Assessment of the Nutrient Removal Potential of Floating Native and Exotic Aquatic Macrophytes Cultured in Swine Manure Wastewater
Abstract
1. Introduction
2. Materials and Methods
2.1. Experimental Design
2.2. Chemical Analysis
2.3. Data Analysis
3. Results
3.1. Visual Observations and Biomass Production
3.2. Nutrient Concentrations and Absorption Capacities of the Plants
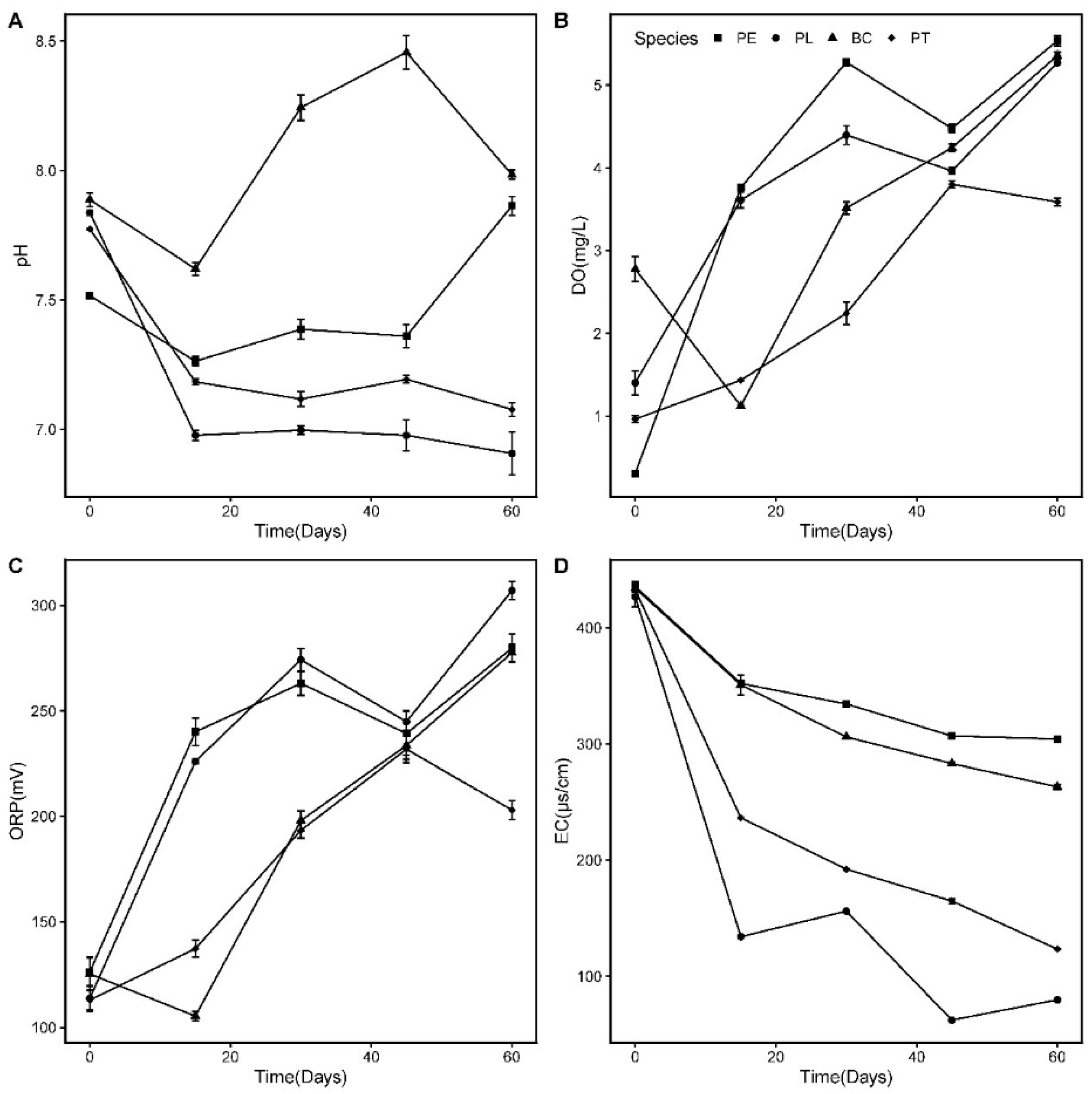
3.3. Variations in pH, DO, ORP, and EC in Wastewater
3.4. Nutrient Reduction in Wastewater
3.5. Chl-a and COD Reduction
4. Discussion
4.1. Visual Observations
4.2. Nutrient Concentration and Absorption Capacity of Plants
4.3. Changes in pH, DO, ORP, and EC in Wastewater
4.4. Nutrient Removal Efficiency by Aquatic Plants
5. Conclusions
Author Contributions
Funding
Conflicts of Interest
References
- Shigesada, N.; Kawasaki, K. Biological invasions: Theory and practice. Am. J. Hum. Biol. 2010, 10, 683–684. [Google Scholar]
- Sinha, E.; Michalak, A.M.; Balaji, V. Eutrophication will increase during the 21st century as a result of precipitation changes. Science 2017, 357, 405–408. [Google Scholar] [CrossRef] [PubMed]
- Li, J.; Yang, X.; Wang, Z.; Shan, Y.; Zheng, Z. Comparison of four aquatic plant treatment systems for nutrient removal from eutrophic water. Bioresour. Technol. 2015, 179, 1–7. [Google Scholar] [CrossRef] [PubMed]
- Nahlik, A.M.; Mitsch, W.J. Tropical treatment wetlands dominated by free-floating macrophytes for water quality improvement in Costa Rica. Ecol. Eng. 2006, 28, 246–257. [Google Scholar] [CrossRef]
- Janssen, A.B.G.; Teurlincx, S.; An, S.; Janse, J.H.; Paerl, H.W.; Mooij, W.M. Alternative stable states in large shallow lakes? J. Great Lakes Res. 2014, 40, 813–826. [Google Scholar] [CrossRef]
- Wei, W.; Chen, L.D.; Fu, B.J.; Chen, J. Water erosion response to rainfall and land use in different drought level years in a loess hilly area of China. Catena 2010, 81, 24–31. [Google Scholar] [CrossRef]
- Brenner, R.K.P.; Scarpino, P.V.; Clark, C.S. Animal viruses, coliphages, and bacteria in aerosols and wastewater at a spray irrigation site. Appl. Environ. Microbiol. 1988, 54, 409–415. [Google Scholar] [CrossRef]
- Zhao, Y.Q.; Sun, G.; Allen, S.J. Anti-sized reed bed system for animal wastewater treatment: A comparative study. Water Research 2004, 38, 2910–2917. [Google Scholar] [CrossRef]
- Fukumoto, Y.; Haga, K. Advanced treatment of swine wastewater by electrodialysis with a tubular ion exchange membrane. Anim. Sci. 2015, 75, 479–485. [Google Scholar] [CrossRef]
