Handgrip Strength and All-Cause Mortality in Middle-Aged and Older Koreans
Abstract
1. Introduction
2. Materials and Methods
2.1. Study Design and Population
2.2. Measures
2.3. Statistical Analyses
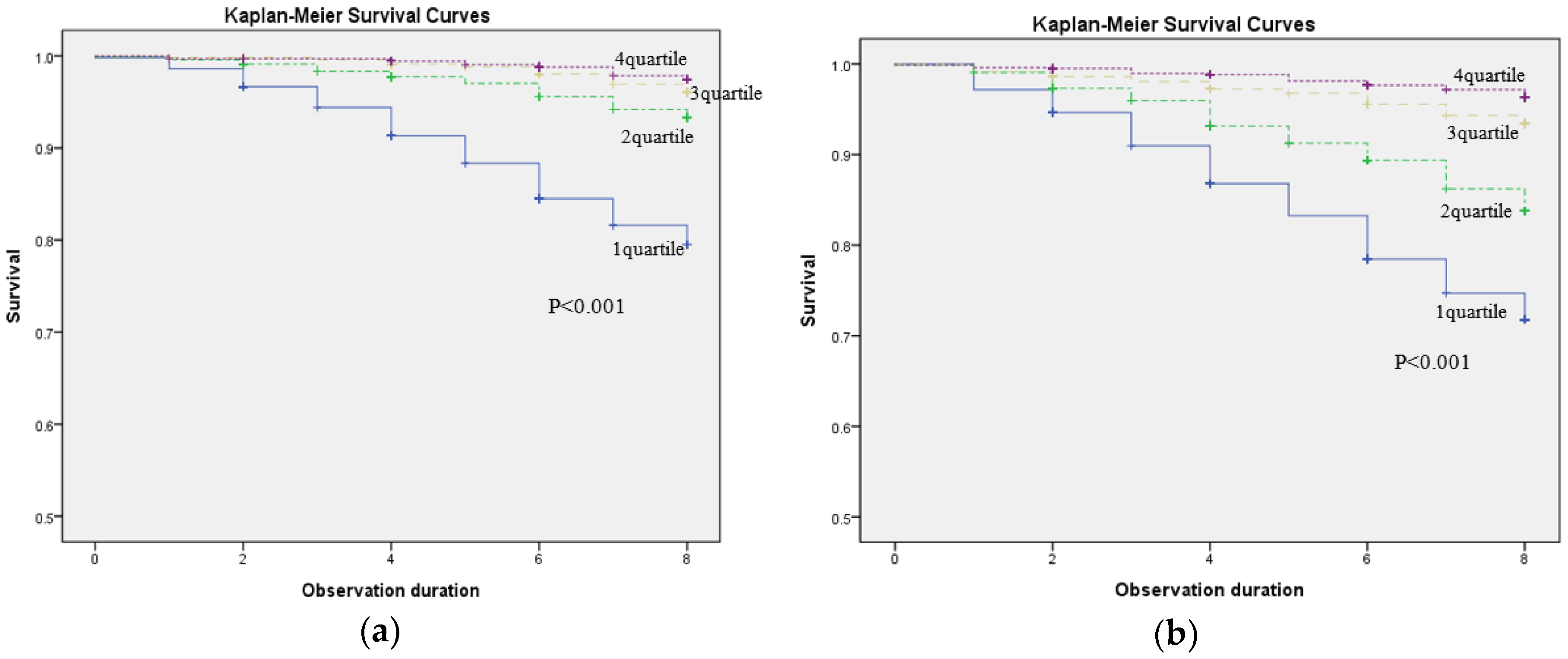
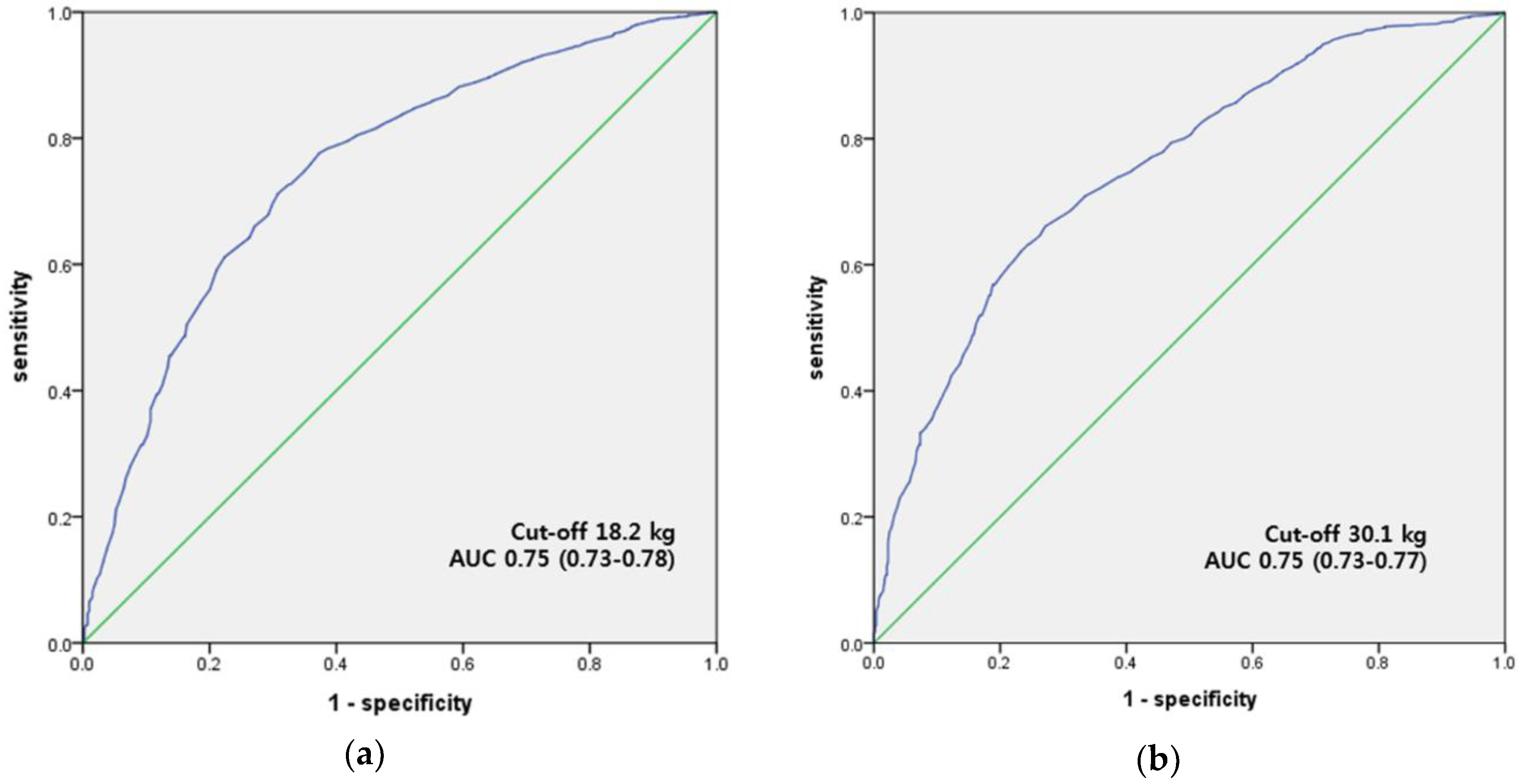
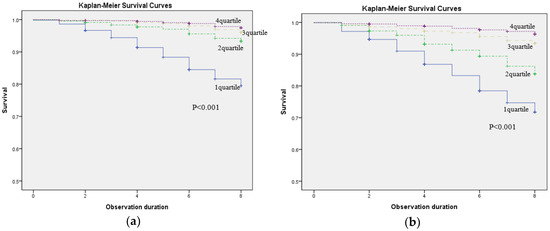
3. Results
4. Discussion
5. Conclusions
Supplementary Materials
Author Contributions
Funding
Conflicts of Interest
References
- Fielding, R.A.; Vellas, B.; Evans, W.J.; Bhasin, S.; Morley, J.E.; Newman, A.B.; Abellan van Kan, G.; Andrieu, S.; Bauer, J.; Breuille, D.; et al. Sarcopenia: An undiagnosed condition in older adults. Current consensus definition: Prevalence, etiology, and consequences. International working group on sarcopenia. J. Am. Med. Direct. Assoc. 2011, 12, 249–256. [Google Scholar] [CrossRef] [PubMed]
- Roubenoff, R. Sarcopenia: Effects on body composition and function. J. Gerontol. Ser. A Biol. Sci. Med. Sci. 2003, 58, M1012–M1017. [Google Scholar] [CrossRef]
- Arvandi, M.; Strasser, B.; Meisinger, C.; Volaklis, K.; Gothe, R.M.; Siebert, U.; Ladwig, K.; Grill, E.; Horsch, A.; Laxy, M. Gender differences in the association between grip strength and mortality in older adults: Results from the KORA-age study. Bmc Geriatr. 2016, 16, 201–208. [Google Scholar] [CrossRef] [PubMed]
- Rantanen, T.; Volpato, S.; Ferrucci, L.; Heikkinen, E.; Fried, L.P.; Guralnik, J.M. Handgrip strength and cause-specific and total mortality in older disabled women: Exploring the mechanism. J. Am. Geriatr. Soc. 2003, 51, 636–641. [Google Scholar] [CrossRef] [PubMed]
- Hairi, N.N.; Cumming, R.G.; Naganathan, V.; Handelsman, D.J.; Le Couteur, D.G.; Creasey, H.; Waite, L.M.; Seibel, M.J.; Sambrook, P.N. Loss of muscle strength, mass (sarcopenia), and quality (specific force) and its relationship with functional limitation and physical disability: The Concord Health and Ageing in Men Project. J. Am. Geriatr. Soc. 2010, 58, 2055–2062. [Google Scholar] [CrossRef] [PubMed]
