Strength Decrease, Perceived Physical Exertion and Endurance Time for Backpacking Tasks
Abstract
1. Introduction
2. Methods
2.1. Human Participants
2.2. Apparatus
2.3. Experimental Conditions
2.3.1. Load Carried
2.3.2. Walking Speed
2.3.3. Ramp Angle
2.4. Procedure
2.5. MET Modeling
2.6. Experiment Design and Data Analysis
3. Results
3.1. Descriptive Statistics
3.2. ANOVA Results
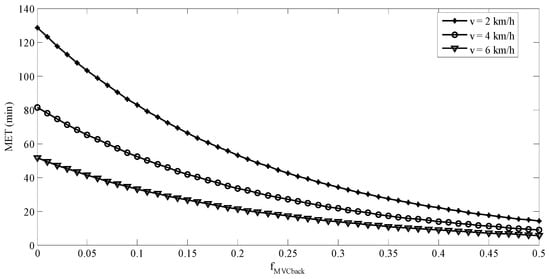
3.3. MET Modeling
4. Discussion
5. Conclusions
Author Contributions
Funding
Acknowledgments
Conflicts of Interest
References
- Institute for Labor and Occupational Safety and Health (ILOSH). Local Study on Ergonomic and Musculoskeletal Health Assessments; Technical Report 2014, ILOSH103-3083; ILOSH: Taipei, Taiwan, 2014. (In Chinese)
- Institute for Labor and Occupational Safety and Health (ILOSH). Ergonomic Risk Assessments for Specific Occupation; Technical Report 2015, ILOSH103-H308; ILOSH: Taipei, Taiwan, 2014. (In Chinese)
- Snook, S.H. The design of manual handling tasks. Ergonomics 1978, 21, 963–985. [Google Scholar] [CrossRef] [PubMed]
- Dempsey, P.G.; Hashemi, L. Analysis of workers’ compensation claims associated with manual materials handling. Ergonomics 1999, 42, 183–195. [Google Scholar] [CrossRef] [PubMed]
- Waters, T.R.; Dick, R.B.; Davis-Barkley, J.; Krieg, E.F. A cross-sectional study of risk factors for musculoskeletal symptoms in the workplace using data from the General Social Survey (GSS). J. Occup. Environ. Med. 2007, 49, 172–184. [Google Scholar] [CrossRef]
- Chaffin, D.B.; Andres, R.O.; Garg, A. Volitional postures during maximal push/pull exertions in the sagittal plane. Hum. Factors 1983, 25, 541–550. [Google Scholar] [CrossRef] [PubMed]
- Mamansari, D.U.; Salokhe, V.M. Static strength and physical work capacity of agricultural labourers in the central plain of Thailand. Appl. Ergon. 1996, 27, 53–60. [Google Scholar] [CrossRef]
- Bigland-Ritchie, B.; Woods, J.J. Changes in muscle contractile properties and neural control during human muscular fatigue. Muscle Nerve 1984, 7, 691–699. [Google Scholar] [CrossRef] [PubMed]
- Enoka, R.M.; Duchateau, J. Muscle fatigue: What, why and how it influences muscle function. J. Physiol. 2008, 586, 11–23. [Google Scholar] [CrossRef]
- Ma, L.; Zhang, W.; Hu, B.; Chablatt, D.; Bennis, F.; Guillaume, F. Determination of subject-specific muscle fatigue rates under static fatiguing operations. Ergonomics 2013, 56, 1889–1900. [Google Scholar] [CrossRef]
- Vøllestad, N. Measurement of human muscle fatigue. J. Neurosci. Methods 1997, 74, 219–227. [Google Scholar] [CrossRef]
- Edwards, R.H. Human muscle function and fatigue. Ciba Found. Symp. 1981, 82, 1–18. [Google Scholar] [PubMed]
- Booth, F.W.; Thomason, D.B. Molecular and cellular adaptation of muscle in response to exercise: Perspectives of various models. Physiol. Rev. 1991, 71, 541–585. [Google Scholar] [CrossRef]
- Ma, L.; Chablatt, D.; Bennis, F.; Zhang, W. A new simple dynamic muscle fatigue model and its validation. Int. J. Ind. Ergon. 2009, 39, 211–220. [Google Scholar] [CrossRef]
- Roman-Liu, D.; Tokarski, T.; Kowalewski, R. Decrease of force capabilities as an index of upper limb fatigue. Ergonomics 2005, 48, 930–948. [Google Scholar] [CrossRef]
- Roman-Liu, D.; Tokarski, T.; Wojcik, K. Quantitative assessment of upper limb muscle fatigue depending on the conditions of repetitive task load. J. Electromyogr. Kinesiol. 2004, 14, 671–682. [Google Scholar] [CrossRef]
- Iridiastadi, H.; Nussbaum, M. Muscle fatigue and endurance during repetitive intermittent static efforts: development of prediction models. Ergonomics 2006, 49, 344–360. [Google Scholar] [CrossRef]
- Wood, D.; Fisher, D.; Andres, R. Minimizing fatigue during repetitive jobs: Optimal work-rest schedules. Hum. Factors 1997, 39, 83–101. [Google Scholar] [CrossRef]
