A Semi-distributed Model for Predicting Faecal Coliform in Urban Stormwater by Integrating SWMM and MOPUS
Abstract
1. Introduction
2. Materials and Methods
2.1. Site Description and Data Collection
2.2. Description of the SWMM and MOPUS Models
2.2.1. SWMM
2.2.2. MOPUS
2.3. Development of the MOPUS_S Model
2.4. Calibration and Validation
3. Results
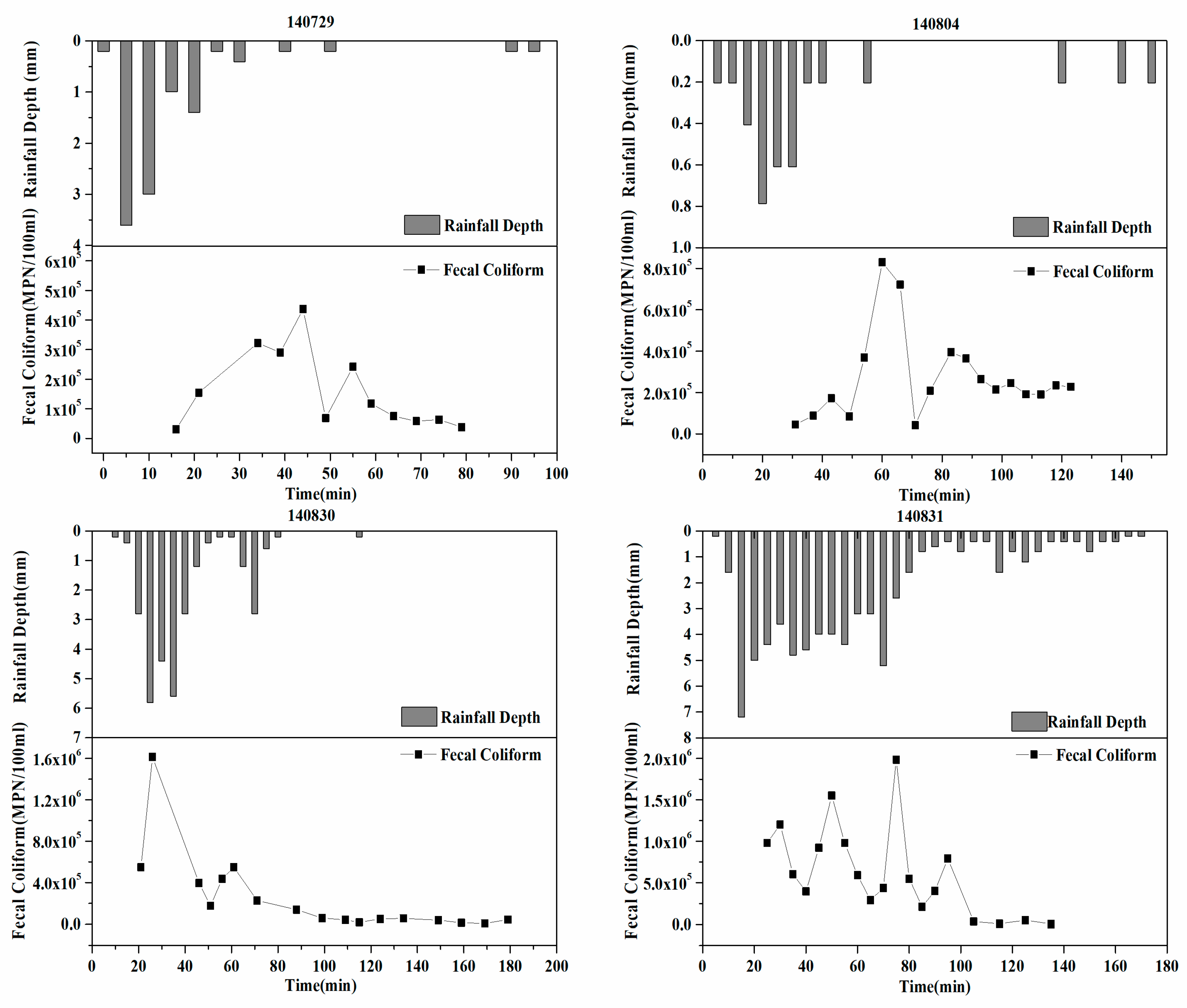
3.1. Contamination Characteristics of FC in the Stormwater Pipeline
