Association of Nap Duration after Lunch with Prevalence of Metabolic Syndrome in a Chinese Government Employee Population
Abstract
1. Introduction
2. Materials and Methods
2.1. Study Population
2.2. Ethics Approval and Informed Consent
2.3. Assessment of Nap Duration
2.4. Definition of Metabolic Syndrome
- (1)
- Elevated waist circumference: ≥85 cm in males or ≥80 cm in females;
- (2)
- Elevated triglycerides (drug treatment for elevated triglycerides is an alternate indicator): ≥150 mg/dL (1.7 mmol/L);
- (3)
- Reduced HDL-C (drug treatment for reduced HDL-C is an alternate indicator): <40 mg/dL (1.0 mmol/L) in males or <50 mg/dL (1.3 mmol/L) in females;
- (4)
- Elevated blood pressure (antihypertensive drug treatment in a patient with a history of hypertension is an alternate indicator): systolic blood pressure ≥130 and/or diastolic blood pressure ≥85 mm Hg;
- (5)
- Elevated fasting plasma glucose (drug treatment of elevated glucose is an alternate indicator): ≥100 mg/dL (5.6 mmol/L).
2.5. Measurement Methods
2.6. Covariates
2.7. Statistical Analyses
3. Results
3.1. Characteristics of Participants
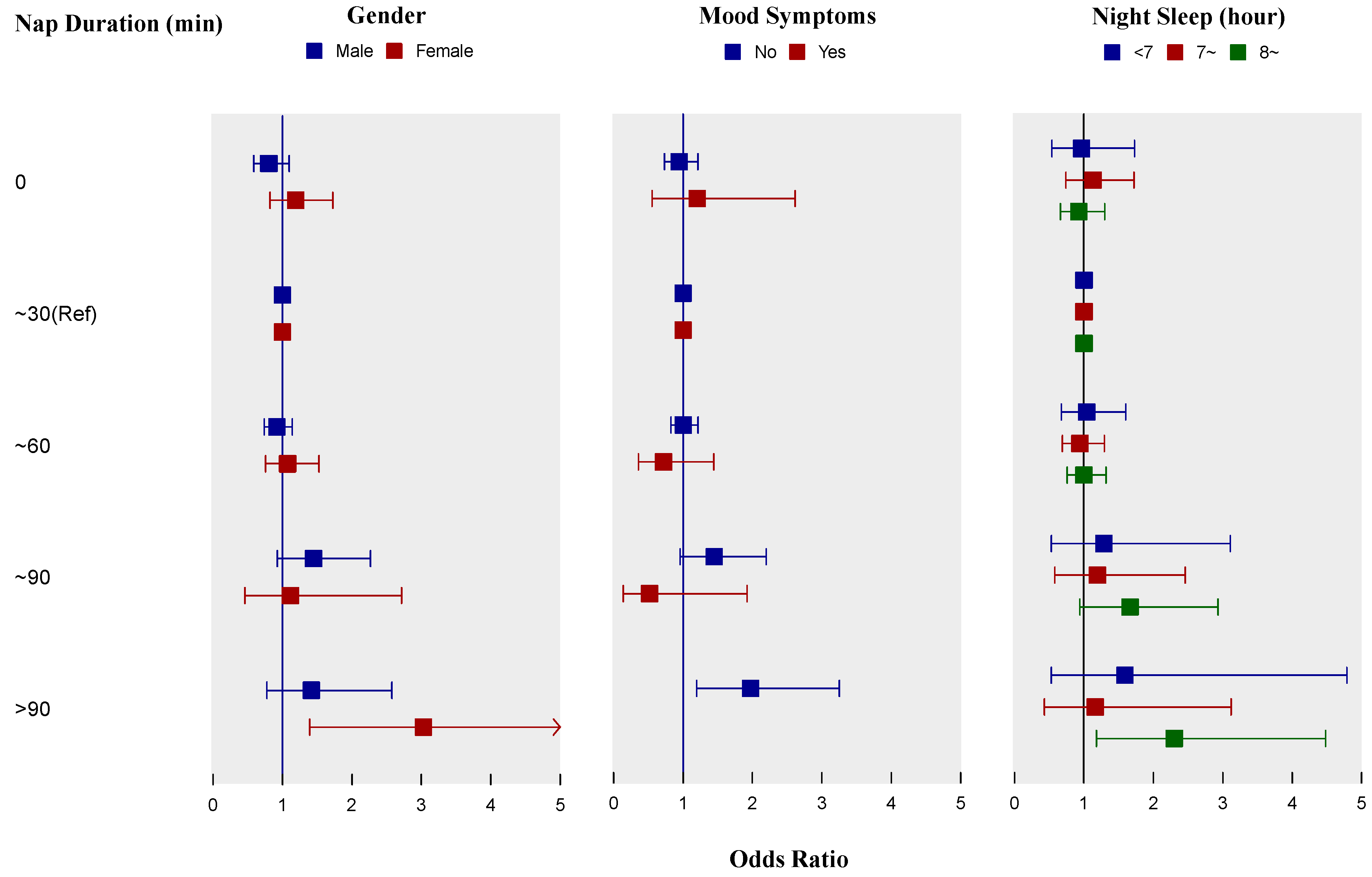
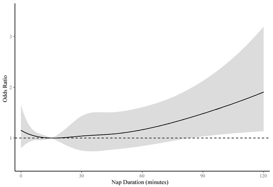
3.2. Association between Nap Duration after Lunch and Prevalence of Metabolic Syndrome
3.3. Associations between Nap Duration after Lunch and Metabolic Syndrome Components
3.4. Sensitivity Analyses
4. Discussion
5. Conclusions
Supplementary Materials
Author Contributions
Funding
Acknowledgments
Conflicts of Interest
Abbreviations
| SMS | Short Messaging Service; |
| HDL-C | high-density lipoprotein cholesterol; |
| PHQ-2 | Patient Health Questionnaire-2 |
| GAD-2 | General Anxiety Disorder-2 |
| PSQI | Pittsburgh sleep quality index |
| SD | standard deviation |
| OR | odds ratio |
| CIs | confidence intervals |
| RCS | restricted cubic spline |
| WC | waist circumference |
| TG | triglycerides |
| SBP | systolic blood pressure |
| DBP | diastolic blood pressure |
| FPG | fasting plasma glucose |
| BP | blood pressure |
References
- Eckel, R.H.; Grundy, S.M.; Zimmet, P.Z. The metabolic syndrome. Lancet 2005, 365, 1415–1428. [Google Scholar] [CrossRef]
- Sarafidis, P.A.; Nilsson, P.M. The metabolic syndrome: A glance at its history. J. Hypertens. 2006, 24, 621–626. [Google Scholar] [CrossRef] [PubMed]
- Cameron, A.J.; Shaw, J.E.; Zimmet, P.Z. The metabolic syndrome: Prevalence in worldwide populations. Endocrinol. Metab. Clin. North. Am. 2004, 33, 351–375. [Google Scholar] [CrossRef] [PubMed]
- Galassi, A.; Reynolds, K.; He, J. Metabolic syndrome and risk of cardiovascular disease: A meta-analysis. Am. J. Med. 2006, 119, 812–819. [Google Scholar] [CrossRef] [PubMed]
