Development of Hourly Indoor PM2.5 Concentration Prediction Model: The Role of Outdoor Air, Ventilation, Building Characteristic, and Human Activity
Abstract
1. Introduction
2. Material and Methods
2.1. Study Area and Design
2.2. Data Collection and Source
2.2.1. Building Characteristics, Human Indoor Activities, and Furniture Materials
2.2.2. Indoor and Outdoor Air Quality
2.3. MLR Model Procedure
- Step1: A simple regression analysis was used to analyze the association between indoor PM2.5 level and all variables. Variables with p > 0.05 were excluded;
- Step 2: A simple linear regression model was used to assess the collinearity between variables. Values with a variance inflation factor >3 were excluded to establish the prediction model;
- Step 3: MLR (stepwise) was used to analyze the association between all variables and indoor PM2.5 concentrations. We repeated this process until no more variables could be removed without statistically significant (p > 0.05) changes in the regression model.
2.4. Prediction Model Performance Evaluation
3. Results
3.1. Building Characteristics and Human Activity
3.2. Distribution of Indoor and Outdoor PM2.5 Level
3.3. MLR Model Results
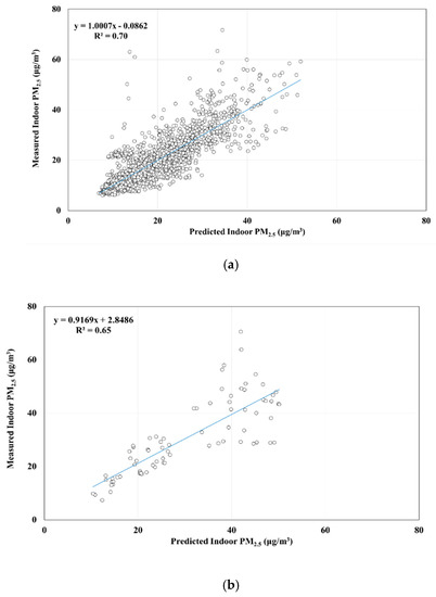
3.4. Validation Result
3.5. Discussion
4. Conclusions
Supplementary Materials
Author Contributions
Funding
Acknowledgments
Conflicts of Interest
References
- Dominici, F.; Peng, R.D.; Bell, M.L.; Pham, L.; McDermott, A.; Zeger, S.L.; Samet, J.M. Fine particulate air pollution and hospital admission for cardiovascular and respiratory diseases. JAMA 2006, 295, 1127–1134. [Google Scholar] [CrossRef] [PubMed]
- Tsai, S.-S.; Chiu, H.-F.; Liou, S.-H.; Yang, C.-Y. Short-term effects of fine particulate air pollution on hospital admissions for respiratory diseases: A case-crossover study in a tropical city. J. Toxicol. Environ. Health 2014, 77, 1091–1101. [Google Scholar] [CrossRef] [PubMed]
- Pope, C.A.; Renlund, D.G.; Kfoury, A.G.; May, H.T.; Horne, B.D. Relation of heart failure hospitalization to exposure to fine particulate air pollution. Am. J. Cardiol. 2008, 102, 1230–1234. [Google Scholar] [CrossRef] [PubMed]
- Chen, H.; Burnett, R.T.; Kwong, J.C.; Villeneuve, P.J.; Goldberg, M.S.; Brook, R.D.; Van Donkelaar, A.; Jerrett, M.; Martin, R.V.; Brook, J.R. Risk of incident diabetes in relation to long-term exposure to fine particulate matter in Ontario, Canada. Environ. Health Perspect. 2013, 121, 804. [Google Scholar] [CrossRef]
- Pearson, J.F.; Bachireddy, C.; Shyamprasad, S.; Goldfine, A.B.; Brownstein, J.S. Association between fine particulate matter and diabetes prevalence in the US. Diabetes Care 2010, 33, 2196–2201. [Google Scholar] [CrossRef]
- Klepeis, N.E.; Nelson, W.C.; Ott, W.R.; Robinson, J.P.; Tsang, A.M.; Switzer, P.; Behar, J.V.; Hern, S.C.; Engelmann, W.H. The National Human Activity Pattern Survey (NHAPS): A resource for assessing exposure to environmental pollutants. J. Expo. Sci. Environ. Epidemiol. 2001, 11, 231. [Google Scholar] [CrossRef]
- Leech, J.A.; Nelson, W.C.; T Burnett, R.; Aaron, S.; Raizenne, M.E. It’s about time: A comparison of Canadian and American time-activity patterns. J. Expo. Sci. Environ. Epidemiol. 2002, 12, 427. [Google Scholar] [CrossRef]
