Multi- and Single-Joint Resistance Exercises Promote Similar Plantar Flexor Activation in Resistance Trained Men
Abstract
1. Introduction
2. Materials and Methods
2.1. Experimental Approach
2.2. Participants
2.3. 10-Repetition Maximum (10RM) Testing
2.4. Exercise Testing
2.5. Electromyography
2.6. Statistical Analysis
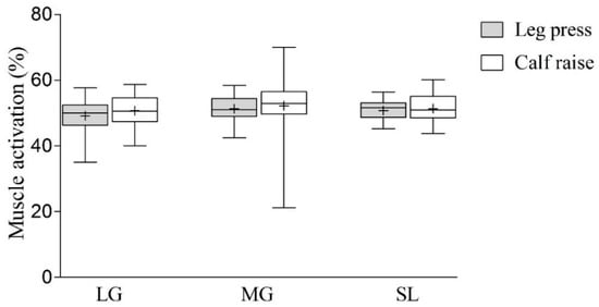
3. Results
4. Discussion
Author Contributions
Funding
Conflicts of Interest
References
- Garber, C.E.; Blissmer, B.; Deschenes, M.R.; Franklin, B.A.; Lamonte, M.J.; Lee, I.M.; Nieman, D.C.; Swain, D.P. Quantity and quality of exercise for developing and maintaining cardiorespiratory, musculoskeletal, and neuromotor fitness in apparently healthy adults: Guidance for prescribing exercise. Med. Sci. Sports Exerc. 2011, 43, 1334–1359. [Google Scholar] [CrossRef]
- Steele, J.; Fisher, J.; Skivington, M.; Dunn, C.; Arnold, J.; Tew, G.; Batterham, A.M.; Nunan, D.; O’Driscoll, J.M.; Mann, S.; et al. A higher effort-based paradigm in physical activity and exercise for public health: Making the case for a greater emphasis on resistance training. BMC Public Health 2017, 17. [Google Scholar] [CrossRef]
- Martyn-St James, M.; Carroll, S. High-intensity resistance training and postmenopausal bone loss: A meta-analysis. Osteoporos. Int. 2006, 17, 1225–1240. [Google Scholar] [CrossRef]
- Souza, D.; Barbalho, M.; Ramirez-Campillo, R.; Martins, W.; Gentil, P. High and low-load resistance training produce similar effects on bone mineral density of middle-aged and older people: A systematic review with meta-analysis of randomized clinical trials. Exp. Gerontol. 2020, 138, 110973. [Google Scholar] [CrossRef]
- Carpenter, D.M.; Nelson, B.W. Low back strengthening for the prevention and treatment of low back pain. Med. Sci. Sports Exerc. 1999, 31, 18–24. [Google Scholar] [CrossRef] [PubMed]
- Fiatarone, M.A.; Marks, E.C.; Ryan, N.D.; Meredith, C.N.; Lipsitz, L.A.; Evans, W.J. High-intensity strength training in nonagenarians. Effects on skeletal muscle. JAMA 1990, 263, 3029–3034. [Google Scholar] [CrossRef] [PubMed]
- Barbalho, M.D.S.M.; Gentil, P.; Izquierdo, M.; Fisher, J.; Steele, J.; Raiol, R.D.A. There are no no-responders to low or high resistance training volumes among older women. Exp. Gerontol. 2017, 99, 18–26. [Google Scholar] [CrossRef] [PubMed]
- Souza, D.; Barbalho, M.; Vieira, C.A.; Martins, W.R.; Cadore, E.L.; Gentil, P. Minimal dose resistance training with elastic tubes promotes functional and cardiovascular benefits to older women. Exp. Gerontol. 2018, 115, 132–138. [Google Scholar] [CrossRef]
- Hornberger, T.A. Mechanotransduction and the regulation of mTORC1 signaling in skeletal muscle. Int. J. Biochem. Cell Biol. 2011, 43, 1267–1276. [Google Scholar] [CrossRef]
- Maestroni, L.; Read, P.; Bishop, C.; Papadopoulos, K.; Suchomel, T.J.; Comfort, P.; Turner, A. The Benefits of Strength Training on Musculoskeletal System Health: Practical Applications for Interdisciplinary Care. Sports Med. 2020, 50, 1431–1450. [Google Scholar] [CrossRef]
- Jenkins, N.D.M.; Housh, T.J.; Bergstrom, H.C.; Cochrane, K.C.; Hill, E.C.; Smith, C.M.; Johnson, G.O.; Schmidt, R.J.; Cramer, J.T. Muscle activation during three sets to failure at 80 vs. 30% 1RM resistance exercise. Eur. J. Appl. Physiol. 2015, 115, 2335–2347. [Google Scholar] [CrossRef] [PubMed]
