Impact of an Educational Program on Behavioral Changes toward Environmental Health among Laotian Students
Abstract
1. Introduction
2. Methods
2.1. Study Population
2.2. Study Curriculum
2.3. Ethics Approval
2.4. Questionnaire and Outcome Measures
2.5. Statistical Analysis
3. Results
3.1. Baseline Demographics
3.2. Risk Perception
3.3. Self-efficacy
3.4. Information Seeking
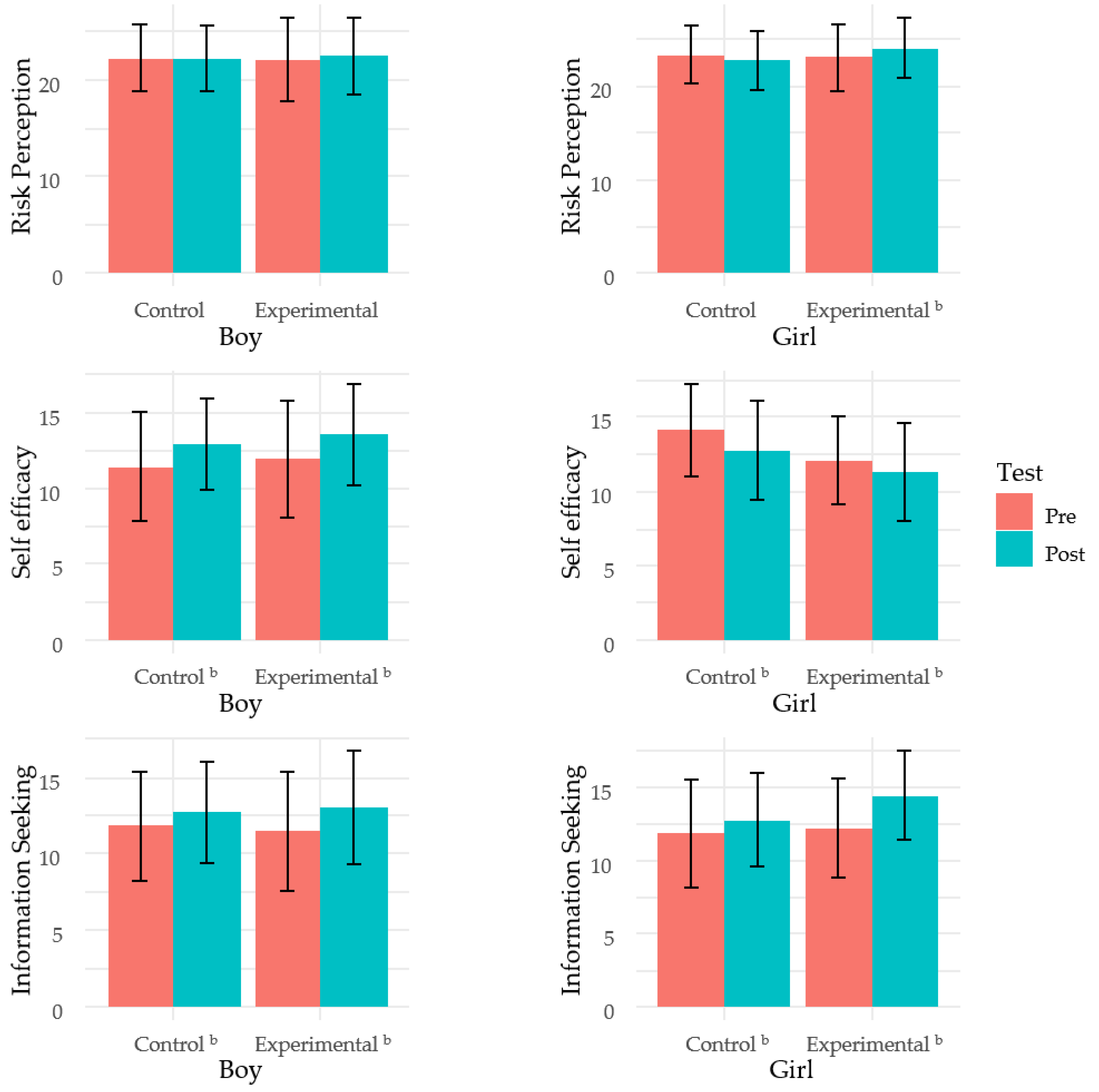
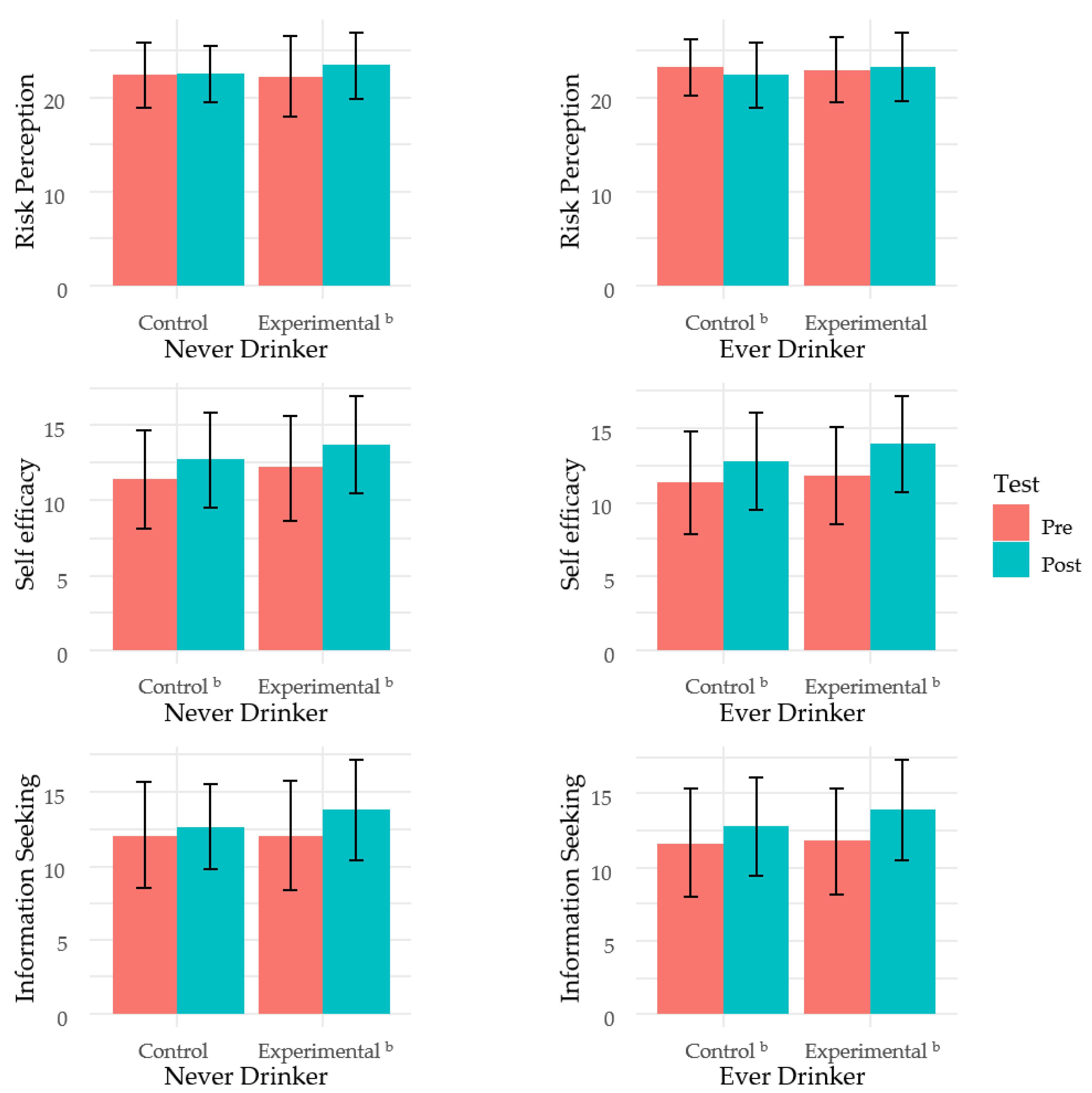
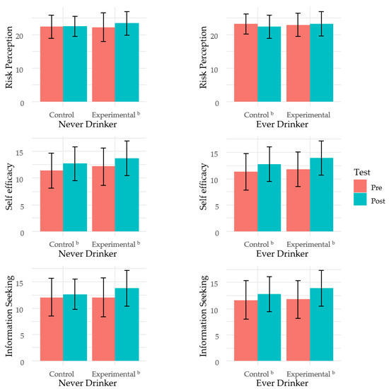
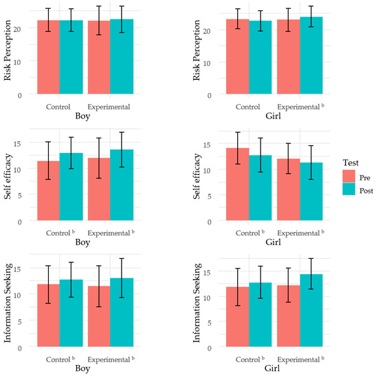
3.5. Stratification Analysis
4. Discussion
5. Conclusions
Supplementary Materials
Author Contributions
Funding
Acknowledgments
Conflicts of Interest
References
- Cohen, A.J.; Brauer, M.; Burnett, R.; Anderson, H.R.; Frostad, J.; Estep, K.; Balakrishnan, K.; Brunekreef, B.; Dandona, L.; Dandona, R. Estimates and 25-year trends of the global burden of disease attributable to ambient air pollution: an analysis of data from the Global Burden of Diseases Study 2015. Lancet 2017, 389, 1907–1918. [Google Scholar] [CrossRef]
- Smith, K.R.; Samet, J.M.; Romieu, I.; Bruce, N. Indoor air pollution in developing countries and acute lower respiratory infections in children. Thorax 2000, 55, 518–532. [Google Scholar] [CrossRef] [PubMed]
- Phimphanthavong, H. The impacts of economic growth on environmental conditions in laos. Int. J. Bus. Manag. Econ. Res. 2013, 4, 766–774. [Google Scholar]