- Chuang, H.-C.; Ho, K.-F.; Lin, L.-Y.; Chang, T.-Y.; Hong, G.-B.; Ma, C.-M.; Liu, I.-J.; Chuang, K.-J. Long-term indoor air conditioner filtration and cardiovascular health: A randomized crossover intervention study. Environ. Int. 2017, 106, 91–96. [Google Scholar] [CrossRef]
- Huang, Y.-L.; Chen, H.-W.; Han, B.-C.; Liu, C.-W.; Chuang, H.-C.; Lin, L.-Y.; Chuang, K.-J. Personal exposure to household particulate matter, household activities and heart rate variability among housewives. PLoS ONE 2014, 9, e89969. [Google Scholar] [CrossRef]
- Hassanvand, M.S.; Naddafi, K.; Faridi, S.; Arhami, M.; Nabizadeh, R.; Sowlat, M.H.; Pourpak, Z.; Rastkari, N.; Momeniha, F.; Kashani, H. Indoor/outdoor relationships of PM10, PM2.5, and PM1 mass concentrations and their water-soluble ions in a retirement home and a school dormitory. Atmos. Environ. 2014, 82, 375–382. [Google Scholar] [CrossRef]
- Matawle, J.L.; Pervez, S.; Shrivastava, A.; Tiwari, S.; Pant, P.; Deb, M.K.; Bisht, D.S.; Pervez, Y.F. PM2.5 pollution from household solid fuel burning practices in central India: 1. Impact on indoor air quality and associated health risks. Environ. Geochem. Health 2017, 39, 1045–1058. [Google Scholar] [CrossRef] [PubMed]
- Satsangi, P.G.; Yadav, S.; Pipal, A.S.; Kumbhar, N. Characteristics of trace metals in fine (PM2.5) and inhalable (PM10) particles and its health risk assessment along with in-silico approach in indoor environment of India. Atmos. Environ. 2014, 92, 384–393. [Google Scholar] [CrossRef]
- Clark, N.A.; Allen, R.W.; Hystad, P.; Wallace, L.; Dell, S.D.; Foty, R.; Dabek-Zlotorzynska, E.; Evans, G.; Wheeler, A.J. Exploring variation and predictors of residential fine particulate matter infiltration. Int. J. Environ. Res. Public Health 2010, 7, 3211–3224. [Google Scholar] [CrossRef] [PubMed]
- Yuchi, W.; Gombojav, E.; Boldbaatar, B.; Galsuren, J.; Enkhmaa, S.; Beejin, B.; Naidan, G.; Ochir, C.; Legtseg, B.; Byambaa, T.; et al. Evaluation of random forest regression and multiple linear regression for predicting indoor fine particulate matter concentrations in a highly polluted city. Environ. Pollut. 2019, 245, 746–753. [Google Scholar] [CrossRef] [PubMed]
- Tang, C.H.; Garshick, E.; Grady, S.; Coull, B.; Schwartz, J.; Koutrakis, P. Development of a modeling approach to estimate indoor-to-outdoor sulfur ratios and predict indoor PM 2.5 and black carbon concentrations for Eastern Massachusetts households. J. Expo. Sci. Environ. Epidemiol. 2018, 28, 125. [Google Scholar] [CrossRef] [PubMed]
- Elbayoumi, M.; Ramli, N.A.; Yusof, N.F.F.M.; Bin Yahaya, A.S.; Al Madhoun, W.; Ul-Saufie, A.Z. Multivariate methods for indoor PM10 and PM2.5 modelling in naturally ventilated schools buildings. Atmos. Environ. 2014, 94, 11–21. [Google Scholar] [CrossRef]
- Lai, D.; Qi, Y.; Liu, J.; Dai, X.; Zhao, L.; Wei, S. Ventilation behavior in residential buildings with mechanical ventilation systems across different climate zones in China. Build. Environ. 2018, 143, 679–690. [Google Scholar] [CrossRef]
- Chen, J.; Brager, G.S.; Augenbroe, G.; Song, X. Impact of outdoor air quality on the natural ventilation usage of commercial buildings in the US. Appl. Energy 2019, 235, 673–684. [Google Scholar] [CrossRef]
- Gołofit-Szymczak, M.; Górny, R.L. Microbiological air quality in office buildings equipped with dventilation systems. Indoor Air 2018, 28, 792–805. [Google Scholar] [CrossRef]