- Grundy, S.M.; Cleeman, J.I.; Daniels, S.R.; Donato, K.A.; Eckel, R.H.; Franklin, B.A.; Gordon, D.J.; Krauss, R.M.; Savage, P.J.; Smith, S.C., Jr.; et al. Diagnosis and management of the metabolic syndrome: An American Heart Association/National Heart, Lung, and Blood Institute Scientific Statement. Circulation 2005, 112, 2735–2752. [Google Scholar] [CrossRef] [PubMed]
- Grundy, S.M. Metabolic syndrome pandemic. Arter. Thromb. Vasc. Biol. 2008, 28, 629–636. [Google Scholar] [CrossRef] [PubMed]
- Gu, D.; Reynolds, K.; Wu, X.; Chen, J.; Duan, X.; Reynolds, R.F.; Whelton, P.K.; He, J. Prevalence of the metabolic syndrome and overweight among adults in China. Lancet 2005, 365, 1398–1405. [Google Scholar] [CrossRef]
- Third Report of the National Cholesterol Education Program (NCEP) Expert Panel on Detection, Evaluation, and Treatment of High Blood Cholesterol in Adults (Adult Treatment Panel III) final report. Circulation 2002, 106, 3143–3421. [CrossRef]
- Li, R.; Li, W.; Lun, Z.; Zhang, H.; Sun, Z.; Kanu, J.S.; Qiu, S.; Cheng, Y.; Liu, Y. Prevalence of metabolic syndrome in Mainland China: A meta-analysis of published studies. BMC Public Health 2016, 16, 296. [Google Scholar] [CrossRef]
- Lu, J.; Wang, L.; Li, M.; Xu, Y.; Jiang, Y.; Wang, W.; Li, J.; Mi, S.; Zhang, M.; Li, Y.; et al. Metabolic Syndrome among Adults in China: The 2010 China Noncommunicable Disease Surveillance. J. Clin. Endocrinol. Metab. 2017, 102, 507–515. [Google Scholar] [CrossRef]
- Li, Y.; Zhao, L.; Yu, D.; Wang, Z.; Ding, G. Metabolic syndrome prevalence and its risk factors among adults in China: A nationally representative cross-sectional study. PLoS ONE 2018, 13, e0199293. [Google Scholar] [CrossRef]
- Lucassen, E.A. To nap or not to nap: Is the Wujiao a healthy habit? Sleep Med. 2013, 14, 929–930. [Google Scholar] [CrossRef]
- Lovato, N.; Lack, L. The Effects of Napping on Cognitive Functioning. Prog Brain Res 2010, 185, 155–166. [Google Scholar] [CrossRef]
- Mantua, J.; Spencer, R.M.C. Exploring the nap paradox: Are mid-day sleep bouts a friend or foe? Sleep Med. 2017, 37, 88–97. [Google Scholar] [CrossRef] [PubMed]
- Blanchfield, A.W.; Lewis-Jones, T.M.; Wignall, J.R.; Roberts, J.B.; Oliver, S.J. The influence of an afternoon nap on the endurance performance of trained runners. Eur. J. Sport Sci. 2018, 18, 1177–1184. [Google Scholar] [CrossRef] [PubMed]
- Stone, K.L.; Ewing, S.K.; Ancoli-Israel, S.; Ensrud, K.E.; Redline, S.; Bauer, D.C.; Cauley, J.A.; Hillier, T.A.; Cummings, S.R. Self-reported sleep and nap habits and risk of mortality in a large cohort of older women. J. Am. Geriatr. Soc. 2009, 57, 604–611. [Google Scholar] [CrossRef]