- Miranda, H.; Maia, M.; de Oliveira, C.G.; Farias, D.; da Silva, J.B.; Lima, V.P.; Willardson, J.M.; Paz, G.A. Myoeletric indices of fatigue adopting different rest intervals during leg press sets. J. Bodyw. Mov. Ther. 2018, 22, 178–183. [Google Scholar] [CrossRef]
- Ebben, W.P. Hamstring activation during lower body resistance training exercises. Int. J. Sports Physiol. Perform. 2009, 4, 84–96. [Google Scholar] [CrossRef] [PubMed]
- Gentil, P.; Fisher, J.; Steele, J. A Review of the Acute Effects and Long-Term Adaptations of Single- and Multi-Joint Exercises during Resistance Training. Sports Med. 2017, 47, 843–855. [Google Scholar] [CrossRef] [PubMed]
- Welsch, E.A.; Bird, M.; Mayhew, J.L. Electromyographic activity of the pectoralis major and anterior deltoid muscles during three upper-body lifts. J. Strength Cond. Res. 2005, 19, 449–452. [Google Scholar] [CrossRef]
- Rocha, V.D.A., Jr.; Gentil, P.; Oliveira, E.; Do Carmo, J. Comparison among the EMG activity of the pectoralis major, anterior deltoidis and triceps brachii during the bench press and peck deck exercises. Rev. Bras. Med. Esporte 2007, 13, 51–54. [Google Scholar]
- Gentil, P.; Soares, S.; Bottaro, M. Single vs. Multi-Joint Resistance Exercises: Effects on Muscle Strength and Hypertrophy. Asian J. Sports Med. 2015, 6, e24057. [Google Scholar] [CrossRef]
- Paoli, A.; Gentil, P.; Moro, T.; Marcolin, G.; Bianco, A. Resistance training with single vs. multi-joint exercises at equal total load volume: Effects on body composition, cardiorespiratory fitness, and muscle strength. Front. Physiol. 2017, 8, 1–6. [Google Scholar] [CrossRef]
- Gentil, P.; Soares, S.R.S.; Pereira, M.C.; da Cunha, R.R.; Martorelli, S.S.; Martorelli, A.S.; Bottaro, M. Effect of adding single-joint exercises to a multi-joint exercise resistance-training program on strength and hypertrophy in untrained subjects. Appl. Physiol. Nutr. Metab. 2013, 38, 341–344. [Google Scholar] [CrossRef]
- de França, H.S.; Branco, P.A.N.; Guedes Junior, D.P.; Gentil, P.; Steele, J.; Teixeira, C.V.L.S. The Effects of Adding Single-Joint Exercises To a Multi-Joint Exercise Resistance Training Program on Upper Body Muscle Strength and Size in Trained Men. Appl. Physiol. Nutr. Metab. 2015, 826, 150409143403004. [Google Scholar] [CrossRef]
- Steele, J.; Coswig, V.S.; Fisher, J.P.; Raiol, R.; Paoli, A.; Gentil, P.; Bianco, A.; Barbalho, M. Does the addition of single joint exercises to a resistance training program improve changes in performance and anthropometric measures in untrained men? Eur. J. Transl. Myol. 2018, 28. [Google Scholar] [CrossRef]
- Fisher, J.; Steele, J.; Raiol, R.; Gentil, P.; Barbalho, M.; Coswig, V. Influence of Adding Single-Joint Exercise to a Multijoint Resistance Training Program in Untrained Young Women. J. Strength Cond. Res. 2018, 1. [Google Scholar] [CrossRef]
- Barbalho, M.; Coswig, V.; Raiol, R.; Fisher, J.; Steele, J.; Bianco, A.; Gentil, P. Single joint exercises do not provide benefits in performance and anthropometric changes in recreational bodybuilders. Eur. J. Sport Sci. 2019, 1–8. [Google Scholar] [CrossRef] [PubMed]
