Comparative Analysis of User Exposure to the Electromagnetic Radiation Emitted by the Fourth and Fifth Generations of Wi-Fi Communication Devices
Abstract
1. Introduction
2. Materials and Methods
2.1. High Fidelity Measurement of the Wi-Fi Signal Levels in Air
- (1)
- RSSI and throughput values were averaged over 60 s (measurement duration). The RSSI value was observed to vary as much as +/−4 dB for the same network configuration and device positioning. Indoor propagation—characterized by multiple reflections, path-loss, scattering, and diffractions—made the real environment extremely unstable.
- (2)
- The positioning of the E field probe (tripod) with respect to DUT was done manually. The positions of both tripods visible in Figure 2 were kept constant. However, differences could occur as the measurement campaign was conducted during several days and the DUT was often removed for charging. The battery level of the DUT was always kept above 50%. A movement of about +/−0.5cm has to be considered.
- (3)
- The three orthogonal directions (Ox, Oy, and Oz) were measured sequentially and the Etot field values were calculated based on Equation (2). This was considered suitable as we estimated similar signal behavior during the total 3-min-long measurement (60 s/each direction).
- (4)
- The spectrum of both 2.4 GHz and 5 GHz bandwidths signals were checked at the beginning of each day in order to identify possible interferences. Based on our interference search, we appreciate that the measurements were conducted in a ‘quiet’ Wi-Fi area. However, short-term interference could not be eliminated. If present, the interferences were more likely to occur in the 2.4 GHz band as it is both more commonly used and has a wider coverage.
2.2. Modulation Role on the User’s Exposure Level in IEEE 802.11n and 802.11ac Networks
3. Results: Indicators of the Human Exposures in the Configured Experimental Scenarios
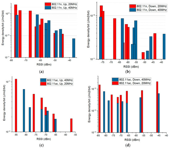
4. Modulation: A Significant Indicator of the User’s Exposure in 802.11n and 802.11ac Networks
5. Discussion
- (a)
- Higher E field strength values were also recorded for 802.11n network as compared to those obtained in the case of the 802.11ac network in some of our previous findings, as reported in [49], when computer clients were used instead.
- (b)
- Similar findings are expected for other mobile devices that exhibit higher conducted power in the 2.4 GHz Wi-Fi frequency band as compared to that in the 5 GHz Wi-Fi frequency band (e.g., found by the authors in the FCC database of phones: Huawei P30 Lite, LG G6, HTC One).
- (c)
- Additional research supporting this conclusion was identified. If we consider that the radiated power is directly proportional to the power consumption of the mobile handset, then [50] indicates (in Figure 4b) that the power consumption was higher for the 802.11n standard as compared to the one in the 802.11ac standard considering the same bandwidth size for a Samsung smartphone model. If we also take into consideration the path loss, we can estimate that the radiated field will be lower for 5 GHz frequency range as compared to the 2.4 GHz frequency range.