- Ling, C.H.; Taekema, D.; de Craen, A.J.; Gussekloo, J.; Westendorp, R.G.; Maier, A.B. Handgrip strength and mortality in the oldest old population: The Leiden 85-plus study. CMAJ 2010, 182, 429–435. [Google Scholar] [CrossRef] [PubMed]
- Rijk, J.M.; Roos, P.R.; Deckx, L.; van den Akker, M.; Buntinx, F. Prognostic value of handgrip strength in people aged 60 years and older: A systematic review and meta-analysis. Geriatr. Gerontol. Int. 2016, 16, 5–20. [Google Scholar] [CrossRef] [PubMed]
- Leong, D.P.; Teo, K.K.; Rangarajan, S.; Kutty, V.R.; Lanas, F.; Hui, C.; Quanyong, X.; Zhenzhen, Q.; Jinhua, T.; Noorhassim, I. Reference ranges of handgrip strength from 125,462 healthy adults in 21 countries: A prospective urban rural epidemiologic (PURE) study. J. CachexiaSarcopenia Muscle 2016, 7, 535–546. [Google Scholar] [CrossRef] [PubMed]
- Kim, C.R.; Jeon, Y.; Kim, M.C.; Jeong, T.; Koo, W.R. Reference values for hand grip strength in the South Korean population. PLoS ONE 2018, 13, e0195485. [Google Scholar] [CrossRef] [PubMed]
- Bohannon, R.W. Muscle strength: Clinical and prognostic value of hand-grip dynamometry. Curr. Opin. Clin. Nutr. Metab. Care 2015, 18, 465–470. [Google Scholar] [CrossRef] [PubMed]
- Jang, J.Y.; Kim, J. Association between handgrip strength and cognitive impairment in elderly Koreans: A population-based cross-sectional study. J. Phys. Ther. Sci. 2015, 27, 3911–3915. [Google Scholar] [CrossRef] [PubMed]
- Guerra, R.; Amaral, T.F. Comparison of hand dynamometers in elderly people. J. Nutr. Health Aging 2009, 13, 907–912. [Google Scholar] [CrossRef] [PubMed]
- Yorke, A.M.; Curtis, A.B.; Shoemaker, M.; Vangsnes, E. Grip strength values stratified by age, gender, and chronic disease status in adults aged 50 years and older. J. Geriatr. Phys. 2015, 38, 115–121. [Google Scholar] [CrossRef] [PubMed]
- Lee, M.R.; Jung, S.M.; Kim, H.S.; Kim, Y.B. Association of muscle strength with cardiovascular risk in Korean adults: Findings from the Korea National Health and Nutrition Examination Survey (KNHANES) VI to VII (2014-2016). Medicine 2018, 97, e13240. [Google Scholar] [CrossRef] [PubMed]