- Barbalho, M.; Coswig, V.; Raiol, R.; Steele, J.; Fisher, J.; Paoli, A.; Gentil, P. Effects of Adding Single Joint Exercises to a Resistance Training Programme in Trained Women. Sports 2018, 6, 160. [Google Scholar] [CrossRef] [PubMed]
- Wilk, K.E.; Escamilla, R.F.; Fleisig, G.S.; Barrentine, S.W.; Andrews, J.R.; Boyd, M.L. A comparison of tibiofemoral joint forces and electromyographic activity during open and closed kinetic chain exercises. Am. J. Sports Med. 1996, 24, 518–527. [Google Scholar] [CrossRef]
- Signorile, J.F.; Weber, B.; Roll, B.; Caruso, J.F.; Lowensteyn, I.; Perry, A.C. An Electromyographical Comparison of the Squat and Knee Extension Exercises. J. Strength Cond. Res. 1994, 8, 178–183. [Google Scholar] [CrossRef]
- Barbalho, M.; Coswig, V.; Souza, D.; Serrão, J.C.; Campos, M.H.; Gentil, P. Back Squat vs. Hip Thrust Resistance-training Programs in Well-trained Women. Int. J. Sports Med. 2020. [Google Scholar] [CrossRef]
- Bryanton, M.A.; Kennedy, M.D.; Carey, J.P.; Chiu, L.Z. Effect of Squat Depth and Barbell Load on Relative Muscular Effort in Squatting. J. Strength Cond. Res. 2012. [Google Scholar] [CrossRef]
- Escamilla, R.F.; Fleisig, G.S.; Zheng, N.; Lander, J.E.; Barrentine, S.W.; Andrews, J.R.; Bergemann, B.W.; Moorman, C.T., 3rd. Effects of technique variations on knee biomechanics during the squat and leg press. Med. Sci. Sports Exerc. 2001, 33, 1552–1566. [Google Scholar] [CrossRef]
- Kohiruimaki, R.; Maeo, S.; Kanehisa, H. Suspended Push-up Training Augments Size of not only Upper Limb but also Abdominal Muscles. Int. J. Sports Med. 2019, 40, 789–795. [Google Scholar] [CrossRef]
- Rennie, M.J.; Wackerhage, H.; Spangenburg, E.E.; Booth, F.W. Control of the Size of the Human Muscle Mass. Annu. Rev. Physiol. 2004, 66, 799–828. [Google Scholar] [CrossRef] [PubMed]
- Counts, B.R.; Buckner, S.L.; Dankel, S.J.; Jessee, M.B.; Mattocks, K.T.; Mouser, J.G.; Laurentino, G.C.; Loenneke, J.P. The acute and chronic effects of “NO LOAD” resistance training. Physiol. Behav. 2016, 164, 345–352. [Google Scholar] [CrossRef] [PubMed]
- Rudroff, T.; Staudenmann, D.; Enoka, R.M. Electromyographic measures of muscle activation and changes in muscle architecture of human elbow flexors during fatiguing contractions. J. Appl. Physiol. 2008, 104, 1720–1726. [Google Scholar] [CrossRef]
- Farup, J.; de Paoli, F.; Bjerg, K.; Riis, S.; Ringgard, S.; Vissing, K. Blood flow restricted and traditional resistance training performed to fatigue produce equal muscle hypertrophy. Scand. J. Med. Sci. Sports 2015. [Google Scholar] [CrossRef]
- Yasuda, T.; Loenneke, J.P.; Thiebaud, R.S.; Abe, T. Effects of Blood Flow Restricted Low-Intensity Concentric or Eccentric Training on Muscle Size and Strength. PLoS ONE 2012, 7, 1–7. [Google Scholar] [CrossRef] [PubMed]
- Orr, L.; Klement, K.A.; McCrossin, L.; Drombolis, D.O.; Houghton, P.E.; Spaulding, S.; Burke, S. A systematic review and meta-Analysis of exercise intervention for the treatment of calf muscle pump impairment in individuals with chronic venous insufficiency. Ostomy Wound Manag. 2017, 63, 30–43. [Google Scholar] [CrossRef]