- Salonen, H.; Salthammer, T.; Morawska, L. Human exposure to ozone in school and office indoor environments. Environ. Int. 2018, 119, 503–514. [Google Scholar] [CrossRef]
- Jung, C.-C.; Hsu, N.-Y.; Su, H.-J. Temporal and spatial variations in IAQ and its association with building characteristics and human activities in tropical and subtropical areas. Build. Environ. 2019. [Google Scholar] [CrossRef]
- Pekey, B.; Bozkurt, Z.; Pekey, H.; Doğan, G.; Zararsız, A.; Efe, N.; Tuncel, G. Indoor/outdoor concentrations and elemental composition of PM10/PM2.5 in urban/industrial areas of Kocaeli City, Turkey. Indoor Air 2010, 20, 112–125. [Google Scholar] [CrossRef] [PubMed]
- Yang, T.-T.; Hsu, C.-Y.; Chen, Y.-C.; Young, L.-H.; Huang, C.-H.; Ku, C.-H. Characteristics, sources, and health risks of atmospheric PM2.5-bound polycyclic aromatic hydrocarbons in Hsinchu, Taiwan. Aerosol Air Qual. Res. 2016, 17, 563–573. [Google Scholar] [CrossRef]
- Dai, X.; Liu, J.; Li, X.; Zhao, L. Long-term monitoring of indoor CO2 and PM2.5 in Chinese homes: Concentrations and their relationships with outdoor environments. Build. Environ. 2018, 144, 238–247. [Google Scholar] [CrossRef]
- Zhou, Z.; Liu, Y.; Yuan, J.; Zuo, J.; Chen, G.; Xu, L.; Rameezdeen, R. Indoor PM2.5 concentrations in residential buildings during a severely polluted winter: A case study in Tianjin, China. Renew. Sustain. Energy Rev. 2016, 64, 372–381. [Google Scholar] [CrossRef]
- Hussein, T.; Kulmala, M. Indoor aerosol modeling: Basic principles and practical applications. Water Air Soil Pollut. Focus 2008, 8, 23–34. [Google Scholar] [CrossRef]
- Nazaroff, W.W.; Cass, G.R. Mathematical modeling of indoor aerosol dynamics. Environ. Sci. Technol. 1989, 23, 157–166. [Google Scholar] [CrossRef]
- Ferro, A.R.; Kopperud, R.J.; Hildemann, L.M. Elevated personal exposure to particulate matter from human activities in a residence. J. Expo. Sci. Environ. Epidemiol. 2004, 14, S34. [Google Scholar] [CrossRef]
- Chao, C.Y.; Wong, K.K. Residential indoor PM10 and PM2.5 in Hong Kong and the elemental composition. Atmos. Environ. 2002, 36, 265–277. [Google Scholar] [CrossRef]
- Langer, S.; Bekö, G. Indoor air quality in the Swedish housing stock and its dependence on building characteristics. Build. Environ. 2013, 69, 44–54. [Google Scholar] [CrossRef]
- Majd, E.; McCormack, M.; Davis, M.; Curriero, F.; Berman, J.; Connolly, F.; Leaf, P.; Rule, A.; Green, T.; Clemons-Erby, D. Indoor air quality in inner-city schools and its associations with building characteristics and environmental factors. Environ. Res. 2019, 170, 83–91. [Google Scholar] [CrossRef] [PubMed]
- Hsu, N.Y.; Lee, C.C.; Wang, J.Y.; Li, Y.C.; Chang, H.W.; Chen, C.Y.; Bornehag, C.G.; Wu, P.C.; Sundell, J.; Su, H.J. Predicted risk of childhood allergy, asthma, and reported symptoms using measured phthalate exposure in dust and urine. Indoor Air 2012, 22, 186–199. [Google Scholar] [CrossRef] [PubMed]
- Hsu, N.-Y.; Wu, P.-C.; Bornehag, C.-G.; Sundell, J.; Su, H.-J. Feeding bottles usage and the prevalence of childhood allergy and asthma. Clin. Dev. Immunol. 2012, 2012. [Google Scholar] [CrossRef] [PubMed]
- Central Weather Bureau. Weather and Forecasting 2019 Annual Report; Central Weather Bureau: Taipei, Taiwan, 2019.