- Ma, L.; Chablatt, D.; Bennis, F.; Zhang, W.; Hu, B.; Guillaume, F. A novel approach for determining fatigue resistances of different muscle groups in static cases. Int. J. Ind. Ergon. 2011, 41, 10–18. [Google Scholar] [CrossRef][Green Version]
- Zhang, Z.; Li, K.W.; Zhang, W.; Ma, L.; Chen, Z. Muscular fatigue and maximum endurance time assessment for male and female industrial workers. Int. J. Ind. Ergon. 2014, 44, 292–297. [Google Scholar] [CrossRef]
- Li, K.W.; Wang, C.W.; Yu, R. Modeling of Predictive Muscular Strength for Sustained One-Handed Carrying Task. Work 2015, 52, 911–919. [Google Scholar] [CrossRef]
- Li, K.W.; Chiu, W.-S. Isometric Arm Strength and Subjective Rating of Upper Limb Fatigue in Two-Handed Carrying Tasks. PLoS ONE 2015, 10, e0119550. [Google Scholar] [CrossRef]
- El Ahrache, K.; Imbeau, D.; Farbos, B. Percentile values for determining maximum endurance times for static muscular work. Int. J. Ind. Ergon. 2006, 36, 99–108. [Google Scholar] [CrossRef]
- Kahn, J.F.; Monod, H. Fatigue induced by static work. Ergonomics 1989, 32, 839–846. [Google Scholar] [CrossRef]
- Avin, K.G.; Naughton, M.R.; Ford, B.W.; Moore, H.E.; Monitto-Webber, M.N.; Stark, A.M.; Gentile, A.J.; Frey Law, L.A. Sex differences in fatigue resistance are muscle group dependent. Med. Sci. Sports Exerc. 2010, 42, 1943–1950. [Google Scholar] [CrossRef]
- Bishu, R.; Kim, B.; Klute, G. Force-endurance relationship: Does it matter if gloves are donned? Appl. Ergon. 1995, 26, 179–185. [Google Scholar] [CrossRef]
- Frey Law, L.A.; Avin, K.G. Endurance time is joint-specific: A modelling and meta-analysis investigation. Ergonomics 2010, 53, 109–129. [Google Scholar] [CrossRef]
- Garg, A.; Hegmann, K.T.; Schwoerer, B.J.; Kapellusch, J.M. The effect of maximum voluntary contraction on endurance times for the shoulder girdle. Int. J. Ind. Ergon. 2002, 30, 103–113. [Google Scholar] [CrossRef]
- Manenica, I. A technique for postural load assessment. In The Ergonomics of Working Postures; Corlett, N., Wilson, J., Manenica, I., Eds.; Taylor & Francis: London, UK, 1986; pp. 270–277. [Google Scholar]
- Mathiassen, S.E.; Ahsberg, E. Prediction of shoulder flexion endurance from personal factors. Int. J. Ind. Ergon. 1999, 24, 315–329. [Google Scholar] [CrossRef]
- Rohmert, W. Problems in determining rest allowances Part 1: Use of modern methods to evaluate stress and strain in static muscular work. Appl. Ergon. 1973, 4, 91–95. [Google Scholar] [CrossRef]
- Rohmert, W.; Wangenheim, M.; Mainzer, J.; Zipp, P.; Lesser, W. A study stressing the need for a static postural force model for work analysis. Ergonomics 1986, 29, 1235–1249. [Google Scholar] [CrossRef]
- Rose, L.; Ericsson, M.; Glimskar, B.; Nordgren, B.; Ortengren, R. Ergo-Index. Development of a model to determine pause needs after fatigue and pain reactions during work. In Computer Application in Ergonomics, Occupational Safety and Health; Mattila, M., Karwowski, W., Eds.; Elsevier Science Publishers: Amsterdam, The Netherlands, 1992; pp. 461–468. [Google Scholar]
- Van Dieen, J.H.; Oude Vrielink, H.H.E. The use of the relation between relative force and endurance time. Ergonomics 1994, 37, 231–243. [Google Scholar] [CrossRef]
- Li, K.W.; Peng, L.; Yi, C. Modeling of maximum endurance time for one-handed carrying tasks. Hum. Factors Man. 2019, in press. [Google Scholar] [CrossRef]
- Liu, B.; Ma, L.; Chen, C.; Zhang, Z. Experimental validation of a subject-specific maximum endurance time model. Ergonomics 2018, 61, 806–817. [Google Scholar] [CrossRef]
- Liu, B.; Ma, L.; Zhang, W.; Zhang, Z. Subject-specific hand grip fatigability indicator determined using parameter identification technique. Hum. Factors Man. 2019, 29, 86–94. [Google Scholar] [CrossRef]