- Orsted, H.L.; Radke, L.; Gorst, R. The impact of musculoskeletal changes on the dynamics of the calf muscle pump. Ostomy. Wound. Manag. 2001, 47, 18–24. [Google Scholar]
- Brorsson, A.; Grävare Silbernagel, K.; Olsson, N.; Nilsson Helander, K. Calf Muscle Performance Deficits Remain 7 Years After an Achilles Tendon Rupture. Am. J. Sports Med. 2018, 46, 470–477. [Google Scholar] [CrossRef]
- Convertino, V.A.; Doerr, D.F.; Stein, S.L. Changes in size and compliance of the calf after 30 days of simulated microgravity. J. Appl. Physiol. 1989, 66, 1509–1512. [Google Scholar] [CrossRef]
- Cattagni, T.; Scaglioni, G.; Laroche, D.; Van Hoecke, J.; Gremeaux, V.; Martin, A. Ankle muscle strength discriminates fallers from non-fallers. Front. Aging Neurosci. 2014, 6. [Google Scholar] [CrossRef]
- Spink, M.J.; Fotoohabadi, M.R.; Wee, E.; Hill, K.D.; Lord, S.R.; Menz, H.B. Foot and ankle strength, range of motion, posture, and deformity are associated with balance and functional ability in older adults. Arch. Phys. Med. Rehabil. 2011, 92, 68–75. [Google Scholar] [CrossRef] [PubMed]
- Gatz, M.; Betsch, M.; Dirrichs, T.; Schrading, S.; Tingart, M.; Michalik, R.; Quack, V. Eccentric and Isometric Exercises in Achilles Tendinopathy Evaluated by the VISA-A Score and Shear Wave Elastography. Sports Health 2020, 12, 373–381. [Google Scholar] [CrossRef] [PubMed]
- National Strength and Conditioning Association. Exercise Technique Manual for Resistance Training; Human Kinetics, Inc.: Champaign, IL, USA, 2016; ISBN 9781492506928. [Google Scholar]
- Gentil, P.; Marques, V.A.; Neto, J.P.P.; Santos, A.C.G.; Steele, J.; Fisher, J.P.; Paoli, A.; Bottaro, M. Using velocity loss for monitoring resistance training effort in a real world setting. Appl. Physiol. Nutr. Metab. 2018. [Google Scholar] [CrossRef] [PubMed]
- Hopkins, W.G.; Marshall, S.W.; Batterham, A.M.; Hanin, J. Progressive statistics for studies in sports medicine and exercise science. Med. Sci. Sports Exerc. 2009, 41, 3–12. [Google Scholar] [CrossRef] [PubMed]
- Forte, P.; Marinho, D.A.; Nikolaidis, P.T.; Knechtle, B.; Barbosa, T.M.; Morais, J.E. Analysis of cyclist’s drag on the aero position using numerical simulations and analytical procedures: A case study. Int. J. Environ. Res. Public Health 2020, 17, 3430. [Google Scholar] [CrossRef] [PubMed]
- Brzycki, M. Strength Testing—Predicting a One-Rep Max from Reps-to-Fatigue. J. Phys. Educ. Recreat. Danc. 1993, 64, 88–90. [Google Scholar] [CrossRef]
- Da Silva, E.M.; Brentano, M.A.; Cadore, E.L.; De Almeida, A.P.V.; Kruel, L.F.M. Analysis of muscle activation during different leg press exercises at submaximum effort levels. J. Strength Cond. Res. 2008, 22, 1059–1065. [Google Scholar] [CrossRef]
- Lombard, W.P. The Action of Two-Joint Muscles. Am. Phys. Educ. Rev. 1903, 8, 141–145. [Google Scholar] [CrossRef]
- Sherbondy, P.S.; Queale, W.S.; McFarland, E.G.; Mizuno, Y.; Cosgarea, A.J. Soleus and gastrocnemius muscle loading decreases anterior tibial translation in anterior cruciate ligament intact and deficient knees. J. Knee Surg. 2003, 16, 152–158. [Google Scholar]
- Babault, N.; Pousson, M.; Ballay, Y.; Van Hoecke, J. Activation of human quadriceps femoris during isometric, concentric, and eccentric contractions. J. Appl. Physiol. 2001, 91, 2628–2634. [Google Scholar] [CrossRef]
