Using an e-Health Intervention to Reduce Prolonged Sitting in UK Office Workers: A Randomised Acceptability and Feasibility Study
Abstract
1. Introduction
2. Materials and Methods
2.1. Participants
2.2. Study Design and Procedures
2.3. e-Health Intervention
e-Health Software Data Analysis
2.4. Primary Outcomes: Acceptability and Feasibility
2.5. Secondary Outcomes: Sitting, Standing and Stepping Time
2.6. Secondary Outcomes: Vascular Function, Cerebrovascular Function, Mood and Work Productivity
2.6.1. Anthropometry: Stature and Body Mass
2.6.2. Vascular Function
2.6.3. Cerebrovascular Function
2.6.4. Mood
2.6.5. Work Performance: Health and Work Questionnaire
2.7. Qualitative Analyses
2.8. Data Analyses
3. Results
3.1. Feasibility
3.2. Acceptability
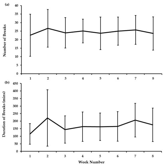
3.3. e-Health Software Usage
3.4. Sitting, Standing and Stepping Time
3.5. Vascular Function
3.6. Cerebrovascular Function
3.7. Mood and Work Productivity
4. Discussion
Strengths and Limitations
5. Conclusions
Supplementary Materials
Author Contributions
Funding
Acknowledgments
Conflicts of Interest
References
- Parry, S.; Straker, L. The contribution of office work to sedentary behaviour associated risk. BMC Public Health 2013, 13, 296. [Google Scholar] [CrossRef] [PubMed]
- Ryan, C.G.; Dall, P.M.; Granat, M.H.; Grant, P.M. Sitting patterns at work: Objective measurement of adherence to current recommendations. Ergonomics 2011, 54, 531–538. [Google Scholar] [CrossRef]
- Young, D.R.; Hivert, M.-F.; Alhassan, S.; Camhi, S.M.; Ferguson, J.F.; Katzmarzyk, P.T.; Lewis, C.E.; Owen, N.; Perry, C.K.; Siddique, J.; et al. Sedentary behavior and cardiovascular morbidity and mortality: A science advisory from the American Heart Association. Circulation 2016, 134, e262–e279. [Google Scholar] [CrossRef] [PubMed]
- Buckley, J.P.; Hedge, A.; Yates, T.; Copeland, R.J.; Loosemore, M.; Hamer, M.; Bradley, G.; Dunstan, D.W. The sedentary office: An expert statement on the growing case for change towards better health and productivity. Br. J. Sports Med. 2015, 49, 1357–1362. [Google Scholar] [CrossRef]
- Stamatakis, E.; Ekelund, U.; Ding, D.; Hamer, M.; Bauman, A.E.; Lee, I.-M. Is the time right for quantitative public health guidelines on sitting? A narrative review of sedentary behaviour research paradigms and findings. Br. J. Sports Med. 2018, 53, 377–382. [Google Scholar] [CrossRef]
- Shrestha, N.; Kukkonen-Harjula, K.T.; Verbeek, J.H.; Ijaz, S.; Hermans, V.; Pedisic, Z. Workplace interventions for reducing sitting at work. Cochrane Database Syst. Rev. 2018, 6, CD010912. [Google Scholar] [CrossRef]
- Neuhaus, M.; Eakin, E.G.; Straker, L.; Owen, N.; Dunstan, D.W.; Reid, N.; Healy, G.N. Reducing occupational sedentary time: A systematic review and meta-analysis of evidence on activity-permissive workstations. Obes. Rev. 2014, 15, 822–838. [Google Scholar] [CrossRef]