- Mengersen, K.; Morawska, L.; Wang, H.; Murphy, N.; Tayphasavanh, F.; Darasavong, K.; Holmes, N. Association between indoor air pollution measurements and respiratory health in women and children in Lao PDR. Indoor Air 2011, 21, 25–35. [Google Scholar] [CrossRef] [PubMed]
- Kalkbrenner, A.E.; Schmidt, R.J.; Penlesky, A.C. Environmental chemical exposures and autism spectrum disorders: a review of the epidemiological evidence. Curr. Probl. Pediatric Adolesc. Health Care 2014, 44, 277–318. [Google Scholar] [CrossRef]
- Landrigan, P.J.; Schechter, C.B.; Lipton, J.M.; Fahs, M.C.; Schwartz, J. Environmental pollutants and disease in American children: estimates of morbidity, mortality, and costs for lead poisoning, asthma, cancer, and developmental disabilities. Environ. Health Perspect. 2002, 110, 721–728. [Google Scholar] [CrossRef]
- Determinants of Insecticide-Use Decisions of Lowland Rice Farmers in Laos. Available online: https://www.researchgate.net/profile/KL_Heong/publication/243055669_Determinants_of_insecticide_use_decisions_of_lowland_rice_farmers_in_Laos/links/5863be2108aebf17d3973ca2/Determinants-of-insecticide-use-decisions-of-lowland-rice-farmers-in-Laos.pdf (accessed on 6 May 2020).
- Plopper, C.; Weir, A.; Nishio, S.; Chang, A.; Voit, M.; Philpot, R.; Buckpitt, A.R. Elevated susceptibility to 4-ipomeanol cytotoxicity in immature Clara cells of neonatal rabbits. J. Pharmacol. Exp. Ther. 1994, 269, 867–880. [Google Scholar]