- Lu, Q.; He, Z.; Graetz, D.A.; Stoffella, P.J.; Yang, X. Phytoremediation to remove nutrients and improve eutrophic stormwaters using water lettuce (Pistia stratiotes L.). ESPR 2009, 17, 84–96. [Google Scholar] [CrossRef]
- Su, F.; Li, Z.A.; Li, Y.W.; Xu, L.; Li, Y.X.; Li, S.Y.; Chen, H.F.; Zhuang, P.; Wang, F.G. Removal of total nitrogen and phosphorus using single or combinations of aquatic plants. Int. J. Environ. Res. Public Health 2019, 16, 4663. [Google Scholar] [CrossRef] [PubMed]
- Jin, S.Q.; Zhou, J.B.; Zhu, X.L.; Yao, Y.R.; Cai, G.C.; Chen, R.X. Comparison of nitrogen and phosphorus uptake and water purification ability of ten aquatic macrophytes. JAES 2010, 29, 1571–1575. [Google Scholar]
- Hammer, D.A. Designing constructed wetlands systems to treat agricultural nonpoint source pollution. Ecol. Eng. 1992, 1, 49–82. [Google Scholar] [CrossRef]
- Vymazal, J. Removal of nutrients in various types of constructed wetlands. Sci. Total Environ. 2007, 380, 48–65. [Google Scholar] [CrossRef]
- Polomski, R.F.; Taylor, M.D.; Bielenberg, D.G.; Bridges, W.C.; Klaine, S.J.; Whitwell, T. Nitrogen and phosphorus remediation by three floating aquatic macrophytes in greenhouse-based laboratory-scale subsurface constructed wetlands. Water Air Soil Pollut. 2009, 197, 223–232. [Google Scholar] [CrossRef]
- Pi, N.; Ng, J.Z.; Kelly, B. Uptake and elimination kinetics of perfluoroalkyl substances in submerged and free-floating aquatic macrophytes: Results of mesocosm experiments with Echinodorus horemanii and Eichhornia crassipes. Water Res. 2017, 117, 167–174. [Google Scholar] [CrossRef]
- Reddy, K.R.; Sutton, D.L. Water hyacinths for water quality improvement and biomass production. J. Environ. Qual. 1984, 13, 1–8. [Google Scholar] [CrossRef]
- Zhang, W.M. Purifying Effect and Mechanism of Hydrophytes in Eutrophic Water. Ph.D. Thesis, Hehai University, Nanjing, China, 2007; pp. 11–32. [Google Scholar]
- Yuan, X.C.; Zhang, W.W.; Wang, F.G.; Wang, Y.Q.; Guo, Y.N.; Xu, L. Current status and conservation strategies of wetland plants in Guangdong Province, China. Plant Sci. J. 2018, 36, 63–72. [Google Scholar]
- Haller, W.T.; Sutton, D.L.; Barlowe, W.C. Effects of salinity on growth of several aquatic macrophytes. Ecology 1974, 55, 891–894. [Google Scholar] [CrossRef]
- Sooknah, R.D.; Wilkie, A.C. Nutrient removal by floating aquatic macrophytes cultured in anaerobically digested flushed dairy manure wastewater. Ecol. Eng. 2004, 22, 27–42. [Google Scholar] [CrossRef]