- Chen, G.C.; Liu, M.M.; Chen, L.H.; Xu, J.Y.; Hidayat, K.; Li, F.R.; Qin, L.Q. Daytime napping and risk of type 2 diabetes: A meta-analysis of prospective studies. Sleep Breath 2018, 22, 815–824. [Google Scholar] [CrossRef]
- Cao, Z.; Shen, L.; Wu, J.; Yang, H.; Fang, W.; Chen, W.; Yuan, J.; Wang, Y.; Liang, Y.; Wu, T. The effects of midday nap duration on the risk of hypertension in a middle-aged and older Chinese population: A preliminary evidence from the Tongji-Dongfeng Cohort Study, China. J. Hypertens. 2014, 32, 1993–1998, discussion 1998. [Google Scholar] [CrossRef] [PubMed]
- Chen, G.; Tang, K.; Chen, F.; Wei, S.; Lin, F.; Yao, J.; Chen, L.; Huang, H.; Liang, J.; Li, L.; et al. Afternoon nap and nighttime sleep with risk of micro- and macrovascular disease in middle-aged and elderly population. Int. J. Cardiol. 2015, 187, 553–555. [Google Scholar] [CrossRef]
- Chen, G.; Chen, L.; Wen, J.; Yao, J.; Li, L.; Lin, L.; Tang, K.; Huang, H.; Liang, J.; Lin, W.; et al. Associations between sleep duration, daytime nap duration, and osteoporosis vary by sex, menopause, and sleep quality. J. Clin. Endocrinol. Metab. 2014, 99, 2869–2877. [Google Scholar] [CrossRef]
- Lin, M.; Su, Q.; Wen, J.; Wei, S.; Yao, J.; Huang, H.; Liang, J.; Li, L.; Lin, W.; Lin, L.; et al. Self-reported sleep duration and daytime napping are associated with renal hyperfiltration in general population. Sleep Breath 2018, 22, 223–232. [Google Scholar] [CrossRef] [PubMed]
- Lin, D.; Sun, K.; Li, F.; Qi, Y.; Ren, M.; Huang, C.; Tang, J.; Xue, S.; Li, Y.; Yan, L. Association between habitual daytime napping and metabolic syndrome: A population-based study. Metabolism 2014, 63, 1520–1527. [Google Scholar] [CrossRef] [PubMed]
- Wu, J.; Xu, G.; Shen, L.; Zhang, Y.; Song, L.; Yang, S.; Yang, H.; Liang, Y.; Wu, T.; Wang, Y. Daily sleep duration and risk of metabolic syndrome among middle-aged and older Chinese adults: Cross-sectional evidence from the Dongfeng-Tongji cohort study. BMC Public Health 2015, 15, 178. [Google Scholar] [CrossRef] [PubMed]
- Yang, L.; Xu, Z.; He, M.; Yang, H.; Li, X.; Min, X.; Zhang, C.; Xu, C.; Angileri, F.; Légaré, S.; et al. Sleep Duration and Midday Napping with 5-Year Incidence and Reversion of Metabolic Syndrome in Middle-Aged and Older Chinese. Sleep 2016, 39, 1911–1918. [Google Scholar] [CrossRef] [PubMed]
- Van der Pal, K.C.; Koopman, A.D.M.; Lakerveld, J.; van der Heijden, A.A.; Elders, P.J.; Beulens, J.W.; Rutters, F. The association between multiple sleep-related characteristics and the metabolic syndrome in the general population: The New Hoorn study. Sleep Med. 2018, 52, 51–57. [Google Scholar] [CrossRef]