6. Conclusions
Author Contributions
Funding
Acknowledgments
Conflicts of Interest
References
- IEEE Std. 802.11TM-2012 IEEE Standard for Information Technology—Telecommunications and Information Exchange Between Systems—Local and Metropolitan Area Networks—Specific Requirements. Part 11: Wireless LAN Medium Access Control (MAC) and Physical Layer (PHY) Specifications; IEEE: New York, NY, USA, 2012. [Google Scholar]
- IEEE Std. 802.11TM/D5.1-2013 IEEE Standard for Information Technology—Telecommunications and Information Exchange between Systems—Local and Metropolitan Area Networks—Specific Requirements. Part 11: Wireless LAN Medium Access Control (MAC) and Physical Layer (PHY) Specific Requirements. Amendment 4: Enhancements for Very High Throughput for Operation in Bands below 6 GHz; IEEE: New York, NY, USA, 2013. [Google Scholar]
- IEEE Std. IEEE Standard for Safety Levels with Respect to Human Exposure to Electric, Magnetic, and Electromagnetic Fields, 0 Hz to 300 GHz; IEEE: New York, NY, USA, 2019; pp. 1–312. [Google Scholar] [CrossRef]
- ICNIRP. Guidelines for Limiting Exposure to Time-Varying Electric, Magnetic, and Electromagnetic Fields (up to 300 GHz). Health Phys. 2020, 118, 483–524. Available online: https://www.icnirp.org/cms/upload/publications/ICNIRPrfgdl2020.pdf (accessed on 15 November 2020). [CrossRef] [PubMed]
- Amani, S.; Taheri, M.; Movahedi, M.M.; Mohebi, M.; Nouri, F.; Mehdizadeh, A. Evaluation of Short-Term Exposure to 2.4 GHz Radiofrequency Radiation Emitted from Wi-Fi Routers on the Antimicrobial Susceptibility of Pseudomonas aeruginosa and Staphylococcus aureus. Galen Med. J. 2020, 9. [Google Scholar] [CrossRef]
- Çelik, Ö.; Kahya, M.C.; Nazıroğlu, M. Oxidative stress of brain and liver is increased by Wi-Fi (2.45 GHz) exposure of rats during pregnancy and the development of newborns. J. Chem. Neuroanat. 2016, 75, 134–139. [Google Scholar] [CrossRef] [PubMed]
- Kamali, K.; Taravati, A.; Sayyadi, S.; Gharib, F.Z.; Maftoon, H. Evidence of oxidative stress after continuous exposure to Wi-Fi radiation in rat model. Environ. Sci. Pollut. Res. 2018, 25, 35396–35403. [Google Scholar] [CrossRef]
- Jaffar, F.H.F.; Osman, K.; Ismail, N.H.; Chin, K.-Y.; Ibrahim, S.F. Adverse Effects of Wi-Fi Radiation on Male Reproductive System: A Systematic Review. Tohoku J. Exp. Med. 2019, 248, 169–179. [Google Scholar] [CrossRef] [PubMed]
- Vafaei, H.; Kavari, G.; Izadi, H.R.; Zare Dorahi, Z.; Dianatpour, M.; Daneshparvar, A.; Jamhiri, I. Wi-Fi (2.4 GHz) affects anti-oxidant capacity, DNA repair genes expression and apoptosis in pregnant mouse placenta. Iran. J. Basic Med. Sci. 2020, 23. [Google Scholar] [CrossRef]
- Shokri, S.; Soltani, A.; Kazemi, M.; Sardari, D.; Mofrad, F.B. Effects of Wi-Fi (2.45 GHz) Exposure on Apoptosis, Sperm Parameters and Testicular Histomorphometry in Rats: A Time Course Study. Cell J. 2015, 17, 322–331. [Google Scholar] [CrossRef]
- Saygin, M.; Özmen, Ö.; Erol, O.; Ellidağ, H.Y.; Ilhan, I.; Aslankoc, R. The impact of electromagnetic radiation (2.45 GHz, Wi-Fi) on the female reproductive system: The role of vitamin C. Toxicol. Ind. Health 2018, 34, 620–630. [Google Scholar] [CrossRef]