- Chakrabarti, B.; Fine, P.M.; Delfino, R.; Sioutas, C. Performance evaluation of the active-flow personal DataRAM PM2.5 mass monitor (Thermo Anderson pDR-1200) designed for continuous personal exposure measurements. Atmos. Environ. 2004, 38, 3329–3340. [Google Scholar] [CrossRef]
- Lowenthal, D.H.; Rogers, C.F.; Saxena, P.; Watson, J.G.; Chow, J.C. Sensitivity of estimated light extinction coefficients to model assumptions and measurement errors. Atmos. Environ. 1995, 29, 751–766. [Google Scholar] [CrossRef]
- Sioutas, C.; Kim, S.; Chang, M.; Terrell, L.L.; Gong Jr, H. Field evaluation of a modified DataRAM MIE scattering monitor for real-time PM2.5 mass concentration measurements. Atmos. Environ. 2000, 34, 4829–4838. [Google Scholar] [CrossRef]
- Wu, C.-D.; Zeng, Y.-T.; Lung, S.-C.C. A hybrid kriging/land-use regression model to assess PM2.5 spatial-temporal variability. Sci. Total Environ. 2018, 645, 1456–1464. [Google Scholar] [CrossRef]
- Department of statistics. Statistical Report of Ministry of Interior; Department of statistics, Ministry of Interior: Taipei, Taiwan, 2017.
- Jung, C.-C.; Chou, C.C.-K.; Lin, C.-Y.; Shen, C.-C.; Lin, Y.-C.; Huang, Y.-T.; Tsai, C.-y.; Yao, P.-H.; Huang, C.-R.; Huang, W.-R. C-Sr-Pb isotopic characteristics of PM2.5 transported on the East-Asian continental outflows. Atmos. Res. 2019. [Google Scholar] [CrossRef]
- Kuo, H.-W.; Shen, H.-Y. Indoor and outdoor PM2.5 and PM10 concentrations in the air during a dust storm. Build. Environ. 2010, 45, 610–614. [Google Scholar] [CrossRef]
- Lu, H.-Y.; Lin, S.-L.; Mwangi, J.K.; Wang, L.-C.; Lin, H.-Y. Characteristics and source apportionment of atmospheric PM2.5 at a coastal city in southern Taiwan. Aerosol Air Qual. Res. 2016, 16, 1022–1034. [Google Scholar] [CrossRef]
- Diapouli, E.; Eleftheriadis, K.; Karanasiou, A.A.; Vratolis, S.; Hermansen, O.; Colbeck, I.; Lazaridis, M. Indoor and outdoor particle number and mass concentrations in Athens. Sources, sinks and variability of aerosol parameters. Aerosol Air Qual. Res. 2011, 11, 632–642. [Google Scholar] [CrossRef]
- Lim, J.M.; Jeong, J.H.; Lee, J.H.; Moon, J.H.; Chung, Y.S.; Kim, K.H. The analysis of PM2.5 and associated elements and their indoor/outdoor pollution status in an urban area. Indoor Air 2011, 21, 145–155. [Google Scholar] [CrossRef] [PubMed]
- Chiang, P.; Chen, C.W.; Hsieh, D.P.; Chan, T.-C.; Chiang, H.-C.; Wen, C.-P. Lung cancer risk in females due to exposures to PM2.5 in Taiwan. Open Epidemiol. J. 2014, 7. [Google Scholar] [CrossRef]
- Hänninen, O.O.; Lebret, E.; Ilacqua, V.; Katsouyanni, K.; Künzli, N.; Srám, R.J.; Jantunen, M. Infiltration of ambient PM2.5 and levels of indoor generated non-ETS PM2.5 in residences of four European cities. Atmos. Environ. 2004, 38, 6411–6423. [Google Scholar] [CrossRef]