- Yamada, T.; Shojima, N.; Yamauchi, T.; Kadowaki, T. J-curve relation between daytime nap duration and type 2 diabetes or metabolic syndrome: A dose-response meta-analysis. Sci. Rep. 2016, 6, 38075. [Google Scholar] [CrossRef]
- Sun, L.; Jiang, X.; Zhao, X.; Zhang, Y.; Xu, Y.; Shang, L. Physical activity level and associated factors among civil servants in Xi’an, China. J. Sci. Med. Sport 2016, 19, 647–653. [Google Scholar] [CrossRef]
- Lallukka, T.; Lahelma, E.; Rahkonen, O.; Roos, E.; Laaksonen, E.; Martikainen, P.; Head, J.; Brunner, E.; Mosdol, A.; Marmot, M.; et al. Associations of job strain and working overtime with adverse health behaviors and obesity: Evidence from the Whitehall II Study, Helsinki Health Study, and the Japanese Civil Servants Study. Soc. Sci. Med. 2008, 66, 1681–1698. [Google Scholar] [CrossRef]
- Alberti, K.G.; Eckel, R.H.; Grundy, S.M.; Zimmet, P.Z.; Cleeman, J.I.; Donato, K.A.; Fruchart, J.C.; James, W.P.; Loria, C.M.; Smith, S.C., Jr.; et al. Harmonizing the metabolic syndrome: A joint interim statement of the International Diabetes Federation Task Force on Epidemiology and Prevention; National Heart, Lung, and Blood Institute; American Heart Association; World Heart Federation; International Atherosclerosis Society; and International Association for the Study of Obesity. Circulation 2009, 120, 1640–1645. [Google Scholar] [CrossRef]
- Zhou, B.F. Predictive values of body mass index and waist circumference for risk factors of certain related diseases in Chinese adults--study on optimal cut-off points of body mass index and waist circumference in Chinese adults. Biomed. Environ. Sci. Bes 2002, 15, 83–96. [Google Scholar]
- Kroenke, K.; Spitzer, R.L.; Williams, J.B. The Patient Health Questionnaire-2: Validity of a two-item depression screener. Med. Care 2003, 41, 1284–1292. [Google Scholar] [CrossRef] [PubMed]
- Kroenke, K.; Spitzer, R.L.; Williams, J.B.; Monahan, P.O.; Löwe, B. Anxiety disorders in primary care: Prevalence, impairment, comorbidity, and detection. Ann. Intern. Med. 2007, 146, 317–325. [Google Scholar] [CrossRef] [PubMed]
- Buysse, D.J.; Reynolds, C.F.; Monk, T.H.; Berman, S.R.; Kupfer, D.J. The Pittsburgh Sleep Quality Index: A new instrument for psychiatric practice and research. Psychiatry Res 1989, 28, 193–213. [Google Scholar] [CrossRef]
- Desquilbet, L.; Mariotti, F. Dose-response analyses using restricted cubic spline functions in public health research. Stat. Med. 2010, 29, 1037–1057. [Google Scholar] [CrossRef]
- Groenwold, R.H.; Donders, A.R.; Roes, K.C.; Harrell, F.E., Jr.; Moons, K.G. Dealing with missing outcome data in randomized trials and observational studies. Am. J. Epidemiol. 2012, 175, 210–217. [Google Scholar] [CrossRef] [PubMed]