- Salvi, S. Health effects of ambient air pollution in children. Paediatr. Respir. Rev. 2007, 8, 275–280. [Google Scholar] [CrossRef]
- Selevan, S.G.; Kimmel, C.A.; Mendola, P. Identifying critical windows of exposure for children’s health. Environ. Health Perspect. 2000, 108, 451–455. [Google Scholar]
- Adolescent and Youth Situation Analysis Lao People’s Democratic Republic. Available online: https://lao.unfpa.org/sites/default/files/pub-pdf/Final_Eng_AYSA%20Report.pdf (accessed on 6 May 2020).
- Pronczuk-Garbino, J. Children’s health and the environment. A global perspective. Int. J. Public Health 2007, 52, 67–68. [Google Scholar]
- Carmi, N.; Arnon, S.; Orion, N. Transforming environmental knowledge into behavior: The mediating role of environmental emotions. J. Env. Educ. 2015, 46, 183–201. [Google Scholar] [CrossRef]
- Langer, A.; Meleis, A.; Knaul, F.M.; Atun, R.; Aran, M.; Arreola-Ornelas, H.; Bhutta, Z.A.; Binagwaho, A.; Bonita, R.; Caglia, J.M. Women and health: the key for sustainable development. Lancet 2015, 386, 1165–1210. [Google Scholar] [CrossRef]
- Training Modules and Instructions for Health-Care Providers. Available online: https://www.who.int/ceh/capacity/training_modules/en/ (accessed on 6 May 2020).
- Korea Environment Education Portal. Available online: https://www.keep.go.kr/portal/1 (accessed on 6 May 2020).