- Gurung, G.; Bradley, J.; Delgado-Saborit, J.M. Effects of shisha smoking on carbon monoxide and PM2.5 concentrations in the indoor and outdoor microenvironment of shisha premises. Sci. Total Environ. 2016, 548, 340–346. [Google Scholar] [CrossRef]
- Liu, R.; Jiang, Y.; Li, Q.; Hammond, S. Assessing exposure to secondhand smoke in restaurants and bars 2 years after the smoking regulations in Beijing, China. Indoor Air 2014, 24, 339–349. [Google Scholar] [CrossRef]
- Kumar, R.; Gupta, N.; Kumar, D.; Mavi, A.K.; Singh, K.; Kumar, M. Monitoring of indoor particulate matter during burning of mosquito coil, incense sticks and dhoop. Indian J. Allergy Asthma Immunol. 2014, 28, 68. [Google Scholar] [CrossRef]
- Park, S.; Kim, M.; Kim, M.; Namgung, H.-G.; Kim, K.-T.; Cho, K.H.; Kwon, S.-B. Predicting PM10 concentration in Seoul metropolitan subway stations using artificial neural network (ANN). J. Hazard. Mater. 2018, 341, 75–82. [Google Scholar] [CrossRef]
- Sun, Z.; Liu, C.; Zhang, Y. Evaluation of a steady-state method to estimate indoor PM2.5 concentration of outdoor origin. Build. Environ. 2019, 161, 106243. [Google Scholar] [CrossRef]





| Variables | Description | Results (n, %) |
|---|---|---|
| Building characteristics | ||
| Building type | Townhouse | 53 (57%) |
| Single-family | 14 (15%) | |
| Apartment | 26 (28%) | |
| Building age | <10 years | 3 (3%) |
| 10–20 years | 26 (29%) | |
| 20–40 years | 56 (62%) | |
| >40 years | 6 (6%) | |
| Building floor level | 1 | 7 (7%) |
| 2 | 35 (38%) | |
| >3 | 51 (55%) | |
| Near main road (<8 m) & | Yes | 42 (45%) |
| Air conditioner type | Central air conditioner | 29 (31%) |
| Window or single-split air conditioner | 55 (59%) | |
| None | 9 (10%) | |
| Heater | Yes | 7 (8%) |
| Wall material | ||
| Wall paint | Yes | 78 (84%) |
| Furniture material | ||
| Wood | Yes | 86 (92%) |
| Cloth | Yes | 6 (6%) |
| Leather | Yes | 2 (2%) |
| Imitation leather | Yes | 3 (3%) |
| Plastic | Yes | 35 (38%) |
| Iron or glass | Yes | 26 (28%) |
| Variables | Description | Results (n, %) |
|---|---|---|
| Planting * | Yes | 19 (20%) |
| Smoking * | Yes | 36 (39%) |
| Incense stick burning * | Yes | 45 (48%) |
| Mosquito coil burning * | Yes | 14 (15%) |
| Floor cleaning (frequency) # | Every day | 60 (65%) |
| 1 time every 2 weeks | 16 (17%) | |
| 1 time per month | 17 (18%) | |
| Furniture cleaning (frequency) # | 1 time per week | 37 (40%) |
| 1 time per month | 56 (60%) | |
| Clean bed sheet (frequency) # | 1 time every 2 weeks | 39 (42%) |
| 1 time per month | 54 (58%) | |
| Replace bed sheet (frequency) # | 1 time every 2 weeks | 41 (44%) |
| 1 time per month | 52 (56%) |
| Pollutants | Overall (N = 1979) | Spring (N = 477) | Summer (N = 869) | Fall (N = 256) | Winter (N = 377) |
|---|---|---|---|---|---|
| Indoor PM2.5-DUST-TRAK | 19.5 ± 10.6 | 24.2 ± 10.3 | 13.7 ± 6.5 | 18.5 ± 8.6 | 27.4 ± 12.0 |
| Outdoor PM2.5-DUST-TRAK | 29.5 ± 20.3 | 38.9 ± 20.4 | 17.3 ± 9.4 | 30.2 ± 17.4 | 45.0 ± 23.2 |
| Outdoor PM2.5-Kriging | 38.1 ± 20.6 | 49.0 ± 19.3 | 25.1 ± 11.3 | 40.1 ± 17.0 | 53.0 ± 22.3 |