- Yamada, T.; Hara, K.; Shojima, N.; Yamauchi, T.; Kadowaki, T. Daytime Napping and the Risk of Cardiovascular Disease and All-Cause Mortality: A Prospective Study and Dose-Response Meta-Analysis. Sleep 2015, 38, 1945–1953. [Google Scholar] [CrossRef] [PubMed]
- Guo, V.Y.; Cao, B.; Wong, C.K.H.; Yu, E.Y.T. The association between daytime napping and risk of diabetes: A systematic review and meta-analysis of observational studies. Sleep Med. 2017, 37, 105–112. [Google Scholar] [CrossRef]
- Shi, S.Q.; Ansari, T.S.; McGuinness, O.P.; Wasserman, D.H.; Johnson, C.H. Circadian disruption leads to insulin resistance and obesity. Curr. Biol. 2013, 23, 372–381. [Google Scholar] [CrossRef]
- Gamble, K.L.; Berry, R.; Frank, S.J.; Young, M.E. Circadian clock control of endocrine factors. Nat. Rev. Endocrinol. 2014, 10, 466–475. [Google Scholar] [CrossRef]
- Poggiogalle, E.; Jamshed, H.; Peterson, C.M. Circadian regulation of glucose, lipid, and energy metabolism in humans. Metabolism 2018, 84, 11–27. [Google Scholar] [CrossRef]
- Irwin, M.R.; Olmstead, R.; Carroll, J.E. Sleep Disturbance, Sleep Duration, and Inflammation: A Systematic Review and Meta-Analysis of Cohort Studies and Experimental Sleep Deprivation. Biol. Psychiatry 2016, 80, 40–52. [Google Scholar] [CrossRef] [PubMed]
- Sesso, H.D.; Buring, J.E.; Rifai, N.; Blake, G.J.; Gaziano, J.M.; Ridker, P.M. C-reactive protein and the risk of developing hypertension. JAMA 2003, 290, 2945–2951. [Google Scholar] [CrossRef] [PubMed]
- Choi, J.; Joseph, L.; Pilote, L. Obesity and C-reactive protein in various populations: A systematic review and meta-analysis. Obes. Rev. Off. J. Int. Assoc. Study Obes. 2013, 14, 232–244. [Google Scholar] [CrossRef]
- Lorenzo, C.; Festa, A.; Hanley, A.J.; Rewers, M.J.; Escalante, A.; Haffner, S.M. Novel Protein Glycan-Derived Markers of Systemic Inflammation and C-Reactive Protein in Relation to Glycemia, Insulin Resistance, and Insulin Secretion. Diabetes Care 2017, 40, 375–382. [Google Scholar] [CrossRef] [PubMed]
- Cornier, M.A.; Dabelea, D.; Hernandez, T.L.; Lindstrom, R.C.; Steig, A.J.; Stob, N.R.; Van Pelt, R.E.; Wang, H.; Eckel, R.H. The metabolic syndrome. Endocr. Rev. 2008, 29, 777–822. [Google Scholar] [CrossRef] [PubMed]
- Borel, A.L. Sleep Apnea and Sleep Habits: Relationships with Metabolic Syndrome. Nutrients 2019, 11, 2628. [Google Scholar] [CrossRef]
- Mauvais-Jarvis, F. Gender differences in glucose homeostasis and diabetes. Physiol. Behav. 2018, 187, 20–23. [Google Scholar] [CrossRef]
- Ford, D.E.; Kamerow, D.B. Epidemiologic study of sleep disturbances and psychiatric disorders. An opportunity for prevention? JAMA 1989, 262, 1479–1484. [Google Scholar] [CrossRef]