- Gerendás, J.; Zhu, Z.J.; Bendixen, R.; Ratcliffe, R.G.; Sattelmacher, B. Physiological and biochemical processes related to ammonium toxicity in higher plants. Z. Pflanzenernähr. Bodenkd. 1997, 160, 239–251. [Google Scholar]
- Karpiscak, M.M.; Freitas, R.J.; Gerba, C.P.; Sanchez, L.R.; Shamir, E. Management of dairy waste in the Sonoran Desert using constructed wetland technology. Water Sci. Technol. 1999, 40, 57–65. [Google Scholar] [CrossRef]
- Caicedo, J.R.; Van der Steen, N.P.; Arce, O.; Gijzen, H.J. Effect of total ammonia nitrogen concentration and pH on growth rates of duckweed (Spirodela polyrrhiza). Water Res. 2000, 34, 3829–3835. [Google Scholar] [CrossRef]
- Reddy, K.R.; Patrick, W.H.; Broadbent, F.E. Nitrogen transformations and loss in flooded soils and sediments. CRC Crit. Rev. Environ. Contr. 1984, 13, 273–309. [Google Scholar]
- Marschner, H. Mineral Nutrition of Higher Plants; Academic Press: London, UK, 1995. [Google Scholar]
- Wan, Z.G.; Gu, F.G.; Sun, B.Y. Analysis of the resistance of six aquatic vascular plants to nitrogen and phosphorus. Freshw. Fish 2006, 36, 37–40. [Google Scholar]
- Patrick, Z.A.; Toussoun, T.A.; Koch, L.W. Effect of crop-residue decomposition products on plant roots. Annu. Rev. Phytopathol. 1964, 2, 267–292. [Google Scholar] [CrossRef]
- Debusk, T.A.; Peterson, J.E.; Reddy, K.R. Use of aquatic and terrestrial plants for removing phosphorus from dairy wastewaters. Ecol. Eng. 1995, 5, 371–390. [Google Scholar] [CrossRef]
- Davis, M.A.; Grime, J.P.; Thompson, K. Fluctuating resources in plant communities: A general theory of invasibility. J. Ecol. 2001, 88, 528–534. [Google Scholar] [CrossRef]
- Denny, P. Solute movement in submerged angiosperms. Biol. Rev. 2010, 55, 65–92. [Google Scholar] [CrossRef]
- McJannet, C.L.; Keddy, P.A.; Pick, F.R. Nitrogen and phosphorus tissue concentrations in 41 wetland plants: A comparison across habitats and functional groups. Funct. Ecol. 1995, 9, 231–238. [Google Scholar] [CrossRef]
- Hadad, H.R.; Maine, M.A.; Bonetto, C.A. Macrophyte growth in a pilot-scale constructed wetland for industrial wastewater treatment. Chemosphere 2006, 63, 1744–1753. [Google Scholar] [CrossRef] [PubMed]
- Jiang, Y.P.; Ge, Y.; Yue, C.L.; Chang, J. Nutrient removal role of plants in constructed wetland on sightseeing water. Acta Ecol. Sin. 2004, 24, 1718–1723. [Google Scholar]
- Brix, H. Do macrophytes play a role in constructed treatment wetlands? Water Sci. Technol. 1997, 35, 11–17. [Google Scholar] [CrossRef]
