) | 1.83 (1.02–3.30) | 0.043 | 1.22 (0.64–2.31) | 0.54 | 1.20 (0.60–2.40) | 0.61 | 0.65 (0.58–0.71) | 0.08 |
| Highest group (women) | 1.00 | 1.00 | 1.00 | |||||
| Middle group (women) | 2.03 (1.13–3.86) | 0.023 | 1.64 (0.86–3.30) | 0.14 | 1.80 (0.89–3.77) | 0.11 | ||
| Lowest group (women) | 5.71 (2.30–14.52) | <0.001 | 4.28 (1.52–12.28) | 0.006 | 4.20 (1.31–13.60) | 0.015 | 0.77 (0.67–0.84) | 0.003 |
| Highest group (men) | 1.00 | 1.00 | 1.00 | |||||
| Middle group (men) | 1.14 (0.69–1.87) | 0.60 | 0.98 (0.57–1.65) | 0.94 | 1.01 (0.58–1.75) | 0.96 | ||
| Lowest group (men) | 0.86 (0.41–1.81) | 0.69 | 0.54 (0.23–1.22) | 0.14 | 0.61 (0.24–1.48) | 0.27 | 0.67 (0.57–0.76) | 0.09 |
© 2020 by the authors. Licensee MDPI, Basel, Switzerland. This article is an open access article distributed under the terms and conditions of the Creative Commons Attribution (CC BY) license (http://creativecommons.org/licenses/by/4.0/).
Share and Cite
Djekic, D.; Fagman, E.; Angerås, O.; Lappas, G.; Torén, K.; Bergström, G.; Rosengren, A. Social Support and Subclinical Coronary Artery Disease in Middle-Aged Men and Women: Findings from the Pilot of Swedish CArdioPulmonary bioImage Study. Int. J. Environ. Res. Public Health 2020, 17, 778. https://doi.org/10.3390/ijerph17030778
Djekic D, Fagman E, Angerås O, Lappas G, Torén K, Bergström G, Rosengren A. Social Support and Subclinical Coronary Artery Disease in Middle-Aged Men and Women: Findings from the Pilot of Swedish CArdioPulmonary bioImage Study. International Journal of Environmental Research and Public Health. 2020; 17(3):778. https://doi.org/10.3390/ijerph17030778
Chicago/Turabian StyleDjekic, Demir, Erika Fagman, Oskar Angerås, George Lappas, Kjell Torén, Göran Bergström, and Annika Rosengren. 2020. "Social Support and Subclinical Coronary Artery Disease in Middle-Aged Men and Women: Findings from the Pilot of Swedish CArdioPulmonary bioImage Study" International Journal of Environmental Research and Public Health 17, no. 3: 778. https://doi.org/10.3390/ijerph17030778
APA StyleDjekic, D., Fagman, E., Angerås, O., Lappas, G., Torén, K., Bergström, G., & Rosengren, A. (2020). Social Support and Subclinical Coronary Artery Disease in Middle-Aged Men and Women: Findings from the Pilot of Swedish CArdioPulmonary bioImage Study. International Journal of Environmental Research and Public Health, 17(3), 778. https://doi.org/10.3390/ijerph17030778