- Stephenson, A.; McDonough, S.M.; Murphy, M.H.; Nugent, C.D.; Mair, J.L. Using computer, mobile and wearable technology enhanced interventions to reduce sedentary behaviour: A systematic review and meta-analysis. Int. J. Behav. Nutr. Phys. Act. 2017, 14, 105. [Google Scholar] [CrossRef]
- Mainsbridge, C.P.; Cooley, P.D.; Fraser, S.P.; Pedersen, S.J. The effect of an e-health intervention designed to reduce prolonged occupational sitting on mean arterial pressure. J. Occup. Environ. Med. 2014, 56, 1189–1194. [Google Scholar] [CrossRef]
- Mainsbridge, C.P.; Cooley, D.; Fraser, S.P.; Pedersen, S.J. A workplace intervention designed to interrupt prolonged occupational sitting. Int. J. Workplace Health Manag. 2016, 9, 221–237. [Google Scholar] [CrossRef]
- Pedersen, S.J.; Cooley, P.D.; Mainsbridge, C. An e-health intervention designed to increase workday energy expenditure by reducing prolonged occupational sitting habits. Work 2014, 49, 289–295. [Google Scholar] [CrossRef] [PubMed]
- Evans, R.E.; Fawole, H.O.; Sheriff, S.A.; Dall, P.M.; Grant, P.M.; Ryan, C.G. Point-of-choice prompts to reduce sitting time at work: A randomized trial. Am. J. Prev. Med. 2012, 43, 293–297. [Google Scholar] [CrossRef] [PubMed]
- Urda, J.L.; Lynn, J.S.; Gorman, A.; Larouere, B. Effects of a minimal workplace intervention to reduce sedentary behaviors and improve perceived wellness in middle-aged women office workers. J. Phys. Act. Health 2016, 13, 838–844. [Google Scholar] [CrossRef]
- Healy, G.N.; Winkler, E.A.H.; Eakin, E.G.; Owen, N.; Lamontagne, A.D.; Moodie, M.; Dunstan, D.W. A Cluster RCT to Reduce Workers’ Sitting Time. Med. Sci. Sport. Exerc. 2017, 49, 2032–2039. [Google Scholar] [CrossRef]
- Mainsbridge, C.; Ahuja, K.; Williams, A.; Bird, M.L.; Cooley, D.; Pedersen, S.J. Blood pressure response to interrupting workplace sitting time with non-exercise physical activity results of a 12-month cohort study. J. Occup. Environ. Med. 2018, 60, 769–774. [Google Scholar] [CrossRef] [PubMed]
- Smith, L.; Pedersen, S.; Cooley, D. The effect of education on compliance to a workplace health and wellbeing intervention: Closing the loop. Univ. J. Public Health 2013, 1, 97–102. [Google Scholar] [CrossRef]
- Graves, L.E.F.; Murphy, R.C.; Shepherd, S.O.; Cabot, J.; Hopkins, N.D. Evaluation of sit-stand workstations in an office setting: A randomised controlled trial. BMC Public Health 2015, 15, 1145. [Google Scholar] [CrossRef] [PubMed]
- Morris, A.S.; Murphy, R.C.; Shepherd, S.O.; Healy, G.N.; Edwardson, C.L.; Graves, L.E.F. A multi-component intervention to sit less and move more in a contact centre setting: A feasibility study. BMC Public Health 2019, 19, 292. [Google Scholar] [CrossRef] [PubMed]
- Gardner, B.; Lally, P.; Wardle, J. Making health habitual: The psychology of “habit-formation” and general practice. Br. J. Gen. Pract. 2012, 62, 664–666. [Google Scholar] [CrossRef]