- Cooper, R.; Kuh, D.; Hardy, R.; Mortality Review Group. FALCon and HALCyon Study Teams Objectively measured physical capability levels and mortality: Systematic review and meta-analysis. BMJ 2010, 341, c4467. [Google Scholar] [CrossRef] [PubMed]
- Rom, O.; Karkabi, K.; Reznick, A.; Keidar, Z.; Aizenbud, D. In Relationship between history of smoking, metabolic and inflammatory markers, parameters of body composition and muscle strength. Environ. Biomed. 2014, 849, 49–56. [Google Scholar] [CrossRef]
- Fukumori, N.; Yamamoto, Y.; Takegami, M.; Yamazaki, S.; Onishi, Y.; Sekiguchi, M.; Otani, K.; Konno, S.; Kikuchi, S.; Fukuhara, S. Association between hand-grip strength and depressive symptoms: Locomotive Syndrome and Health Outcomes in Aizu Cohort Study (LOHAS). Age Ageing 2015, 44, 592–598. [Google Scholar] [CrossRef] [PubMed]
- Oksuzyan, A.; Demakakos, P.; Shkolnikova, M.; Thinggaard, M.; Vaupel, J.W.; Christensen, K.; Shkolnikov, V.M. Handgrip strength and its prognostic value for mortality in Moscow, Denmark, and England. PLoS ONE 2017, 12, e0182684. [Google Scholar] [CrossRef] [PubMed]
- Chen, L.; Liu, L.; Woo, J.; Assantachai, P.; Auyeung, T.; Bahyah, K.S.; Chou, M.; Chen, L.; Hsu, P.; Krairit, O. Sarcopenia in Asia: Consensus report of the Asian Working Group for Sarcopenia. J. Am. Med. Direct. Assoc. 2014, 15, 95–101. [Google Scholar] [CrossRef] [PubMed]
- Cruz-Jentoft, A.J.; Bahat, G.; Bauer, J.; Boirie, Y.; Bruyère, O.; Cederholm, T.; Cooper, C.; Landi, F.; Rolland, Y.; Sayer, A.A. Sarcopenia: Revised European consensus on definition and diagnosis. Age Ageing 2018, 48, 16–31. [Google Scholar] [CrossRef] [PubMed]
- Tanimoto, Y.; Watanabe, M.; Sun, W.; Sugiura, Y.; Tsuda, Y.; Kimura, M.; Hayashida, I.; Kusabiraki, T.; Kono, K. Association between sarcopenia and higher-level functional capacity in daily living in community-dwelling elderly subjects in Japan. Arch. Gerontol. Geriatr. 2012, 55, e9–e13. [Google Scholar] [CrossRef] [PubMed]