- Kahlor, L. PRISM: A planned risk information seeking model. Health Commun. 2010, 25, 345–356. [Google Scholar] [CrossRef] [PubMed]
- Yang, Z.J.; Aloe, A.M.; Feeley, T.H. Risk information seeking and processing model: A meta-analysis. J. Commun. 2014, 64, 20–41. [Google Scholar] [CrossRef]
- Mead, E.; Roser-Renouf, C.; Rimal, R.N.; Flora, J.A.; Maibach, E.W.; Leiserowitz, A. Information seeking about global climate change among adolescents: The role of risk perceptions, efficacy beliefs, and parental influences. Atl. J. Commun. 2012, 20, 31–52. [Google Scholar] [CrossRef]
- Bandura, A. Guide for constructing self-efficacy scales. Self Effic. Beliefs Adolesc. 2006, 5, 307–337. [Google Scholar]
- Brashers, D.E. Communication and uncertainty management. J. Commun. 2001, 51, 477–497. [Google Scholar] [CrossRef]
- Afifi, W.A.; Weiner, J.L. Toward a theory of motivated information management. Commun. Theory 2004, 14, 167–190. [Google Scholar] [CrossRef]
- Yang, J.Z.; Huang, J. Seeking for Your Own Sake: Chinese Citizens’ Motivations for Information Seeking About Air Pollution. Environ. Commun. 2019, 13, 603–616. [Google Scholar] [CrossRef]
- Griffin, R.J.; Yang, Z.; Ter Huurne, E.; Boerner, F.; Ortiz, S.; Dunwoody, S. After the flood: Anger, attribution, and the seeking of information. Sci. Commun. 2008, 29, 285–315. [Google Scholar] [CrossRef]
- Chasiotis, A.; Wedderhoff, O.; Rosman, T.; Mayer, A.-K. Psychometric analysis of a questionnaire measuring goals associated with health information seeking (GAINS). PsychArchives 2018. [Google Scholar] [CrossRef]
- Kaufman, A.R.; Persoskie, A.; Twesten, J.; Bromberg, J. A review of risk perception measurement in tobacco control research. Tob. Control 2020, 29, s50–s58. [Google Scholar] [CrossRef]
- Schwarzer, R.; Jerusalem, M. Generalized self-efficacy scale. Meas. Health Psychol. 1995, 1, 35–37. [Google Scholar]
- Waltz, C.F.; Strickland, O.L.; Lenz, E.R. Measurement in Nursing and Health Research; Springer: New York, NY, USA, 2010. [Google Scholar]
- Wang, X.; Blomberg, T.G.; Li, S.D. Comparison of the educational deficiencies of delinquent and nondelinquent students. Eval. Rev. 2005, 29, 291–312. [Google Scholar] [CrossRef] [PubMed]
- Carvalho, R.G.G. Gender differences in academic achievement: The mediating role of personality. Personal. Individ. Differ. 2016, 94, 54–58. [Google Scholar] [CrossRef]
- Kim, J. Gender Differences in the Educational Penalty of Delinquent Behavior: Evidence from an Analysis of Siblings. J. Quant. Criminol. 2020, 1–38. [Google Scholar] [CrossRef]
- Malik, K. Human development report 2013. The rise of the South: Human progress in a diverse world. Available online: http://hdr.undp.org/en/2013-report (accessed on 6 May 2020).
- Millennium Development Goals Progress Report Lao PDR 2008. Available online: https://www.la.undp.org/content/lao_pdr/en/home/library/mdg/millennium-development-goals--progress-report-lao-pdr-2008-.html (accessed on 6 May 2020).