- Carter, S.E.; Draijer, R.; Holder, S.M.; Brown, L.; Thijssen, D.H.J.; Hopkins, N.D. Regular walking breaks prevent the decline in cerebral blood flow associated with prolonged sitting. J. Appl. Physiol. 2018, 125, 790–798. [Google Scholar] [CrossRef]
- Thosar, S.S.; Bielko, S.L.; Mather, K.J.; Johnston, J.D.; Wallace, J.P. Effect of prolonged sitting and breaks in sitting time on endothelial function. Med. Sci. Sports Exerc. 2015, 47, 843–849. [Google Scholar] [CrossRef] [PubMed]
- Cooley, D.; Pedersen, S. A pilot study of increasing nonpurposeful movement breaks at work as a means of reducing prolonged sitting. J. Environ. Public Health 2013, 2013, 128376. [Google Scholar] [CrossRef] [PubMed]
- Krueger, R.; Casey, M. Designing and conducting focus group interviews. In Social Analysis Selected Tools and Techniques; Social Development Department, The World Bank: Washington, DC, USA, 2002. [Google Scholar]
- Kitzinger, J. The methodology of focus groups: The importance of interaction between research participants. Sociol. Health Illn. 1994, 16, 103–121. [Google Scholar] [CrossRef]
- Edwardson, C.L.; Winkler, E.A.H.; Bodicoat, D.H.; Yates, T.; Davies, M.J.; Dunstan, D.W.; Healy, G.N. Considerations when using the activPAL monitor in field based research with adult populations. J. Sport Health Sci. 2016, 13–24. [Google Scholar] [CrossRef]
- Grant, P.M.; Ryan, C.G.; Tigbe, W.W.; Granat, M.H. The validation of a novel activity monitor in the measurement of posture and motion during everyday activities. Br. J. Sports Med. 2006, 40, 992–997. [Google Scholar] [CrossRef]
- Ryan, C.G.; Grant, P.M.; Tigbe, W.W.; Granat, M.H. The validity and reliability of a novel activity monitor as a measure of walking. Br. J. Sports Med. 2006, 40, 779–784. [Google Scholar] [CrossRef]
- Winkler, E.A.H.; Bodicoat, D.H.; Healy, G.N.; Bakrania, K.; Yates, T.; Owen, N.; Dunstan, D.W.; Edwardson, C.L. Identifying adults’ valid waking wear time by automated estimation in activPAL data collected with a 24 h wear protocol. Physiol. Meas. 2016, 37, 1653–1668. [Google Scholar] [CrossRef]
- Healy, G.N.; Eakin, E.G.; Owen, N.; Lamontagne, A.D.; Moodie, M.; Winkler, E.A.H.; Fjeldsoe, B.S.; Wiesner, G.; Willenberg, L.; Dunstan, D.W. A Cluster Randomized Controlled Trial to Reduce Office Workers’ Sitting Time. Med. Sci. Sport. Exerc. 2016, 48, 1787–1797. [Google Scholar] [CrossRef]
- Edwardson, C.L.; Yates, T.; Biddle, S.J.H.; Davies, M.J.; Dunstan, D.W.; Esliger, D.W.; Gray, L.J.; Jackson, B.; O’Connell, S.E.; Waheed, G.; et al. Effectiveness of the stand more at (SMArT) work intervention: Cluster randomised controlled trial. BMJ 2018, 363, k3870. [Google Scholar] [CrossRef]
- Inaba, Y.; Chen, J.A.; Bergmann, S.R. Prediction of future cardiovascular outcomes by flow-mediated vasodilatation of brachial artery: A meta-analysis. Int. J. Cardiovasc. Imaging 2010, 26, 631–640. [Google Scholar] [CrossRef]