- Peterson, S.B.; Teal, J.M. The role of plants in ecologically engineered wastewater treatment systems. Ecol. Eng. 1996, 6, 137–148. [Google Scholar] [CrossRef]
- Jin, X.; Wang, S.R.; Pang, Y.; Wu, F.C. Phosphorus fractions and the effect of pH on the phosphorus release of the sediments from different trophic areas in Taihu Lake, China. Environ. Pollut. 2006, 139, 288–295. [Google Scholar] [CrossRef]
- Ye, L.L.; Pan, C.R.; Zhang, Z.Y.; Zheng, Z.X.; Liu, J.J.; Wang, J.Q. Characteristics of N forms in Wabu lake sediments and effects of environmental factors on NH4+-N release. JAES 2006, 25, 1333–1336. [Google Scholar]
- Jin, X.C.; Li, Z.C.; Zheng, S.F.; Yang, S.W.; Hu, X.Z.; Chu, Z.S. Studies on the growth characteristics of Microcystis aeruginosa. Res. Environ. Sci. 2004, 17, 52–54, 61. [Google Scholar]
- Zhan, J.H.; Li, Q.; Deng, S.; Cai, Q.; Zhao, S.M.; Pan, X.J. Purification effect of eutrophic water body by purple-root water hyacinth. Earth Environ. 2014, 42, 389–396. [Google Scholar]
- Ma, S.; Yan, J. Ecological engineering for treatment and utilization of wastewater. In Ecological Engineering: An Introduction to Ecotechnology Mitsch; John Wiley & Sons, Inc.: New York, NY, USA, 1989; pp. 185–217. [Google Scholar]
- Drenner, R.W.; Day, D.J.; Basham, S.J.; Smith, J.D.; Jensen, S.I. Ecological water treatment system for removal of phosphorus and nitrogen from polluted water. Ecol. Appl. 1997, 7, 381–390. [Google Scholar] [CrossRef]
- Todd, J.; Brown, E.J.G.; Wells, E. Ecological design applied. Ecol. Eng. 2003, 20, 412–440. [Google Scholar] [CrossRef]
- Kronzucker, H.J.; Siddiqi, M.Y.; Glass, A. Conifer root discrimination against soil nitrate and the ecology of forest succession. Nature 1997, 385, 59–61. [Google Scholar] [CrossRef]
- Moore, M.T.; Locke, M.A.; Kröger, R. Using aquatic vegetation to remediate nitrate, ammonium, and soluble reactive phosphorus in simulated runoff. Chemosphere 2016, 160, 149–154. [Google Scholar] [CrossRef] [PubMed]
- Suikkanen, S.; Fistarol, G.O.; Granéli, E. Allelopathic effects of the Baltic cyanobacteria Nodularia spumdigena, Aphanizomenon flos-aquae and Anabaena lemmermannii on algal monocultures. J. Exp. Mar. Biol. Ecol. 2004, 308, 85–101. [Google Scholar] [CrossRef]









| Treatment | Initial Fresh Weight | Harvest | Net Biomass Growth Rates | |||
|---|---|---|---|---|---|---|
| 1 | 2 | 3 | Total | |||
| E. crassipes | 200.0 | 100.1 | 100.4 | 200.5 | 0.2% | |