- Said-Salman, I.H.; Jebaii, F.A.; Yusef, H.H.; Moustafa, M.E. Global gene expression analysis of Escherichia coli K-12 DH5α after exposure to 2.4 GHz wireless fidelity radiation. Sci. Rep. 2019, 9, 1–10. [Google Scholar] [CrossRef]
- Bektas, H.; Dasdag, S.; Bektas, M.S. Comparison of effects of 2.4 GHz Wi-Fi and mobile phone exposure on human placenta and cord blood. Biotechnol. Biotechnol. Equip. 2020, 34, 154–162. [Google Scholar] [CrossRef]
- Hosseini, M.A.; Jarideh, S.; Argasi, H.; Shekoohi-Shooli, F.; Zamani, A.; Taeb, S.; Haghani, M.; Hosseini, M.A. Evaluating short-term exposure to wi-fi signals on students’ reaction time, short-term memory and reasoning ability. Radiat. Prot. Dosim. 2019, 187, 279–285. [Google Scholar] [CrossRef] [PubMed]
- Foster, K.R.; Moulder, J.E. Wi-Fi and health: Review of status of research. Health Phys. 2013, 105, 561–575. [Google Scholar] [CrossRef]
- Pall, M.L. Wi-Fi is an important threat to human health. Environ. Res. 2018, 164, 405–416. [Google Scholar] [CrossRef] [PubMed]
- Foster, K.R.; Moulder, J.E. Response to Pall, “Wi-Fi is an important threat to human health”. Environ. Res. 2019, 168, 445–447. [Google Scholar] [CrossRef] [PubMed]
- Najera, A. Comments on “Wi-Fi is an important threat to human health”. Environ. Res. 2019, 168, 514–515. [Google Scholar] [CrossRef]
- Arribas, E.; Ramirez-Vazquez, R.; Escobar, I. Comment on “Wi-Fi is an important threat to human health”. Environ. Res. 2018, 167, 639. [Google Scholar] [CrossRef]
- Chiaramello, E.; Bonato, M.; Fiocchi, S.; Tognola, G.; Parazzini, M.; Ravazzani, P.; Wiart, J. Radio Frequency Electromagnetic Fields Exposure Assessment in Indoor Environments: A Review. Int. J. Environ. Res. Public Health 2019, 16, 955. [Google Scholar] [CrossRef]
- Kljajic, D.; Djuric, N. Comparative analysis of EMF monitoring campaigns in the campus area of the University of Novi Sad. Environ. Sci. Pollut. Res. 2020, 27, 14735–14750. [Google Scholar] [CrossRef]
- Hedendahl, L.; Carlberg, M.; Koppel, T.; Hardell, L. Measurements of Radiofrequency Radiation with a Body-Borne Exposimeter in Swedish Schools with Wi-Fi. Front. Public Health 2017, 5. [Google Scholar] [CrossRef]
- Ramirez-Vazquez, R.; Arabasi, S.; Al-Taani, H.; Sbeih, S.; Gonzalez-Rubio, J.; Escobar, I.; Arribas, E. Georeferencing of Personal Exposure to Radiofrequency Electromagnetic Fields from Wi-Fi in a University Area. Int. J. Environ. Res. Public Health 2020, 17, 1898. [Google Scholar] [CrossRef]
- De Miguel-Bilbao, S.; Blas, J.; Ramos, V. Effective Analysis of Human Exposure Conditions with Body-worn Dosimeters in the 2.4 GHz Band. J. Vis. Exp. 2018, 135, e56525. [Google Scholar] [CrossRef] [PubMed]
- Gryz, K.; Zradziński, P.; Karpowicz, J. The Role of the Location of Personal Exposimeters on the Human Body in Their Use for Assessing Exposure to the Electromagnetic Field in the Radiofrequency Range 98–2450 MHz and Compliance Analysis: Evaluation by Virtual Measurements. BioMed Res. Int. 2015, 2015, 1–12. [Google Scholar] [CrossRef] [PubMed]
- Zentai, N.; Csathó, Á.; Trunk, A.; Fiocchi, S.; Parazzini, M.; Ravazzani, P.; Thuróczy, G.; Hernádi, I. No Effects of Acute Exposure to Wi-Fi Electromagnetic Fields on Spontaneous EEG Activity and Psychomotor Vigilance in Healthy Human Volunteers. Radiat. Res. 2015, 184, 568–577. [Google Scholar] [CrossRef] [PubMed]