- Thijssen, D.H.J.; Bruno, R.M.; van Mil, A.C.C.M.; Holder, S.M.; Faita, F.; Greyling, A.; Zock, P.L.; Taddei, S.; Deanfield, J.E.; Luscher, T.; et al. Expert consensus and evidence-based recommendations for the assessment of flow-mediated dilation in humans. Eur. Heart J. 2019, 40, 2534–2547. [Google Scholar] [CrossRef] [PubMed]
- Carter, S.E.; Draijer, R.; Holder, S.M.; Brown, L.; Thijssen, D.H.J.; Hopkins, N.D. Effect of different walking break strategies on superficial femoral artery endothelial function. Physiol. Rep. 2019, 7, 1–11. [Google Scholar] [CrossRef]
- Black, M.A.; Cable, N.T.; Thijssen, D.H.J.; Green, D.J. Importance of measuring the time course of flow-mediated dilatation in humans. Hypertension 2008, 51, 203–210. [Google Scholar] [CrossRef] [PubMed]
- Willie, C.K.; Tzeng, Y.-C.; Fisher, J.A.; Ainslie, P.N. Integrative regulation of human brain blood flow. J. Physiol. 2014, 592, 841–859. [Google Scholar] [CrossRef] [PubMed]
- Marshall, R.S.; Lazar, R.M.; Pile-Spellman, J.; Young, W.L.; Duong, D.H.; Joshi, S.; Ostapkovich, N. Recovery of brain function during induced cerebral hypoperfusion. Brain 2001, 124, 1208–1217. [Google Scholar] [CrossRef]
- Wolters, F.J.; Zonneveld, H.I.; Hofman, A.; Van Der Lugt, A.; Koudstaal, P.J.; Vernooij, M.W.; Ikram, M.A. Cerebral perfusion and the risk of dementia: A population-based study. Circulation 2017, 136, 719–728. [Google Scholar] [CrossRef]
- Gommer, E.D.; Martens, E.G.H.J.; Aalten, P.; Shijaku, E.; Verhey, F.R.J.; Mess, W.H.; Ramakers, I.H.G.B.; Reulen, J.P.H. Dynamic cerebral autoregulation in subjects with Alzheimer’s disease, mild cognitive impairment, and controls: Evidence for increased peripheral vascular resistance with possible predictive value. J. Alzheimer Dis. 2012, 30, 805–813. [Google Scholar] [CrossRef]
- Willie, C.K.; Colino, F.L.; Bailey, D.M.; Tzeng, Y.C.; Binsted, G.; Jones, L.W.; Haykowsky, M.J.; Bellapart, J.; Ogoh, S.; Smith, K.J.; et al. Utility of transcranial Doppler ultrasound for the integrative assessment of cerebrovascular function. J. Neurosci. Methods 2011, 196, 221–237. [Google Scholar] [CrossRef]
- Skow, R.J.; MacKay, C.M.; Tymko, M.M.; Willie, C.K.; Smith, K.J.; Ainslie, P.N.; Day, T.A. Differential cerebrovascular CO2 reactivity in anterior and posterior cerebral circulations. Respir. Physiol. Neurobiol. 2013, 189, 76–86. [Google Scholar] [CrossRef]
- Claassen, J.A.H.R.; Levine, B.D.; Zhang, R. Dynamic cerebral autoregulation during repeated squat-stand maneuvers. J. Appl. Physiol. 2009, 106, 153–160. [Google Scholar] [CrossRef]
- Claassen, J.A.H.R.; Meel-van den Abeelen, A.S.S.; Simpson, D.M.; Panerai, R.B. International Cerebral Autoregulation Research Network (CARNet) Transfer function analysis of dynamic cerebral autoregulation: A white paper from the International Cerebral Autoregulation Research Network. J. Cereb. Blood Flow Metab. 2016, 36, 665–680. [Google Scholar] [CrossRef] [PubMed]