| T. natans | 200.0 | 91.6 | 103.5 | 776.7 | 971.8 | 385.9% |
| L. adscendens | 200.0 | 423.3 | 400.2 | 456.2 | 1279.7 | 539.8% |
| Treatment | TN Content (mg/g, Dry Weight) | |||||||
|---|---|---|---|---|---|---|---|---|
| Initial | 1st Harvest | 2nd Harvest | 3rd Harvest | |||||
| Roots | Shoots | Fruit | Shoots | Shoots | Roots | Shoots | Fruit | |
| T. natans | 15.81 | 31.85 | 10.00 | 22.30 | 15.62 | 11.23 | 11.50 | 7.06 |
| L. adscendens | 31.42 | 18.23 | 11.30 | 10.56 | 6.32 | |||
| Treatment | TP Content (mg/g, Dry Weight) | |||||||
|---|---|---|---|---|---|---|---|---|
| Initial | 1st harvest | 2nd harvest | 3rd harvest | |||||
| Roots | Shoot | Fruit | Shoots | Shoots | Roots | Shoots | Fruit | |
| T. natans | 2.15 | 2.99 | 3.80 | 2.80 | 2.64 | 1.88 | 2.45 | 3.22 |
| L. adscendens | 3.10 | 2.90 | 2.40 | 2.36 | 1.85 | |||
© 2020 by the authors. Licensee MDPI, Basel, Switzerland. This article is an open access article distributed under the terms and conditions of the Creative Commons Attribution (CC BY) license (http://creativecommons.org/licenses/by/4.0/).
Share and Cite
Xu, L.; Cheng, S.; Zhuang, P.; Xie, D.; Li, S.; Liu, D.; Li, Z.; Wang, F.; Xing, F. Assessment of the Nutrient Removal Potential of Floating Native and Exotic Aquatic Macrophytes Cultured in Swine Manure Wastewater. Int. J. Environ. Res. Public Health 2020, 17, 1103. https://doi.org/10.3390/ijerph17031103
Xu L, Cheng S, Zhuang P, Xie D, Li S, Liu D, Li Z, Wang F, Xing F. Assessment of the Nutrient Removal Potential of Floating Native and Exotic Aquatic Macrophytes Cultured in Swine Manure Wastewater. International Journal of Environmental Research and Public Health. 2020; 17(3):1103. https://doi.org/10.3390/ijerph17031103
Chicago/Turabian StyleXu, Lei, Siyu Cheng, Ping Zhuang, Dongsheng Xie, Shiyu Li, Dongming Liu, Zhian Li, Faguo Wang, and Fuwu Xing. 2020. "Assessment of the Nutrient Removal Potential of Floating Native and Exotic Aquatic Macrophytes Cultured in Swine Manure Wastewater" International Journal of Environmental Research and Public Health 17, no. 3: 1103. https://doi.org/10.3390/ijerph17031103
APA StyleXu, L., Cheng, S., Zhuang, P., Xie, D., Li, S., Liu, D., Li, Z., Wang, F., & Xing, F. (2020). Assessment of the Nutrient Removal Potential of Floating Native and Exotic Aquatic Macrophytes Cultured in Swine Manure Wastewater. International Journal of Environmental Research and Public Health, 17(3), 1103. https://doi.org/10.3390/ijerph17031103