- Pereda, D.G.; Fernandez, A.M.; Pena, V.I.; Gil, A.U.; Arrinda, S.A. Time Variability of Electromagnetic Exposure Due to Wi Fi Networks. In Proceedings of the 2019 International Conference on Electromagnetics in Advanced Applications (ICEAA), Granada, Spain, 9–13 September 2019. [Google Scholar] [CrossRef]
- Kuehn, S.; Pfeifer, S.; Kuster, N. Total Local Dose in Hypothetical 5G Mobile Networks for Varied Topologies and User Scenarios. Appl. Sci. 2020, 10, 5971. [Google Scholar] [CrossRef]
- Foster, K.R.; Repacholi, M.H. Biological Effects of Radiofrequency Fields: Does Modulation Matter? Radiat. Res. 2004, 162, 219–225. [Google Scholar] [CrossRef]
- Joseph, W.; Pareit, D.; Vermeeren, G.; Naudts, D.; Verloock, L.; Martens, L.; Moerman, I. Determination of the duty cycle of WLAN for realistic radio frequency electromagnetic field exposure assessment. Prog. Biophys. Mol. Biol. 2013, 111, 30–36. [Google Scholar] [CrossRef]
- Bechet, P.; Miclaus, S.; Bechet, A.C. An analysis of the dependence of the electromagnetic exposure level in indoor environment on traffic direction, instantaneous data rate and position of the devices in a WLAN network. Measurement 2015, 67, 34–41. [Google Scholar] [CrossRef]
- Bechet, A.C.; Helbet, R.; Miclaus, S.; Bouleanu, I.; Sarbu, A.; Bechet, P. Assesing the Electric Field Strength in the Vicinity of Devices Emitting Signals in the IEEE 802.11ac Standard of Communication. Proceeding of the International Symposium on Electromagnetic Compatibility—EMC EUROPE, Barceona, Spain, 2–6 September 2019; pp. 1025–1029. [Google Scholar] [CrossRef]
- Miclaus, S.; Bechet, P. Non-stationary statistics with amplitude probability density function for exposure and energy density reporting near a mobile phone running 4g applications. Prog. Electromagn. Res. M 2020, 89, 151–159. [Google Scholar] [CrossRef]
- FCC Specifications for the DUT Used. Available online: https://apps.fcc.gov/oetcf/eas/reports/ViewExhibitReport.cfm?mode=Exhibits&RequestTimeout=500&calledFromFrame=N&application_id=g0U3R%2Fo3MnLmB1fLQOWfkA%3D%3D&fcc_id=QISWAS-LX1A (accessed on 14 October 2020).
- PZolee’s Blog. Available online: http://pzoleeblogen.wordpress.com/2013/11/26/wifi-speed-test-for-android-how-to/ (accessed on 22 July 2020).
- Available online: https://instrumentcenter.eu/products/emc-products/probes/aaronia-pbs2-e-h-near-field-probe-set-sniffer-dc-to-6ghz-with-emc-preamplifier (accessed on 12 November 2020).
- Bechet, P.; Miclaus, S.; Bechet, A.C. Improving the Accuracy of Exposure Assessment to Stochastic-like Radiofrequency Signals. IEEE Trans. Electromagn. Compat. 2012, 54, 1169–1177. [Google Scholar] [CrossRef]
- Lakshmanan, S.; Sanadhya, S.; Sivakumar, R. On Link Rate Adaptation in 802.11n WLANs. Available online: http://gnan.ece.gatech.edu/archive/2011/infocom11a.pdf (accessed on 14 October 2020).
- Aruba Networks, 802.11ac In-Depth, White Paper. 2014. Available online: https://www.arubanetworks.com/ (accessed on 16 October 2020).
- Sharon, O.; Alpert, Y. MAC level Throughput comparison: 802.11ac vs. 802.11n. Phys. Commun. 2014, 12, 33–49. [Google Scholar] [CrossRef]
- Agilent Technologies, Testing WLAN Devices According to IEEE 802.11 Standards, Aplication Note. 2013. Available online: http://www.unitest.com/pdf/5991-3239EN.pdf (accessed on 15 October 2020).