- Phillips, A.A.; Chan, F.H.; Zheng, M.M.Z.; Krassioukov, A.V.; Ainslie, P.N. Neurovascular coupling in humans: Physiology, methodological advances and clinical implications. J. Cereb. Blood Flow Metab. 2016, 36, 647–664. [Google Scholar] [CrossRef] [PubMed]
- Novak, V.; Hajjar, I. The relationship between blood pressure and cognitive function. Nat. Rev. Cardiol. 2010, 7, 686–698. [Google Scholar] [CrossRef] [PubMed]
- Watson, D.; Clark, L.A.; Tellegen, A. Development and validation of brief measures of positive and negative affect: The PANAS scales. J. Pers. Soc. Psychol. 1988, 54, 1063–1070. [Google Scholar] [CrossRef] [PubMed]
- Shikiar, R.; Halpern, M.T.; Rentz, A.M.; Khan, Z.M. Development of the Health and Work Questionnaire (HWQ): An instrument for assessing workplace productivity in relation to worker health. Work 2004, 22, 219–229. [Google Scholar] [CrossRef]
- Braun, V.; Clarke, V. Using thematic analysis in psychology. Qual. Res. Psychol. 2006, 3, 77–101. [Google Scholar] [CrossRef]
- Braun, V.; Clarke, V. What can “thematic analysis” offer health and wellbeing researchers? Int. J. Qual. Stud. Health Well-Being 2014, 9, 9–10. [Google Scholar] [CrossRef]
- Shenton, A.K. Strategies for ensuring trustworthiness in qualitative research projects. Educ. Inf. 2004, 22, 63–75. [Google Scholar] [CrossRef]
- Vaismoradi, M.; Turunen, H.; Bondas, T. Content analysis and thematic analysis: Implications for conducting a qualitative descriptive study. Nurs. Health Sci. 2013, 15, 398–405. [Google Scholar] [CrossRef]
- Billingham, S.A.; Whitehead, A.L.; Julious, S.A. An audit of sample sizes for pilot and feasibility trials being undertaken in the United Kingdom registered in the United Kingdom Clinical Research Network database. BMC Med. Res. Methodol. 2013, 13, 1. [Google Scholar] [CrossRef]
- Arain, M.; Campbell, M.J.; Cooper, C.L.; Lancaster, G.A. What is a pilot or feasibility study? A review of current practice and editorial policy. BMC Med. Res. Methodol. 2010, 10, 1–7. [Google Scholar] [CrossRef]
- Tickle-Degnen, L. Nuts and bolts of conducting feasibility studies. Am. J. Occup. Ther. 2013, 67, 171–176. [Google Scholar] [CrossRef] [PubMed]
- Cohen, J. Statistical Power Analysis for the Behavioral Sciences, 2nd ed.; Lawrence Erlbaum Associate: Hillsdale, NJ, USA, 1988; ISBN ISBN 0805802835. [Google Scholar]
- Hargreaves, E.A.; Hayr, K.T.; Jenkins, M.; Perry, T.; Peddie, M. Interrupting sedentary time in the workplace using regular short activity breaks: Practicality from an employee perspective. J. Occup. Environ. Med. 2020, 62, 317–324. [Google Scholar] [CrossRef] [PubMed]