- Goncalves, A.; Gentil, P.; Steele, J.; Giessing, J.; Pauli, A.; Fisher, J.P. Comparison of single- and multi-joint lower body resistance training upon strength increases in recreationally active males and females: A within-participant unilateral training study. Eur. J. Transl. Myol. 2019, 29, 304–308. [Google Scholar] [CrossRef] [PubMed]
- Popov, D.V.; Tsvirkun, D.V.; Netreba, A.I.; Tarasova, O.S.; Prostova, A.B.; Larina, I.M.; Borovik, A.S.; Vinogradova, O.L.; Swirkun, D.V.; Netreba, A.I.; et al. Hormonal adaptation determines the increase in muscle mass and strength during low-intensity strength training without relaxation. Hum. Physiol. 2006, 32, 121–127. [Google Scholar] [CrossRef]
- Yasuda, T.; Fukumura, K.; Fukuda, T.; Uchida, Y.; Iida, H.; Meguro, M.; Sato, Y.; Yamasoba, T.; Nakajima, T. Muscle size and arterial stiffness after blood flow-restricted low-intensity resistance training in older adults. Scand. J. Med. Sci. Sports 2014, 24, 799–806. [Google Scholar] [CrossRef] [PubMed]
- Vigotsky, A.D.; Beardsley, C.; Contreras, B.; Steele, J.; Ogborn, D.; Phillips, S.M. Greater Electromyographic Responses Do Not Imply Greater Motor Unit Recruitment and ‘Hypertrophic Potential’ Cannot Be Inferred. J. Strength Cond. Res. 2017, 31, e1–e4. [Google Scholar] [CrossRef]




| Variables | Mean ± Standard Deviation |
|---|---|
| Age (years) | 27.1 ± 3.6 |
| Weight (kg) | 82.7 ± 6.6 |
| Height (cm) | 177.5 ± 5.2 |
| Resistance training experience (years) | 3.6 ± 1.4 |
Publisher’s Note: MDPI stays neutral with regard to jurisdictional claims in published maps and institutional affiliations. |
© 2020 by the authors. Licensee MDPI, Basel, Switzerland. This article is an open access article distributed under the terms and conditions of the Creative Commons Attribution (CC BY) license (http://creativecommons.org/licenses/by/4.0/).
Share and Cite
Gentil, P.; Souza, D.; Santana, M.; Alves, R.R.; Campos, M.H.; Pinto, R.; Bottaro, M. Multi- and Single-Joint Resistance Exercises Promote Similar Plantar Flexor Activation in Resistance Trained Men. Int. J. Environ. Res. Public Health 2020, 17, 9487. https://doi.org/10.3390/ijerph17249487
Gentil P, Souza D, Santana M, Alves RR, Campos MH, Pinto R, Bottaro M. Multi- and Single-Joint Resistance Exercises Promote Similar Plantar Flexor Activation in Resistance Trained Men. International Journal of Environmental Research and Public Health. 2020; 17(24):9487. https://doi.org/10.3390/ijerph17249487
Chicago/Turabian StyleGentil, Paulo, Daniel Souza, Murillo Santana, Rafael Ribeiro Alves, Mário Hebling Campos, Ronei Pinto, and Martim Bottaro. 2020. "Multi- and Single-Joint Resistance Exercises Promote Similar Plantar Flexor Activation in Resistance Trained Men" International Journal of Environmental Research and Public Health 17, no. 24: 9487. https://doi.org/10.3390/ijerph17249487
APA StyleGentil, P., Souza, D., Santana, M., Alves, R. R., Campos, M. H., Pinto, R., & Bottaro, M. (2020). Multi- and Single-Joint Resistance Exercises Promote Similar Plantar Flexor Activation in Resistance Trained Men. International Journal of Environmental Research and Public Health, 17(24), 9487. https://doi.org/10.3390/ijerph17249487