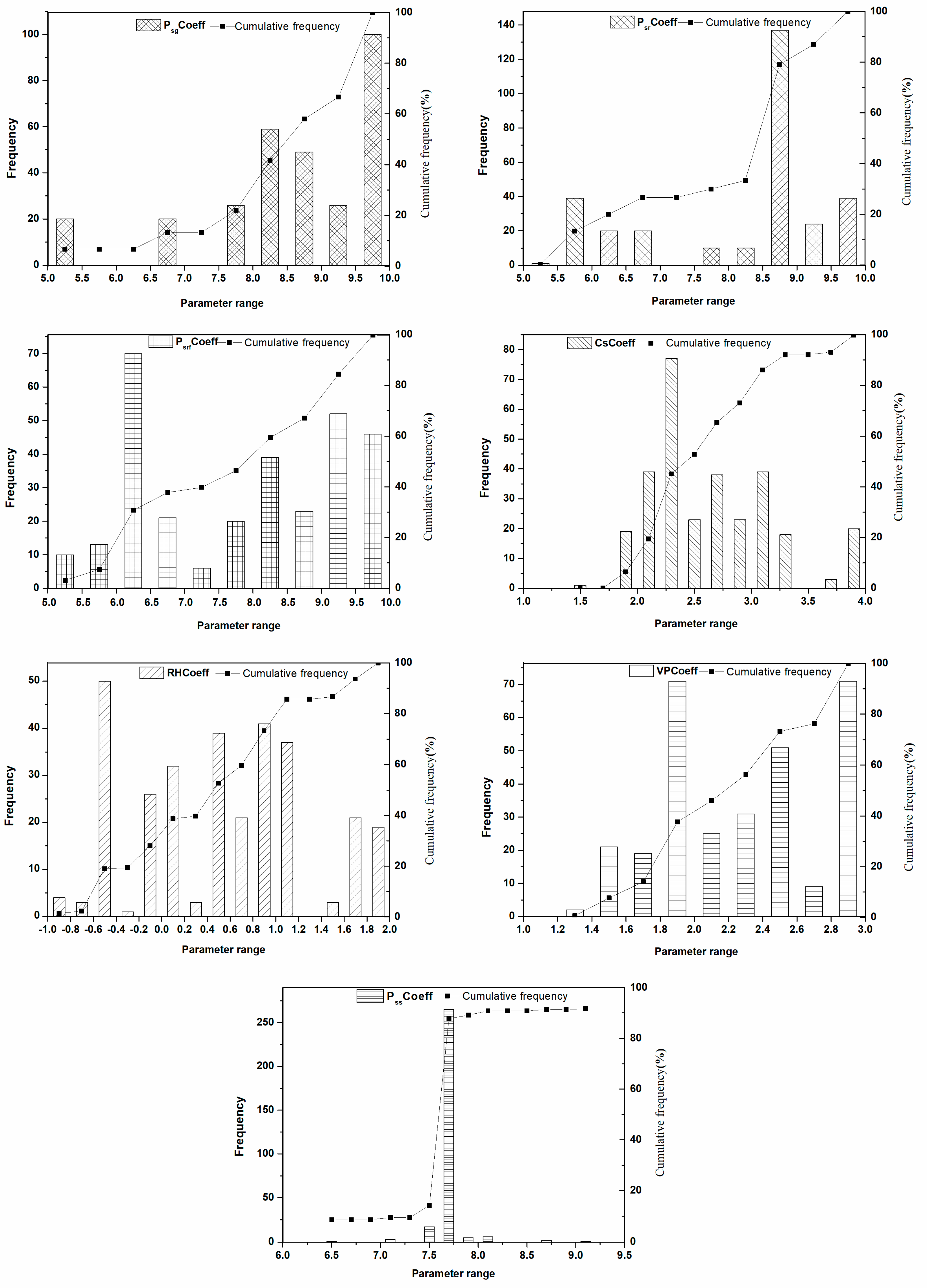
3.2. Parameter Refinement and Localization
3.3. Performance of MOPUS_S
4. Conclusions
- (1)
- MOPUS_S’s outputs were quite sensitive to the change in and . The sensitivity of the accumulation parameters for different land uses varied largely. The parameters associated with the microorganism survival processes, including RHCoeff and VPCoeff, were identified as the least sensitive parameters.