- O’dolan, C.; Grant, M.; Lawrence, M.; Dall, P. A randomised feasibility study to investigate the impact of education and the addition of prompts on the sedentary behaviour of office workers. Pilot Feasibility Stud. 2018, 4, 1–12. [Google Scholar] [CrossRef]
- Urda, J.L.; Larouere, B.; Verba, S.D.; Lynn, J.S. Comparison of subjective and objective measures of office workers’ sedentary time. Prev. Med. Rep. 2017, 8, 163–168. [Google Scholar] [CrossRef]
- Prince, S.A.; Elliott, C.G.; Scott, K.; Visintini, S.; Reed, J.L. Device-measured physical activity, sedentary behaviour and cardiometabolic health and fitness across occupational groups: A systematic review and meta-analysis. Int. J. Behav. Nutr. Phys. Act. 2019, 16, 30. [Google Scholar] [CrossRef]
- O’connell, S.E.; Griffiths, P.L.; Clemes, S.A. Seasonal variation in physical activity, sedentary behaviour and sleep in a sample of UK adults. Ann. Hum. Biol. 2014, 41, 1–8. [Google Scholar] [CrossRef]




| Mean ± SD or n(%) of Group | |
|---|---|
| Age (years) | 42.5 ± 10.0 |
| Body Mass (kg) | 76.8 ± 19.5 |
| Stature (cm) | 169.9 ± 9.5 |
| Body Mass Index (kg∙m−2) | 26.3 ± 4.4 |
| White British | 14 (100) |
| Married | 10 (71) |
| Job Category | |
| Clerical | 3 (21) |
| IT Services | 4 (29) |
| Research and Development | 2 (14) |
| Teaching Services/Support | 5 (36) |
| Time at Current Workplace | |
| <1 year | 1 (7) |
| 1–3 years | 5 (36) |
| >3 years | 8 (57) |
| Work Hours (per week) | 37 ± 8 |
| Work Hours (per day) | 8 ± 1 |
| Number of People in Office | |
| 0 | 2 (14) |
| 1–3 People | 3 (21) |
| >3 People | 9 (64) |
| Occupational Transport | |
| Car | 5 (36) |
| Train | 5 (36) |
| Bus | 3 (21) |
| Walk | 1 (7) |
Perceptions of the software
|
|
Types of break modalities
|
|
Impact on;
|
|
Maintenance of behaviour
|
|
| Control | Within-Group Differences | Intervention | Within-Group Differences | Between-Group Differences | Cohen’s d | |||
|---|---|---|---|---|---|---|---|---|
| PRE | Week 8 | PRE | Week 8 | |||||
| Sitting Time (min/8 h workday) | 318.3 ± 66.8 | 344.7 ± 43.2 | 26.3 ± 43.7 | 345.0 ± 37.6 | 333.1 ± 57.5 | −11.9 ± 43.2 | −38.2 ± 72.9 | 0.92 |
| Standing Time (min/8 h workday) | 108.4 ± 64.2 | 83.2 ± 34.7 | −24.6 ± 45.5 | 82.3 ± 36.0 | 93.5 ± 41.2 | 11.2 ± 38.5 | 35.8 ± 69.2 | 0.88 |
| Stepping Time (min/8 h workday) | 53.2 ± 14.8 | 51.5 ± 18.5 | −1.7 ± 16.5 | 52.7 ± 17.5 | 53.4 ± 24.6 | 0.7 ± 21.5 | 2.4 ± 22.4 | 0.13 |
| Sitting Time (% of work hours) | 66.6 ± 13.7 | 71.9 ± 8.6 | 5.3 ± 8.6 | 72.0 ± 7.8 | 69.6 ± 12.0 | −2.4 ± 9.4 | −7.7 ± 15.0 | 0.89 |
| Standing Time (% of work hours) | 22.4 ± 13.1 | 17.4 ± 7.0 | −4.9 ± 9.1 | 17.1 ± 7.4 | 19.4 ± 8.6 | 2.3 ± 8.2 | 7.2 ± 14.3 | 0.87 |
| Stepping Time (% of work hours) | 11.0 ± 3.1 | 10.6 ± 3.8 | −0.4 ± 3.3 | 10.9 ± 3.7 | 11.0 ± 5.1 | 0.1 ± 4.5 | 0.5 ± 4.7 | 0.13 |
| Sit-to-Stand Transitions (n/8 h workday) | 26 ± 8 | 24 ± 5 | −2 ± 5 | 26 ± 8 | 25 ± 5 | −1 ± 7 | 1 ± 7 | 0.17 |