- Sangolli, S.V. TCP Throughput Measurement and Comparison of IEEE 802.11 Legacy, IEEE 802.11n and IEEE 802.11ac Standards. Indian J. Sci. Technol. 2016, 9, 1–8. [Google Scholar] [CrossRef]
- Shrivastava, V.; Agrawal, D.; Mishra, A.; Banerjee, S.; Nadeem, T. Understanding the limitations of transmit power control for indoor WLANs. In Proceedings of the 7th ACM SIGCOMM conference on Internet measurement, San Diego, CA, USA, 24–26 October 2007; pp. 351–364. [Google Scholar] [CrossRef]
- Available online: https://en.wikipedia.org/wiki/Surface_power_density (accessed on 14 November 2020).
- Available online: https://en.wikipedia.org/wiki/Intensity_(physics) (accessed on 14 November 2020).
- Available online: https://en.wikipedia.org/wiki/Power_(physics) (accessed on 14 November 2020).
- Available online: http://rfmw.em.keysight.com/wireless/helpfiles/89600B/WebHelp/Subsystems/wlan-ofdm/content/ofdm_80211-overview.htm (accessed on 15 October 2020).
- Available online: http://www.antenna-theory.com/design/wifi.php (accessed on 14 November 2020).
- Bechet, A.C.; Sârbu, A.; Helbet, R.; Miclaus, S.; Bechet, P.; Bouleanu, I. Wi-Fi Computer Communication in IEEE 802.11 Protocols N and AC: An Analysis of the User’s Exposure using Real-Time Spectrum Analyzer Power Statistics Capability. In Proceedings of the 7th Advanced Electromagnetics Symposium, Lisbon, Portugal, 25 February 2019; pp. 121–122, ISSN 2491-2417. [Google Scholar]
- Swetank, K.S.; Pratik, D.; Pranav, P.I.; Ramanujan, K.S.; Dimitrios, K. Power-Throughput Tradeoffs of 802.11n/ac in Smartphones. Available online: https://cse.buffalo.edu/faculty/dimitrio/publications/infocom15.pdf (accessed on 13 November 2020).

















| Network Number | IEEE Protocol | Channel Number | Central Frequency (MHz) | Channel Bandwidth (MHz) |
|---|---|---|---|---|
| 1 | 802.11n | 4 | 2427 | 20 |
| 2 | 802.11n | 4 | 2427 | 40 |
| 3 | 802.11ac | 40 | 5200 | 20 |
| 4 | 802.11ac | 38 | 5190 | 40 |
| MCS Index | IEEE 802.11n Protocol | IEEE 802.11ac Protocol | ||||
|---|---|---|---|---|---|---|
| Modulation | Coding Rate | Bits/Symbol | Modulation | Coding Rate | Bits/Symbol | |
| MCS 0 | BPSK | 1/2 | 26 | BPSK | 1/2 | 26 |
| MCS 1 | QPSK | 1/2 | 52 | QPSK | 1/2 | 52 |
| MCS 2 | QPSK | 3/4 | 78 | QPSK | 3/4 | 78 |
| MCS 3 | 16-QAM | 1/2 | 104 | 16-QAM | 1/2 | 104 |
| MCS 4 | 16-QAM | 3/4 | 156 | 16-QAM | 3/4 | 156 |
| MCS 5 | 64-QAM | 2/3 | 208 | 64-QAM | 2/3 | 208 |
| MCS 6 | 64-QAM | 3/4 | 234 | 64-QAM | 3/4 | 234 |
| MCS 7 | 64-QAM | 5/6 | 260 | 64-QAM | 5/6 | 260 |
| MCS 8 | 256-QAM | 3/4 | 312 | |||
| MCS 9 | 256-QAM | 5/6 | 346 | |||
| MCS 10 * | 1024-QAM | 3/4 | 390 | |||
| MCS 11 * | 1025-QAM | 5/6 | 433 | |||
| Parameter | Value | |
|---|---|---|
| IEEE 802.11 n Protocol | IEEE 802.11 ac Protocol | |
| RF frequency | 2.427 GHz (channel 4) | 5.2 GHz (channel 40) |