- Breslau, N.; Roth, T.; Rosenthal, L.; Andreski, P. Sleep disturbance and psychiatric disorders: A longitudinal epidemiological study of young adults. Biol. Psychiatry 1996, 39, 411–418. [Google Scholar] [CrossRef]



| Characteristics | Non-Metabolic Syndrome | Metabolic Syndrome | p |
|---|---|---|---|
| N | 4244 | 885 | |
| Age (years), mean (SD) | 38.35 (8.96) | 44.59 (9.26) | <0.001 |
| Gender, female (%) | 2796 (65.9) | 229 (25.9) | <0.001 |
| Affiliations (%) | <0.001 | ||
| Government department | 265 (6.2) | 105 (11.9) | |
| Public institution | 2962 (69.8) | 470 (53.1) | |
| State-owned enterprise | 1017 (24.0) | 310 (35.0) | |
| Marital status (%) | <0.001 | ||
| Married/cohabitating | 3534 (83.3) | 815 (92.1) | |
| Unmarried | 592 (13.9) | 42 (4.7) | |
| Divorced/widowed | 118 (2.8) | 28 (3.2) | |
| Position levels (%) | <0.001 | ||
| Primary title/staff member/clerk | 1605 (37.8) | 252 (28.5) | |
| Intermediate title/section level | 1753 (41.3) | 350 (39.5) | |
| Senior title/division level or above | 886 (20.9) | 283 (32.0) | |
| Current smoking (%) | 376 (8.9) | 236 (26.7) | <0.001 |
| Current drinking (%) | 202 (4.8) | 152 (17.2) | <0.001 |
| Participating physical activity (%) | 2422 (57.1) | 563 (63.6) | <0.001 |
| Having mood symptoms (%) | 459 (10.8) | 67 (7.6) | 0.005 |
| Night sleep duration (h), mean (SD) | 7.56 (1.06) | 7.50 (0.98) | 0.131 |
| Using sleeping medication (%) | 158 (3.7) | 28 (3.2) | 0.477 |
| Night sleep quality (%) | <0.001 | ||
| Good | 1817 (42.8) | 404 (45.6) | |
| Fair | 1915 (45.1) | 420 (47.5) | |
| Bad | 512 (12.1) | 61 (6.9) | |
| Nap duration (min), mean (SD) | 30.46 (27.15) | 33.67 (28.59) | 0.002 |
| WC (cm), mean (SD) | 76.32 (8.42) | 89.85 (7.18) | <0.001 |
| TG (mmol/L), mean (SD) | 1.12 (0.73) | 2.85 (2.49) | <0.001 |
| HDL-C (mmol/L), mean (SD) | 1.48 (0.30) | 1.13 (0.22) | <0.001 |
| SBP (mmHg), mean (SD) | 114.26 (12.16) | 129.68 (13.70) | <0.001 |
| DBP (mmHg), mean (SD) | 69.12 (9.28) | 81.10 (10.64) | <0.001 |
| FPG (mmol/L), mean (SD) | 5.20 (0.63) | 6.20 (1.77) | <0.001 |
| Components | Nap Duration (min) | ||||
|---|---|---|---|---|---|
| 0 | ~30 | ~60 | ~90 | >90 | |
| All | |||||
| Elevated WC | 0.98 (0.82, 1.17) | 1.00 | 1.00 (0.86, 1.16) | 1.31 (0.94, 1.83) | 1.55 (1.02, 2.35) |
| Elevated TG | 0.91 (0.74, 1.13) | 1.00 | 0.93 (0.78, 1.09) | 1.48 (1.04, 2.11) | 1.25 (0.79, 2.00) |
| Reduced HDL-C | 1.14 (0.94, 1.39) | 1.00 | 0.97 (0.82, 1.16) | 1.14 (0.78, 1.68) | 1.23 (0.77, 1.96) |
| Elevated BP | 1.01 (0.81, 1.26) | 1.00 | 0.97 (0.82, 1.15) | 1.12 (0.76, 1.65) | 1.12 (0.68, 1.85) |