- Lee, W.; Liu, L.; Peng, L.; Lin, M.; Chen, L.; ILAS Research Group. Comparisons of sarcopenia defined by IWGS and EWGSOP criteria among older people: Results from the I-Lan longitudinal aging study. J. Am. Med. Direct. Assoc. 2013, 14, 528. [Google Scholar] [CrossRef] [PubMed]
- Yoo, J.; Choi, H.; Ha, Y. Mean hand grip strength and cut-off value for sarcopenia in Korean adults using KNHANES VI. J. Korean Med. Sci. 2017, 32, 868–872. [Google Scholar] [CrossRef] [PubMed]
- Kim, H.; Hirano, H.; Edahiro, A.; Ohara, Y.; Watanabe, Y.; Kojima, N.; Kim, M.; Hosoi, E.; Yoshida, Y.; Yoshida, H. Sarcopenia: Prevalence and associated factors based on different suggested definitions in community-dwelling older adults. Geriatr. Gerontol. Int. 2016, 16, 110–122. [Google Scholar] [CrossRef] [PubMed]
- Lee, E.S.; Park, H.M. Prevalence of sarcopenia in healthy Korean elderly women. J. Bone Metab. 2015, 22, 191–195. [Google Scholar] [CrossRef] [PubMed]
- Kim, S.W.; Lee, H.A.; Cho, E. Low handgrip strength is associated with low bone mineral density and fragility fractures in postmenopausal healthy Korean women. J. Korean Med. Sci. 2012, 27, 744–747. [Google Scholar] [CrossRef] [PubMed]
- Yang, E.J.; Lim, S.; Lim, J.; Kim, K.W.; Jang, H.C.; Paik, N. Association between muscle strength and metabolic syndrome in older Korean men and women: The Korean Longitudinal Study on Health and Aging. Metab. Clin. Exp. 2012, 61, 317–324. [Google Scholar] [CrossRef] [PubMed]
- Kim, K.; Lee, M.; Choi, Y.; Lee, B.; Hong, Y. Associations of blood cadmium levels with depression and lower handgrip strength in a community-dwelling elderly population: A repeated-measures panel study. J. Gerontol. Ser. A Biomed. Sci. Med. Sci. 2016, 71, 1525–1530. [Google Scholar] [CrossRef] [PubMed]
- Hajian-Tilaki, K. Receiver Operating Characteristic (ROC) Curve Analysis for Medical Diagnostic Test Evaluation. Casp. J. Intern. Med. 2013, 4, 627–635. [Google Scholar]
- Legrand, D.; Vaes, B.; Matheï, C.; Adriaensen, W.; Van Pottelbergh, G.; Degryse, J. Muscle strength and physical performance as predictors of mortality, hospitalization, and disability in the oldest old. J. Am. Geriatr. Soc. 2014, 62, 1030–1038. [Google Scholar] [CrossRef] [PubMed]