- (2)
- The MOPUS_S model showed comparable performance to that of MOPUS and other rural based bacterial models. Considering substantial uncertainty and insufficient information related to bacterial modelling, the simulation performance is acceptable.
- (3)
- The model performance varied largely between rainfall events and showed better performance if the low and medium FC concentrations were obtained. This emphasizes the significant impact of measurement uncertainty related to peak concentrations.
Author Contributions
Funding
Acknowledgments
Conflicts of Interest
References
- Mcintyre, J.K.; Davis, J.W.; Hinman, C.; Macneale, K.H.; Anulacion, B.F.; Scholz, N.L.; Stark, J.D. Soil bioretention protects juvenile salmon and their prey from the toxic impacts of urban stormwater runoff. Chemosphere 2015, 132, 213–219. [Google Scholar] [CrossRef] [PubMed]
- Petrucci, G.; Gromaire, M.C.; Shorshani, M.F.; Chebbo, G. Nonpoint source pollution of urban stormwater runoff: A methodology for source analysis. Environ. Sci. Pollut. Res. 2014, 21, 10225–10242. [Google Scholar] [CrossRef] [PubMed]
- USEPA. National Summary of Impaired Waters and TMDL Information. Available online: https://iaspub.epa.gov/waters10/attains_nation_cy.control?p_report_type=T#causes_303d (accessed on 17 July 2018).
- Vitro, K.A.; BenDor, T.K.; Jordanova, T.V.; Miles, B. A geospatial analysis of land use and stormwater management on fecal coliform contamination in North Carolina streams. Sci. Total Environ. 2017, 603, 709–727. [Google Scholar] [CrossRef] [PubMed]
- Cizek, A.R.; Characklis, G.W.; Krometis, L.A.; Hayes, J.A.; Iii, O.D.S.; Lonardo, S.D.; Alderisio, K.A.; Sobsey, M.D. Comparing the partitioning behavior of Giardia and Cryptosporidium with that of indicator organisms in stormwater runoff. Water Res. 2008, 42, 4421–4438. [Google Scholar] [CrossRef] [PubMed]
- Murphy, H.; Meng, Z.; Henry, R.; Deletic, A.; Mccarthy, D. Current stormwater harvesting guidelines are inadequate for mitigating risk from Campylobacter during non-potable reuse activities. Environ. Sci. Technol. 2017, 51, 12498–12507. [Google Scholar] [CrossRef] [PubMed]
- Rajal, V.B.; Mcswain, B.S.; Thompson, D.E.; Leutenegger, C.M.; Wuertz, S. Molecular quantitative analysis of human viruses in California stormwater. Water Res. 2007, 41, 4287–4298. [Google Scholar] [CrossRef] [PubMed]
- Sidhu, J.P.; Hodgers, L.; Ahmed, W.; Chong, M.N.; Toze, S. Prevalence of human pathogens and indicators in stormwater runoff in Brisbane, Australia. Water Res. 2012, 46, 6652–6660. [Google Scholar] [CrossRef]
- McCarthy, D.T.; Deletic, A.; Mitchell, V.G.; Diaper, C. Development and testing of a model for Micro-Organism Prediction in Urban Stormwater (MOPUS). J. Hydrol. 2011, 409, 236–247. [Google Scholar] [CrossRef]
- Paulemercado, M.A.; Ventura, J.S.; Memon, S.A.; Jahng, D.; Kang, J.H.; Lee, C.H. Monitoring and predicting the fecal indicator bacteria concentrations from agricultural, mixed land use and urban stormwater runoff. Sci. Total Environ. 2016, 550, 1171–1181. [Google Scholar] [CrossRef]