| Step Count (n/8 h workday) | 5156 ± 1554 | 5176 ± 2039 | 20 ± 1725 | 5205 ± 1719 | 5149 ± 2646 | −56 ± 2316 | −76 ± 2333 | 0.04 |
| Control | Within-Group Differences | Intervention | Within-Group Differences | Between-Group Differences | Cohen’s d | |||
|---|---|---|---|---|---|---|---|---|
| PRE | Week 8 | PRE | Week 8 | |||||
| Sitting Bouts | ||||||||
| 0–30 min (n/8 h workday) | 22.4 ± 9.3 | 21.4 ± 6.3 | −1.0 ± 5.3 | 23.5 ± 9.5 | 21.3 ± 6.0 | −2.2 ± 7.3 | −1.2 ± 6.5 | 0.20 |
| 30–60 min (n/8 h workday) | 2.6 ± 1.2 | 2.7 ± 1.1 | 0.1 ± 1.3 | 2.2 ± 1.1 | 2.8 ± 1.4 | 0.6 ± 1.9 | 0.5 ± 2.4 | 0.32 |
| 60+ min (n/8 h workday) | 0.8 ± 0.9 | 0.9 ± 0.8 | 0.1 ± 0.8 | 1.0 ± 0.9 | 0.8 ± 0.6 | −0.2 ± 0.8 | −0.3 ± 1.0 | 0.39 |
| Total Time 0–30 min (hrs/8 h workday) | 2.5 ± 0.7 | 2.7 ± 0.8 | 0.2 ± 0.6 | 2.8 ± 1.0 | 2.6 ± 0.7 | −0.2 ± 0.8 | −0.4 ± 0.8 | 0.59 |
| Total Time 30–60 min (hrs/8 h workday) | 1.8 ± 0.8 | 1.9 ± 0.8 | 0.1 ± 1.0 | 1.6 ± 0.8 | 1.9 ± 0.9 | 0.3 ± 1.2 | 0.2 ± 1.6 | 0.19 |
| Total Time 60+ min (hrs/8 h workday) | 1.1 ± 1.3 | 1.2 ± 1.0 | 0.1 ± 1.1 | 1.3 ± 1.3 | 1.0 ± 0.8 | −0.3 ± 1.2 | −0.4 ± 1.5 | 0.18 |
| Standing Bouts | ||||||||
| 0–30 min (n/8 h workday) | 148.3 ± 54.8 | 139.9 ± 58.3 | −8.4 ± 31.9 | 138.3 ± 58.2 | 152.8 ± 64.2 | 14.5 ± 24.1 | 22.9 ± 50.8 | 0.84 |
| 30+ min (n/8 h workday) | 0.2 ± 0.5 | 0.0 ± 0.1 | −0.2 ± 0.4 | 0.0 ± 0.0 | 0.1 ± 0.2 | 0.1 ± 0.2 | 0.3 ± 0.6 | 0.99 |
| Total Time 0–30 min (hrs/8 h workday) | 1.7 ± 0.8 | 1.4 ± 0.6 | −0.3 ± 0.5 | 1.5 ± 0.7 | 1.5 ± 0.6 | 0.0 ± 0.7 | 0.3 ± 0.9 | 0.51 |
| Total Time 30+ min (hrs/8 h workday) | 0.2 ± 0.4 | 0.0 ± 0.1 | −0.2 ± 0.3 | 0.0 ± 0.0 | 0.1 ± 0.1 | 0.1 ± 0.1 | 0.3 ± 0.4 | 1.40 |
| Stepping Bouts | ||||||||
| 0–30 min (n/8 h workday) | 172.0 ± 67.6 | 157.1 ± 71.0 | −14.8 ± 40.8 | 161.6 ± 71.9 | 185.6 ± 94.7 | 24.0 ± 33.3 | 38.8 ± 51.2 | 1.08 |
| MVPA 0–10 min (n/8 h workday) | 195.1 ± 70.1 | 181.2 ± 82.6 | −13.9 ± 46.6 | 181.4 ± 77.6 | 209.8 ± 103.2 | 28.4 ± 29.4 | 42.3 ± 49.5 | 1.13 |
| MVPA 10+ min (n/8 h workday) | 0.1 ± 0.1 | 0.1 ± 0.2 | 0.0 ± 0.1 | 0.1 ± 0.3 | 0.0 ± 0.1 | −0.1 ± 0.3 | −0.1 ± 0.4 | 0.47 |
| Total Time 0–30 min (hrs/8 h workday) | 0.2 ± 0.1 | 0.2 ± 0.1 | 0.0 ± 0.0 | 0.2 ± 0.1 | 0.2 ± 0.1 | 0.0 ± 0.1 | 0.0 ± 0.1 | 0.00 |
| Total Time MVPA 0–10 min (hrs/8 h workday) | 0.6 ± 0.2 | 0.7 ± 0.3 | 0.1 ± 0.2 | 0.7 ± 0.2 | 0.7 ± 0.3 | 0.0 ± 0.3 | −0.1 ± 0.3 | 0.41 |
| Total Time MVPA 10+ min (hrs/8 h workday) | 0.0 ± 0.0 | 0.0 ± 0.0 | 0.0 ± 0.0 | 0.0 ± 0.1 | 0.0 ± 0.0 | 0.0 ± 0.1 | 0.0 ± 0.1 | 0.00 |
| Control | Within- Group Differences | Intervention | Within- Group Differences | Between- Group Differences | Cohen’s d | |||
|---|---|---|---|---|---|---|---|---|
| PRE | POST | PRE | POST | |||||
| Brachial Artery | ||||||||
| Baseline Diameter (cm) | 0.34 ± 0.09 | 0.34 ± 0.09 | 0.00 ± 0.02 | 0.36 ± 0.08 | 0.35 ± 0.09 | −0.01 ± 0.02 | −0.01 ± 0.03 | 0.52 |