- García-Hermoso, A.; Cavero-Redondo, I.; Ramírez-Vélez, R.; Ruiz, J.; Ortega, F.B.; Lee, D.; Martínez-Vizcaíno, V. Muscular strength as a predictor of all-cause mortality in apparently healthy population: A systematic review and meta-analysis of data from approximately 2 million men and women. Arch. Phys. Med. Rehabil. 2018, 99, 2100–2113.e5. [Google Scholar] [CrossRef]
- Gale, C.R.; Martyn, C.N.; Cooper, C.; Sayer, A.A. Grip strength, body composition, and mortality. Int. J. Epidemiol. 2006, 36, 228–235. [Google Scholar] [CrossRef] [PubMed]
- Prasitsiriphon, O.; Pothisiri, W. Associations of Grip Strength and Change in Grip Strength With All-Cause and Cardiovascular Mortality in a European Older Population. Clin. Med. Insights Cardiol. 2018, 12, 1–10. [Google Scholar] [CrossRef] [PubMed]
- Sasaki, H.; Kasagi, F.; Yamada, M.; Fujita, S. Grip strength predicts cause-specific mortality in middle-aged and elderly persons. Am. J. Med. 2007, 120, 337–342. [Google Scholar] [CrossRef] [PubMed]
- Al Snih, S.; Markides, K.S.; Ray, L.; Ostir, G.V.; Goodwin, J.S. Handgrip strength and mortality in older Mexican Americans. J. Am. Geriatr. Soc. 2002, 50, 1250–1256. [Google Scholar] [CrossRef] [PubMed]
- Schaap, L.A.; Koster, A.; Visser, M. Adiposity, muscle mass, and muscle strength in relation to functional decline in older persons. Epidemiol. Rev. 2012, 35, 51–65. [Google Scholar] [CrossRef] [PubMed]
- Isoyama, N.; Qureshi, A.R.; Avesani, C.M.; Lindholm, B.; Barany, P.; Heimburger, O.; Cederholm, T.; Stenvinkel, P.; Carrero, J.J. Comparative associations of muscle mass and muscle strength with mortality in dialysis patients. Clin. J. Am. Soc. Nephrol. 2014, 9, 1720–1728. [Google Scholar] [CrossRef] [PubMed]
- Ibrahim, K. Implementation of Grip Strength Measurement Routinely among Older Inpatients on Admission to Hospital: Identifying Facilitators and Barriers Using Normalisation Process Theory (NPT). 2017. Available online: https://eprints.soton.ac.uk/id/eprint/417214 (accessed on 2 February 2019).