- Gough, A.; Whitehouse, H. Centering gender on the agenda for environmental education research. J. Environ. Educ. 2019, 50, 332–347. [Google Scholar] [CrossRef]
- Flynn, J.; Slovic, P.; Mertz, C.K. Gender, race, and perception of environmental health risks. Risk Anal. 1994, 14, 1101–1108. [Google Scholar] [CrossRef] [PubMed]
- Finucane, M.L.; Slovic, P.; Mertz, C.K.; Flynn, J.; Satterfield, T.A. Gender, race, and perceived risk: The’white male’effect. Health Risk Soc. 2000, 2, 159–172. [Google Scholar] [CrossRef]
- Dupont, M.; Zufferey, S. Methodological issues in the use of directional parallel corpora: A case study of English and French concessive connectives. Int. J. Corpus Linguist. 2017, 22, 270–297. [Google Scholar] [CrossRef]


| Instrument | Question | Possible Range |
|---|---|---|
| Risk perception | 1. How great a risk do you consider air pollution and chemical exposure to be to people and society? | 1–7 a |
| 2. How afraid are you when you think of air pollution and chemical exposure? | ||
| 3. How harmful do you think air pollution and chemical exposure will be to the future development of society? | ||
| 4. How worried are you about air pollution and chemical exposure? | ||
| Self-efficacy | 1. I have confidence in my ability to understand relevant information about air pollution and chemical exposure. | |
| 2. I have confidence in my ability to search for relevant information about air pollution and chemical exposure. | ||
| 3. I have confidence in my ability to evaluate the reliability of relevant information about air pollution and chemical exposure. | ||
| Information seeking | 1. I intend to search for information about air pollution and chemical exposure. | |
| 2. I often focus on relevant information about air pollution and chemical exposure. | ||
| 3. I often search for relevant information about air pollution and chemical exposure. |
| Variables | Total (n = 578) | Experimental Group (n = 370) | Control Group (n = 208) | p-Value b | |
|---|---|---|---|---|---|
| School grade | 5th | 261 (45.2) | 180 (48.7) | 81 (38.9) | 0.02 |
| 6th | 317 (54.8) | 190 (51.4) | 127 (61.1) | ||
| Age (years) | 15.83 (0.96) | 15.85 (0.98) | 15.78 (0.92) | 0.36 | |
| Sex | Boy | 235 (40.7) | 162 (43.8) | 73 (35.1) | 0.04 |
| Girl | 343 (59.3) | 208 (56.2) | 135 (64.9) | ||
| BMI c | <18.5 | 64 (32) | 31 (31) | 33 (33) | 0.88 |
| 18.5–25 | 116 (58) | 58 (58) | 58 (58) | ||
| ≥25 | 20 (10) | 11 (11) | 9 (9) | ||
| Smoking | Never | 551 (95.7) | 350 (94.6) | 201 (97.6) | 0.02 |
| Ever | 25 (4.3) | 20 (5.4) | 5 (2.4) | ||
| Drinking | Never | 273 (47.6) | 188 (51.1) | 85 (41.3) | 0.09 |
| Ever | 301 (52.4) | 180 (48.9) | 121 (58.7) | ||
| Pre-Test Mean (SD) | Post-Test Mean (SD) | Main Effect | |||
|---|---|---|---|---|---|
| F Statistic | p-Value | Partial eta Squared () | |||
| Risk perception | 5.42 | 0.02 | 0.03 | ||
| Control group | 22.99 (3.19) | 22.57 (3.25) | |||
| Experimental group | 22.61 (4.00) | 23.38 (3.68) | |||
| Self-efficacy | 2.47 | 0.12 | 0.01 | ||
| Control group | 11.35 (3.42) | 12.80 (3.24) | |||
| Experimental group | 12.02 (3.42) | 13.87 (3.23) | |||
| Information seeking | 9.97 | <0.01 | 0.05 | ||
| Control group | 11.82 (3.54) | 12.74 (3.21) | |||
| Experimental group | 11.91 (3.64) | 13.83 (3.42) | |||
© 2020 by the authors. Licensee MDPI, Basel, Switzerland. This article is an open access article distributed under the terms and conditions of the Creative Commons Attribution (CC BY) license (http://creativecommons.org/licenses/by/4.0/).
Share and Cite
Shin, J.; Kim, H.H.-s.; Kim, E.M.; Choi, Y.; Ha, E. Impact of an Educational Program on Behavioral Changes toward Environmental Health among Laotian Students. Int. J. Environ. Res. Public Health 2020, 17, 5055. https://doi.org/10.3390/ijerph17145055
Shin J, Kim HH-s, Kim EM, Choi Y, Ha E. Impact of an Educational Program on Behavioral Changes toward Environmental Health among Laotian Students. International Journal of Environmental Research and Public Health. 2020; 17(14):5055. https://doi.org/10.3390/ijerph17145055
Chicago/Turabian StyleShin, Jiyoung, Harris Hyun-soo Kim, Eun Mee Kim, Yookyung Choi, and Eunhee Ha. 2020. "Impact of an Educational Program on Behavioral Changes toward Environmental Health among Laotian Students" International Journal of Environmental Research and Public Health 17, no. 14: 5055. https://doi.org/10.3390/ijerph17145055
APA StyleShin, J., Kim, H. H.-s., Kim, E. M., Choi, Y., & Ha, E. (2020). Impact of an Educational Program on Behavioral Changes toward Environmental Health among Laotian Students. International Journal of Environmental Research and Public Health, 17(14), 5055. https://doi.org/10.3390/ijerph17145055