- Burton, G.; Pitt, R.N. Stormwater Effects Handbook: A Toolbox for Watershed Managers, Scientists and Engineers; CRC Press: Boca Raton, FL, USA, 2001. [Google Scholar]
- Haydon, S.; Deletic, A. Development of a coupled pathogen-hydrologic catchment model. J. Hydrol. 2006, 328, 467–480. [Google Scholar] [CrossRef]
- He, Z.L. Water quality prediction of marine recreational beaches receiving watershed baseflow and stormwater runoff in southern California, USA. Water Res. 2008, 42, 2563–2573. [Google Scholar] [CrossRef] [PubMed]
- Oliver, D.M.; Porter, K.D.H.; Pachepsky, Y.A.; Muirhead, R.W.; Reaney, S.M.; Coffey, R.; Kay, D.; Milledge, D.G.; Hong, E.; Anthony, S.G. Predicting microbial water quality with models: Over-arching questions for managing risk in agricultural catchments. Sci. Total Environ. 2016, 544, 39–47. [Google Scholar] [CrossRef] [PubMed]
- Reder, K.; Flörke, M.; Alcamo, J. Modeling historical fecal coliform loadings to large European rivers and resulting in-stream concentrations. Environ. Model. Softw. 2015, 63, 251–263. [Google Scholar] [CrossRef]
- Obropta, C.C.; Kardos, J.S. Review of urban stormwater quality models: Deterministic, stochastic, and hybrid approaches. J. Am. Water Resour. Assoc. 2007, 43, 1508–1523. [Google Scholar] [CrossRef]
- Grayson, R.; Blöschl, G.; Grayson, R.; Blöschl, G. Spatial Patterns in Catchment Hydrology: Observations and Modelling; Cambridge University Press: Cambridge, UK, 2001; pp. 124–125. [Google Scholar]
- Chen, L.; Gong, Y.; Shen, Z. Structural uncertainty in watershed phosphorus modeling: Toward a stochastic framework. J. Hydrol. 2016, 537, 36–44. [Google Scholar] [CrossRef]
- Rosa, D.J.; Clausen, J.C.; Dietz, M.E. Calibration and Verification of SWMM for Low Impact Development. JAWRA J. Am. Water Resour. Assoc. 2015, 51, 746–757. [Google Scholar] [CrossRef]
- Tian, Y.; Zheng, Y.; Wu, B.; Wu, X.; Liu, J.; Zheng, C. Modeling surface water-groundwater interaction in arid and semi-arid regions with intensive agriculture. Environ. Model. Softw. 2015, 63, 170–184. [Google Scholar] [CrossRef]
- Zhao, D.; Chen, J.; Wang, H.; Tong, Q.; Cao, S.; Sheng, Z. GIS-based urban rainfall-runoff modeling using an automatic catchment-discretization approach: A case study in Macau. Environ. Earth Sci. 2009, 59, 465–472. [Google Scholar]
- Hathaway, J.M.; Hunt, W.F.; Mccarthy, D.T. Variability of Intra-event Statistics for Multiple Fecal Indicator Bacteria in Urban Stormwater. Water Resour. Manag. 2015, 29, 1–15. [Google Scholar] [CrossRef]
- Gronewold, A.D.; Wolpert, R.L. Modeling the relationship between most probable number (MPN) and colony-forming unit (CFU) estimates of fecal coliform concentration. Water Res. 2008, 42, 3327–3334. [Google Scholar] [CrossRef]
- Rossman, L.A. Storm Water Management Model User’s Manual, version 5.0; National Risk Management Research Laboratory, Office of Research and Development, US Environmental Protection Agency: Washington, DC, USA, 2010. [Google Scholar]
- Huber, W.C.; Dickinson, R.E. Stormwater Management Model, Version 4, Part A: User’s Manual; US Environmental Protection Agency: Washington, DC, USA, 1988.