- Bann, D.; Hire, D.; Manini, T.; Cooper, R.; Botoseneanu, A.; McDermott, M.M.; Pahor, M.; Glynn, N.W.; Fielding, R.; King, A.C. Light intensity physical activity and sedentary behavior in relation to body mass index and grip strength in older adults: Cross-sectional findings from the lifestyle interventions and independence for elders (LIFE) study. PLoS ONE 2015, 10, e0116058. [Google Scholar] [CrossRef]



| Women (n = 5235) | Men (n = 4158) | Total (n = 9393) | |
|---|---|---|---|
| Handgrip strength, kg, | 19.8 ± 5.0 (19.6–19.9) | 32.5 ± 7.0 (32.3–32.7) | 25.4 ± 8.7 (25.2–25.6) |
| Mean ± SD (95% CI) | |||
| Age, years, | 61.1 ± 11.0 (60.8–61.4) | 60.8 ± 10.3 (60.4–61.1) | 61.0 ± 10.7 (60.7–61.2) |
| Mean ± SD (95% CI) | |||
| Age groups (%, 95% CI) | |||
| 45–54 years | 1797 (34.3, 37.2–39.8) | 1396 (33.6, 32.1–35.0) | 3193 (34.0, 33.0–34.9) |
| 55–64 years | 1424 (27.2, 26.0–28.4) | 1198 (28.8, 27.4–30.1) | 2622 (27.9, 27.0–28.8) |
| ≥65 years | 2014 (38.5, 33.1–35.6) | 1564 (37.6, 36.0–39.1) | 3578 (38.1, 37.1–39.0) |
| Education (%, 95% CI) | |||
| ≤Middle school | 3799 (72.6, 71.4–73.8) | 1986 (47.8, 46.2–49.3) | 5785 (61.6, 60.6–62.6) |
| High school | 1168 (22.3, 21.2–23.4) | 1432 (34.4, 33.0–36.1) | 2600 (27.7, 26.8–28.6) |
| ≥College | 268 (5.1, 4.5–5.7) | 740 (17.8, 16.7–19.0) | 1008 (10.7, 10.1–11.4) |
| Marital status (%, 95% CI) | |||
| Married | 3607 (68.9, 67.7–70.2) | 3827 (92.0, 91.2–92.9) | 7434 (79.1, 78.4–79.9) |
| Divorced/widowed/never married | 1628 (31.1, 29.2–31.7) | 331 (8.0, 6.9–9.0) | 1959 (20.9, 19.8–21.8) |
| Residence (%, 95% CI) | |||
| Urban | 4100 (78.3, 77.2–79.5) | 3227 (77.6, 76.3–78.9) | 7327 (78.0, 77.1–78.9) |
| Rural | 1135 (21.7, 20.5–22.8) | 931 (22.4, 21.1–23.7) | 2066 (22.0, 21.1–22.9) |
| Income (%, 95% CI) | |||
| Low | 1445 (27.6, 26.3–28.8) | 946 (22.8, 21.4–24.0) | 2391 (25.5, 24.6–26.3) |
| Middle | 2572 (49.1, 47.8–50.5) | 2050 (49.3, 47.7–50.9) | 4622 (49.2, 48.2–50.2) |
| High | 1218 (23.3, 22.2–24.4) | 1162 (27.9, 26.6–29.4) | 2380 (25.3, 24.5–26.2) |
| Employment (%, 95% CI) | 1341 (25.6, 24.3–26.8) | 2478 (59.6, 58.1–61.0) | 3819 (40.7, 39.6–41.6) |
| Smoking (%, 95% CI) | |||
| Non-smoker | 5038 (96.2, 95.7–96.8) | 1616 (38.9, 37.4–40.3) | 6654 (70.8, 69.9–71.8) |
| Former smoker | 27 (0.5, 0.3–0.7) | 859 (20.7, 19.5–21.9) | 886 (9.4, 8.9–10.0) |
| Current smoker | 170 (3.2, 2.8–3.8) | 1683 (40.5, 39.0–41.9) | 1853 (19.7, 18.9–20.5) |