| Elevated FPG | 1.01 (0.83, 1.24) | 1.00 | 0.94 (0.80, 1.11) | 0.93 (0.64, 1.35) | 1.59 (1.02, 2.47) |
| Female | |||||
| Elevated WC | 1.05 (0.83, 1.33) | 1.00 | 1.07 (0.86, 1.34) | 1.31 (0.80, 2.15) | 2.12 (1.22, 3.70) |
| Elevated TG | 1.07 (0.78, 1.47) | 1.00 | 1.04 (0.77, 1.40) | 0.85 (0.38, 1.91) | 1.73 (0.81, 3.67) |
| Reduced HDL-C | 1.21 (0.96, 1.53) | 1.00 | 1.01 (0.81, 1.25) | 1.10 (0.66, 1.83) | 1.11 (0.61, 2.03) |
| Elevated BP | 1.06 (0.76, 1.48) | 1.00 | 1.09 (0.80, 1.48) | 1.04 (0.47, 2.31) | 0.63 (0.19, 2.09) |
| Elevated FPG | 1.07 (0.82, 1.39) | 1.00 | 1.03 (0.81, 1.32) | 1.08 (0.59, 1.97) | 2.53 (1.41, 4.53) |
| Male | |||||
| Elevated WC | 0.91 (0.68, 1.20) | 1.00 | 0.93 (0.76, 1.13) | 1.28 (0.81, 2.01) | 1.11 (0.62, 2.01) |
| Elevated TG | 0.77 (0.58, 1.03) | 1.00 | 0.87 (0.71, 1.06) | 1.87 (1.21, 2.91) | 1.09 (0.61, 1.94) |
| Reduced HDL-C | 0.93 (0.62, 1.40) | 1.00 | 0.89 (0.67, 1.20) | 1.16 (0.64, 2.11) | 1.32 (0.63, 2.76) |
| Elevated BP | 0.95 (0.71, 1.27) | 1.00 | 0.93 (0.75, 1.14) | 1.14 (0.73, 1.79) | 1.48 (0.82, 2.67) |
| Elevated FPG | 0.99 (0.73, 1.35) | 1.00 | 0.87 (0.69, 1.08) | 0.84 (0.52, 1.35) | 0.97 (0.51, 1.86) |
© 2020 by the authors. Licensee MDPI, Basel, Switzerland. This article is an open access article distributed under the terms and conditions of the Creative Commons Attribution (CC BY) license (http://creativecommons.org/licenses/by/4.0/).
Share and Cite
He, J.; Ouyang, F.; Qiu, D.; Duan, Y.; Luo, D.; Xiao, S. Association of Nap Duration after Lunch with Prevalence of Metabolic Syndrome in a Chinese Government Employee Population. Int. J. Environ. Res. Public Health 2020, 17, 4268. https://doi.org/10.3390/ijerph17124268
He J, Ouyang F, Qiu D, Duan Y, Luo D, Xiao S. Association of Nap Duration after Lunch with Prevalence of Metabolic Syndrome in a Chinese Government Employee Population. International Journal of Environmental Research and Public Health. 2020; 17(12):4268. https://doi.org/10.3390/ijerph17124268
Chicago/Turabian StyleHe, Jun, Feiyun Ouyang, Dan Qiu, Yanying Duan, Dan Luo, and Shuiyuan Xiao. 2020. "Association of Nap Duration after Lunch with Prevalence of Metabolic Syndrome in a Chinese Government Employee Population" International Journal of Environmental Research and Public Health 17, no. 12: 4268. https://doi.org/10.3390/ijerph17124268
APA StyleHe, J., Ouyang, F., Qiu, D., Duan, Y., Luo, D., & Xiao, S. (2020). Association of Nap Duration after Lunch with Prevalence of Metabolic Syndrome in a Chinese Government Employee Population. International Journal of Environmental Research and Public Health, 17(12), 4268. https://doi.org/10.3390/ijerph17124268