- Hou, X.; Chen, L.; Liu, X.; Li, M.; Shen, Z. Parameter transferability across spatial resolutions in urban hydrological modelling: A case study in Beijing, China. Front. Earth Sci. 2019, 13, 18–32. [Google Scholar] [CrossRef]
- Tu, M.C.; Smith, P. Modeling Pollutant Buildup and Washoff Parameters for SWMM Based on Land Use in a Semiarid Urban Watershed. Water Air Soil Pollut. 2018, 229, 121. [Google Scholar] [CrossRef]
- Mccarthy, D.T.; Deletic, A.; Mitchell, V.G.; Diaper, C. Sensitivity analysis of an urban stormwater microorganism model. Water Sci. Technol. J. Int. Assoc. Water Pollut. Res. 2010, 62, 1393–1400. [Google Scholar] [CrossRef] [PubMed]
- Ministry of Environmental Protection of China. Surface Water Quality Standards of China: GB3838-2002; Standards Press of China: Beijing, China, 2002. [Google Scholar]
- McCarthy, D.T.; Deletic Mitchell, V.G.; Fletcher, T.D. Uncertainties in stormwater E. coli levels. Water Res. 2008, 42, 1812–1824. [Google Scholar] [CrossRef] [PubMed]
- Tu, M.C.; Smith, P. Clogging impacts on distribution pipe delivery of street runoff to an infiltration bed. Water 2018, 10, 1045. [Google Scholar] [CrossRef]
- Galfi, H.; Haapala, J.; Nordqvist, K.; Westerlund, C.; Blecken, G.T.; Marsalek, J.; Viklander, M. Inter-Event and Intra-Event Variations of Indicator Bacteria Concentrations in the Storm Sewer System of the City of ostersund, Sweden. J. Environ. Eng. 2016, 142, 06016003. [Google Scholar] [CrossRef]
- Chow, M.F.; Yusop, Z.; Toriman, M.E. Level and transport pattern of faecal coliform bacteria from tropical urban catchments. Water Sci. Technol. 2013, 67, 1822–1831. [Google Scholar] [CrossRef]
- Jamwal, P.; Mittal, A.K.; Mouchel, J.M. Point and non-point microbial source pollution: A case study of Delhi. Phys. Chem. Earth 2011, 36, 490–499. [Google Scholar] [CrossRef]
- Cho, K.H.; Pachepsky, Y.A.; Kim, J.H.; Kim, J.W.; Park, M.H. The modified SWAT model for predicting fecal coliforms in the Wachusett Reservoir Watershed, USA. Water Res. 2012, 46, 4750–4760. [Google Scholar] [CrossRef]
- IEDXX. Available online: https://www.idexx.com/en/ (accessed on 17 July 2018).
- Coffey, R.; Dorai-Raj, S.; O’Flaherty, V.; Cormican, M.; Cummins, E. Modeling of Pathogen Indicator Organisms in a Small-Scale Agricultural Catchment Using SWAT. Hum. Ecol. Risk Assess. Int. J. 2013, 19, 232–253. [Google Scholar] [CrossRef]
- Baffaut, C.; Benson, V.W. Modeling Flow and Pollutant Transport in a Karst Watershed with SWAT. T. ASABE 2009, 52, 469–479. [Google Scholar] [CrossRef]
- Parajuli, P.B.; Mankin, K.R.; Barnes, P.L. Source specific fecal bacteria modeling using soil and water assessment tool model. Bioresour. Technol. 2009, 99, 953–963. [Google Scholar] [CrossRef] [PubMed]
- Harmel, R.D.; Hathaway, J.M.; Wagner, K.L.; Wolfe, J.E.; Karthikeyan, R.; Francesconi, W.; Mccarthy, D.T. Uncertainty in monitoring E. coli concentrations in streams and stormwater runoff. J. Hydrol. 2016, 534, 524–533. [Google Scholar] [CrossRef]