| Channel bandwidth | 20 MHz | 20 MHz |
| Level | −30 dBm | −30 dBm |
| Spatial streams | 1 | 1 |
| Frames number | 500 | 500 |
| Data source | Predefined resource (P9) | Predefined resource (P9) |
| MCSindex | 0–7 | 0–11 |
| Mode | HT-20MHz (Greenfield) | VHT-20 MHz |
| Data length | 1500 bytes | 1500 bytes |
| MAC Header | Enabled | Enabled |
| MCS Index | IEEE 802.11 n Protocol | IEEE 802.11 ac Protocol | ||||
|---|---|---|---|---|---|---|
| Data Rate (Mbps) | Number of Data Symbols | Duty Cycle (%) | Data Rate (Mbps) | Number of Data Symbols | Duty Cycle (%) | |
| MCS 0 | 6.5 | 469 | 0.95 | 6.5 | 469 | 0.95 |
| MCS 1 | 13 | 235 | 0.906 | 13 | 235 | 0.907 |
| MCS 2 | 19.5 | 157 | 0.867 | 19.5 | 157 | 0.869 |
| MCS 3 | 26 | 118 | 0.832 | 26 | 118 | 0.836 |
| MCS 4 | 39 | 79 | 0.772 | 39 | 79 | 0.78 |
| MCS 5 | 52 | 59 | 0.722 | 52 | 59 | 0.734 |
| MCS 6 | 58.2 | 53 | 0.702 | 58.2 | 53 | 0.715 |
| MCS 7 | 65 | 47 | 0.679 | 65 | 47 | 0.695 |
| MCS 8 | - | - | - | 78 | 40 | 0.66 |
| MCS 9 | - | - | - | 86.5 | 36 | 0.647 |
| MCS 10 | - | - | - | 97.5 | 32 | 0.626 |
| MCS 11 | - | - | - | 108.25 | 29 | 0.609 |
Publisher’s Note: MDPI stays neutral with regard to jurisdictional claims in published maps and institutional affiliations. |
© 2020 by the authors. Licensee MDPI, Basel, Switzerland. This article is an open access article distributed under the terms and conditions of the Creative Commons Attribution (CC BY) license (http://creativecommons.org/licenses/by/4.0/).
Share and Cite
Sârbu, A.; Miclăuș, S.; Digulescu, A.; Bechet, P. Comparative Analysis of User Exposure to the Electromagnetic Radiation Emitted by the Fourth and Fifth Generations of Wi-Fi Communication Devices. Int. J. Environ. Res. Public Health 2020, 17, 8837. https://doi.org/10.3390/ijerph17238837
Sârbu A, Miclăuș S, Digulescu A, Bechet P. Comparative Analysis of User Exposure to the Electromagnetic Radiation Emitted by the Fourth and Fifth Generations of Wi-Fi Communication Devices. International Journal of Environmental Research and Public Health. 2020; 17(23):8837. https://doi.org/10.3390/ijerph17238837
Chicago/Turabian StyleSârbu, Annamaria, Simona Miclăuș, Angela Digulescu, and Paul Bechet. 2020. "Comparative Analysis of User Exposure to the Electromagnetic Radiation Emitted by the Fourth and Fifth Generations of Wi-Fi Communication Devices" International Journal of Environmental Research and Public Health 17, no. 23: 8837. https://doi.org/10.3390/ijerph17238837
APA StyleSârbu, A., Miclăuș, S., Digulescu, A., & Bechet, P. (2020). Comparative Analysis of User Exposure to the Electromagnetic Radiation Emitted by the Fourth and Fifth Generations of Wi-Fi Communication Devices. International Journal of Environmental Research and Public Health, 17(23), 8837. https://doi.org/10.3390/ijerph17238837