- Perrone, M.; Orr, R.; Hing, W.; Milne, N.; Pope, R. The impact of backpack loads on school children: A critical narrative review. Int. J. Environ. Res. Public Health 2018, 15, 2529. [Google Scholar] [CrossRef]
- Joseph, A.; Wiley, A.; Orr, R.; Schram, B.; Dawes, J.J. The impact of load carriage on measures of power and agility in tactical occupations: A critical review. Int. J. Environ. Res. Public Health 2018, 15, 88. [Google Scholar] [CrossRef]
- Borg, G. Psychophysical bases of perceived exertion. Med. Sci. Sports Exerc. 1982, 14, 377–381. [Google Scholar] [CrossRef]
- Borg, G. Psychophysical scaling with applications in physical work and the perception of exertion. Scan. J. Work Environ. Health 1990, 16, 55–58. [Google Scholar] [CrossRef]
- Ayoub, M.M.; Mital, A. Manual Materials Handling; Taylor & Francis: London, UK, 1989; pp. 229–233. [Google Scholar]
- Brooks, A.G.; Gunn, S.M.; Withers, R.T.; Gore, C.J.; Plummer, J.L. Predicting Walking METs and Energy Expenditure from Speed or Accelerometry. Med. Sci. Sports Exerc. 2005, 37, 1216–1223. [Google Scholar] [CrossRef]
- Haisman, M.F. Determinants of load carrying ability. Appl. Ergon. 1988, 19, 111–121. [Google Scholar] [CrossRef]
- Garg, A.; Chaffin, D.B.; Herrin, G.D. Prediction of metabolic rates for manual materials handling jobs. Am. Ind. Hyg. Assoc. J. 1978, 39, 661–674. [Google Scholar] [CrossRef]
- Yi, C.; Tang, F.; Peng, L.; Li, K.W.; Ma, L.; Hu, H. Modeling of Maximum Endurance Time for Static Pulling Tasks. Work 2018, 60, 455–463. [Google Scholar] [CrossRef]
- Yi, C.; Li, K.W.; Tang, F.; Ma, L.; Hu, H.; Zuo, H. Modeling of Maximum endurance time for two-handed truck pulling tasks. PLoS ONE 2018, 13, e0207283. [Google Scholar]
- Jorgensen, K.; Fallentin, N.; Krogh-Lund, C.; Jensen, B. Electromyography and fatigue during prolonged, low-level static contractions. Eur. J. Appl. Physiol. 1988, 57, 316–321. [Google Scholar] [CrossRef]
- Rose, L.; Ericsson, M.; Ortengren, R. Endurance time, pain and resumption in passive loading of the elbow joint. Ergonomics 2000, 43, 405–420. [Google Scholar] [CrossRef]









| Basic Characteristics | Male (n = 10) | Female (n = 6) |
|---|---|---|
| Age (years) | 21.3 (1.7) | 22.3 (3.4) |
| Stature (cm) | 172.5 (5.3) | 166.8 (3.8) |
| Body weight (kg) | 67.4 (11.8) | 55.7 (3.3) |
| Heart rate at rest (bpm) | 82.5 (10.4) | 90.5 (8.0) |
| Isometric leg strength (kgf) | 62.8 (15.8) | 52.7 (9.3) |
| Isometric back strength (kgf) | 61.8 (17.2) | 50.4 (7.1) |
| Variable | MET | RPE | HR Increase |
|---|---|---|---|
| Weight carried | −0.49 * | 0.47 * | - |
| Walking speed HRa | −0.41 * −0.46 * | 0.31 * 0.30 * | 0.62 * |
© 2019 by the authors. Licensee MDPI, Basel, Switzerland. This article is an open access article distributed under the terms and conditions of the Creative Commons Attribution (CC BY) license (http://creativecommons.org/licenses/by/4.0/).
Share and Cite
Li, K.W.; Chu, J.C.; Chen, C.C. Strength Decrease, Perceived Physical Exertion and Endurance Time for Backpacking Tasks. Int. J. Environ. Res. Public Health 2019, 16, 1296. https://doi.org/10.3390/ijerph16071296
Li KW, Chu JC, Chen CC. Strength Decrease, Perceived Physical Exertion and Endurance Time for Backpacking Tasks. International Journal of Environmental Research and Public Health. 2019; 16(7):1296. https://doi.org/10.3390/ijerph16071296
Chicago/Turabian StyleLi, Kai Way, Jenn Chun Chu, and Ching Chung Chen. 2019. "Strength Decrease, Perceived Physical Exertion and Endurance Time for Backpacking Tasks" International Journal of Environmental Research and Public Health 16, no. 7: 1296. https://doi.org/10.3390/ijerph16071296
APA StyleLi, K. W., Chu, J. C., & Chen, C. C. (2019). Strength Decrease, Perceived Physical Exertion and Endurance Time for Backpacking Tasks. International Journal of Environmental Research and Public Health, 16(7), 1296. https://doi.org/10.3390/ijerph16071296