- Duchesne, A.T.S. Quantifying the Fecal Coliform Loads in Urban Watersheds by Hydrologic/Hydraulic Modeling: Case Study of the Beauport River Watershed in Quebec. Water 2015, 7, 615–633. [Google Scholar]




| Model Equation | Comment |
|---|---|
| Surface storage | |
| Surface wash-off | |
| Subsurface storage | |
| Subsurface wash-off |
| Rainfall Events | Max | Min | Mean | St. Dev. |
|---|---|---|---|---|
| 2014/07/29 | 4.37 × 105 | 3.08 × 104 | 1.58 × 105 | 1.33 × 105 |
| 2014/08/04 | 8.30 × 105 | 4.22 × 104 | 2.74 × 105 | 2.17 × 105 |
| 2014/08/30 | 1.62 × 106 | 8.6 × 103 | 2.82 × 105 | 4.23 × 105 |
| 2014/08/31 | 1.99 × 106 | 6.24 × 103 | 6.31 × 105 | 5.42 × 105 |
| Parameters | Cumulative Coefficient | Survival/Death Coefficient | Washing-Off Coefficient | Underground Cumulative Coefficient | |||
|---|---|---|---|---|---|---|---|
| Calibration range in the first step | 5–10 | 5–10 | 5–10 | 1–3 | −3–2 | 1–4 | 3–10 |
| Calibration range in the second step | 5–10 | 5–10 | 5–10 | 1.2–3 | −1–2 | 1.5–4 | 6.5–9.5 |
| Calibrated value | 6.4299 | 8.9866 | 8.8289 | 2.4462 | −0.5259 | 2.8280 | 6.5990 |
| Parameters in MOPUS | — | ||||||
| Calibrated value | 2.95~4.71 | 3.01~5.01 | −3.4~1.4 | — | 0.96~1.39 | ||
| Study Area | Microbial Type | NSE for Single Event | Models | References |
|---|---|---|---|---|
| Melbourne, Australia | E. coli | −25.1–0.79 | MOPUS | [9] |
| Kilshanvey, Ireland | E. coli | −0.42–0.29 | SWAT | [37] |
| James River, Missouri, USA | E. coli | −6.0–0.21 | SWAT | [38] |
| Rock Creek, Kansas, USA | E. coli | −2.2–0.52 | SWAT | [39] |
| Wachusett Reservoir Watershed, Massachusetts, USA | FC | −0.28–0.18 | SWAT | [35] |
| Beijing, China | FC | −5.03–0.39 | MOPUS_S | The present study |
© 2019 by the authors. Licensee MDPI, Basel, Switzerland. This article is an open access article distributed under the terms and conditions of the Creative Commons Attribution (CC BY) license (http://creativecommons.org/licenses/by/4.0/).
Share and Cite
Hou, X.; Chen, L.; Qiu, J.; Zhang, Y.; Shen, Z. A Semi-distributed Model for Predicting Faecal Coliform in Urban Stormwater by Integrating SWMM and MOPUS. Int. J. Environ. Res. Public Health 2019, 16, 847. https://doi.org/10.3390/ijerph16050847
Hou X, Chen L, Qiu J, Zhang Y, Shen Z. A Semi-distributed Model for Predicting Faecal Coliform in Urban Stormwater by Integrating SWMM and MOPUS. International Journal of Environmental Research and Public Health. 2019; 16(5):847. https://doi.org/10.3390/ijerph16050847
Chicago/Turabian StyleHou, Xiaoshu, Lei Chen, Jiali Qiu, Yali Zhang, and Zhenyao Shen. 2019. "A Semi-distributed Model for Predicting Faecal Coliform in Urban Stormwater by Integrating SWMM and MOPUS" International Journal of Environmental Research and Public Health 16, no. 5: 847. https://doi.org/10.3390/ijerph16050847
APA StyleHou, X., Chen, L., Qiu, J., Zhang, Y., & Shen, Z. (2019). A Semi-distributed Model for Predicting Faecal Coliform in Urban Stormwater by Integrating SWMM and MOPUS. International Journal of Environmental Research and Public Health, 16(5), 847. https://doi.org/10.3390/ijerph16050847