| FMD (%) | 6.1 ± 3.6 | 7.3 ± 4.3 | 1.2 ± 3.4 | 6.5 ± 3.9 | 7.9 ± 4.5 | 1.4 ± 5.8 | 0.2 ± 6.2 | 0.04 |
| Absolute FMD (cm) | 0.02 ± 0.01 | 0.02 ± 0.01 | 0.00 ± 0.01 | 0.02 ± 0.01 | 0.03 ± 0.01 | 0.01 ± 0.02 | 0.01 ± 0.02 | 0.66 |
| SR AUC (s−1 × 103) | 23.58 ± 12.34 | 26.09 ± 9.06 | 2.50 ± 10.95 | 27.15 ± 16.07 | 26.18 ± 12.20 | −0.97 ± 18.86 | −3.48 ± 19.89 | 0.23 |
| Femoral Artery | ||||||||
| Baseline Diameter (cm) | 0.63 ± 0.15 | 0.61 ± 0.12 | −0.02 ± 0.05 | 0.62 ± 0.14 | 0.61 ± 0.15 | −0.01 ± 0.03 | 0.01 ± 0.06 | 0.25 |
| FMD (%) | 6.5 ± 2.7 | 5.9 ± 4.3 | −0.6 ± 4.4 | 5.3 ± 3.2 | 10.5 ± 6.3 | 5.2 ± 6.7 | 5.8 ± 6.9 | 1.06 |
| Absolute FMD (cm) | 0.04 ± 0.01 | 0.04 ± 0.02 | 0.00 ± 0.03 | 0.03 ± 0.02 | 0.06 ± 0.03 | 0.03 ± 0.04 | 0.03 ± 0.05 | 0.88 |
| SR AUC (s−1 × 103) | 19.27 ± 10.89 | 16.86 ± 5.89 | −2.41 ± 9.88 | 19.21 ± 12.26 | 20.16 ± 11.08 | 0.95 ± 12.42 | 3.37 ± 12.70 | 0.31 |
Publisher’s Note: MDPI stays neutral with regard to jurisdictional claims in published maps and institutional affiliations. |
© 2020 by the authors. Licensee MDPI, Basel, Switzerland. This article is an open access article distributed under the terms and conditions of the Creative Commons Attribution (CC BY) license (http://creativecommons.org/licenses/by/4.0/).
Share and Cite
Carter, S.E.; Draijer, R.; Maxwell, J.D.; Morris, A.S.; Pedersen, S.J.; Graves, L.E.F.; Thijssen, D.H.J.; Hopkins, N.D. Using an e-Health Intervention to Reduce Prolonged Sitting in UK Office Workers: A Randomised Acceptability and Feasibility Study. Int. J. Environ. Res. Public Health 2020, 17, 8942. https://doi.org/10.3390/ijerph17238942
Carter SE, Draijer R, Maxwell JD, Morris AS, Pedersen SJ, Graves LEF, Thijssen DHJ, Hopkins ND. Using an e-Health Intervention to Reduce Prolonged Sitting in UK Office Workers: A Randomised Acceptability and Feasibility Study. International Journal of Environmental Research and Public Health. 2020; 17(23):8942. https://doi.org/10.3390/ijerph17238942
Chicago/Turabian StyleCarter, Sophie E., Richard Draijer, Joseph D. Maxwell, Abigail S. Morris, Scott J. Pedersen, Lee E. F. Graves, Dick H. J. Thijssen, and Nicola D. Hopkins. 2020. "Using an e-Health Intervention to Reduce Prolonged Sitting in UK Office Workers: A Randomised Acceptability and Feasibility Study" International Journal of Environmental Research and Public Health 17, no. 23: 8942. https://doi.org/10.3390/ijerph17238942
APA StyleCarter, S. E., Draijer, R., Maxwell, J. D., Morris, A. S., Pedersen, S. J., Graves, L. E. F., Thijssen, D. H. J., & Hopkins, N. D. (2020). Using an e-Health Intervention to Reduce Prolonged Sitting in UK Office Workers: A Randomised Acceptability and Feasibility Study. International Journal of Environmental Research and Public Health, 17(23), 8942. https://doi.org/10.3390/ijerph17238942