| Predictor | Coefficients | Coefficients (95% CI) | p-Value | Adjust R2 (%) | RMSE |
|---|---|---|---|---|---|
| Air pollutants | |||||
| Outdoor PM2.5 concentration | 0.422 | 0.410 to 0.434 | <0.0001 | ||
| Difference of indoor and outdoor CO2 | −0.003 | −0.003 to −0.002 | <0.0001 | ||
| Building characteristics | |||||
| Building type (townhouse = 0, single-family = 1, apartment = 2) | 0.565 | 0.145 to 0.985 | <0.05 | ||
| Building floor level (first floor level = 0, second floor level = 1, more than three floor level = 2) | −1.292 | −1.729 to −0.856 | <0.0001 | ||
| Human activities | |||||
| Clean bed sheet (one time every weeks = 0, one time per month = 1) | 1.310 | 0.727 to 1.893 | <0.0001 | ||
| Replace bed sheet (one time every weeks = 0, one time per month = 1) | 1.166 | 0.864 to 1.467 | <0.0001 | ||
| Mosquito coil burning (no = 0, yes = 1) | 2.318 | 1.584 to 3.052 | <0.0001 | ||
| Overall | <0.0001 | 74 | 5.41 |
| Validation | N | R2 (%) | Adjust R2 (%) | RMSE |
|---|---|---|---|---|
| Validation I | 395 | 74 | 74 | 5.70 |
| Validation II | 395 | 77 | 77 | 4.74 |
| Validation III | 395 | 77 | 76 | 5.03 |
| Validation IV | 395 | 78 | 78 | 4.87 |
| Validation V | 395 | 72 | 72 | 5.25 |
| Average | 76 | 75 |
© 2020 by the authors. Licensee MDPI, Basel, Switzerland. This article is an open access article distributed under the terms and conditions of the Creative Commons Attribution (CC BY) license (http://creativecommons.org/licenses/by/4.0/).
Share and Cite
Jung, C.-C.; Lin, W.-Y.; Hsu, N.-Y.; Wu, C.-D.; Chang, H.-T.; Su, H.-J. Development of Hourly Indoor PM2.5 Concentration Prediction Model: The Role of Outdoor Air, Ventilation, Building Characteristic, and Human Activity. Int. J. Environ. Res. Public Health 2020, 17, 5906. https://doi.org/10.3390/ijerph17165906
Jung C-C, Lin W-Y, Hsu N-Y, Wu C-D, Chang H-T, Su H-J. Development of Hourly Indoor PM2.5 Concentration Prediction Model: The Role of Outdoor Air, Ventilation, Building Characteristic, and Human Activity. International Journal of Environmental Research and Public Health. 2020; 17(16):5906. https://doi.org/10.3390/ijerph17165906
Chicago/Turabian StyleJung, Chien-Cheng, Wan-Yi Lin, Nai-Yun Hsu, Chih-Da Wu, Hao-Ting Chang, and Huey-Jen Su. 2020. "Development of Hourly Indoor PM2.5 Concentration Prediction Model: The Role of Outdoor Air, Ventilation, Building Characteristic, and Human Activity" International Journal of Environmental Research and Public Health 17, no. 16: 5906. https://doi.org/10.3390/ijerph17165906
APA StyleJung, C.-C., Lin, W.-Y., Hsu, N.-Y., Wu, C.-D., Chang, H.-T., & Su, H.-J. (2020). Development of Hourly Indoor PM2.5 Concentration Prediction Model: The Role of Outdoor Air, Ventilation, Building Characteristic, and Human Activity. International Journal of Environmental Research and Public Health, 17(16), 5906. https://doi.org/10.3390/ijerph17165906