| Drinking (%, 95% CI) | |||
| Non-drinker | 4105 (78.4, 77.7–79.5) | 994 (23.9, 22.6–25.4) | 5099 (54.3, 53.2–55.3) |
| Former drinker | 116 (2.2, 1.8–2.6) | 470 (11.3, 10.4–12.3) | 586 (6.2, 5.8–6.7) |
| Current drinker | 1014 (19.4, 18.3–20.4) | 2694 (64.8, 63.2–66.2) | 3708 (39.5–38.5–40.5) |
| Regular exercise (%, 95% CI) | 1925(36.8, 35.4–38.1) | 1827 (43.9, 42.5–45.5) | 3752 (39.9, 39.0–41.0) |
| Eating breakfast (%, 95% CI) | 4880 (93.2, 92.6–93.9) | 3956 (95.1, 94.5–95.8) | 8836 (94.1, 93.6–94.5) |
| Body mass index (BMI), kg/m2, | |||
| Mean ± SD (95% CI) | 23.3 ± 3.5 (23.2–23.4) | 23.8 ± 10.7 (23.5–24.2) | 23.6 ± 7.6 (23.4–23.7) |
| BMI group (%, 95% CI) | |||
| <18.5 | 142 (2.7, 2.3–3.2) | 59 (1.4, 1.1–1.8) | 201 (2.1, 1.8–2.4) |
| 18.5–24.9 | 1192 (22.8, 21.7–23.9) | 876 (21.1, 19.8–22.3) | 2068 (22.0, 21.2–22.8) |
| 25–29.9 | 3705 (70.8, 69.5–72.0) | 3088 (74.3, 72.9–75.7) | 6793 (72.3, 71.4–73.3) |
| ≥30 | 196 (3.7, 3.2–4.3) | 135 (3.2, 2.7–3.8) | 331 (3.5, 3.2–3.9) |
| Hypertension (%, 95% CI) | 1526 (29.1, 27.9–30.3) | 1008 (24.2, 23.0–25.5) | 2534 (27.0, 26.1–27.8) |
| Diabetes (%, 95% CI) | 588 (11.2, 10.4–12.1) | 501 (12.0, 11.1–13.0) | 1089 (11.6, 10.9–12.2) |
| Cardiac disease (%, 95% CI) | 266 (5.1, 4.5–5.7) | 192 (4.6, 4.0–5.3) | 458 (4.9, 4.5–5.3) |
| Cerebrovascular disease | 100 (1.9, 1.5–2.3) | 124 (3.0, 2.5–3.5) | 224 (2.4, 2.1–2.7) |
| (%, 95% CI) | |||
| Cancer (%, 95% CI) | 121 (2.3, 1.9–2.7) | 83 (2.0, 1.6–2.4) | 204 (2.2, 1.9–2.5) |
| Depression (%, 95% CI) | 716 (13.7, 12.8–14.7) | 295 (7.1, 6.3–7.9) | 1011 (10.8, 10.2–11.4) |
| # of comorbidities (%, 95% CI) | |||
| 0 | 2903 (55.5, 54.2–56.8) | 2553 (61.4, 59.9–62.9) | 5456 (58.1, 57.1–59.1) |
| 1 | 1572 (30.0, 28.8–31.3) | 1124 (27.0, 25.6–28.4) | 2696 (28.7, 27.8–29.6) |
| 2 | 560 (10.7, 9.8–11.5) | 381 (9.2, 8.3–10.1) | 941 (10.0, 9.4–10.6) |
| 3 or more | 200 (3.8, 3.3–4.3) | 100 (2.4, 2.0–2.9) | 300 (3.2, 2.8–3.6) |
| Handgrip Strength | |||||||||||||||
|---|---|---|---|---|---|---|---|---|---|---|---|---|---|---|---|
| Women (n = 5235, 55.7%) | Men (n = 4158, 44.3%) | Total (n = 9393, 100%) | |||||||||||||
| 1Q_ Lowest (n = 1289) | 2Q_ Low-Middle (n = 1263) | 3Q_ High-Middle (n = 1308) | 4Q_ Highest (n = 1375) | p | 1Q_ Lowest (n = 1031) | 2Q_ Low-Middle (n = 1031) | 3Q_ High-Middle (n = 1023) | 4Q_ Highest (n = 1073) | p | 1Q_ Lowest (n = 2320) | 2Q_ Low-Middle (n = 2294) | 3Q_ High-Middle (n = 2331) | 4Q_ Highest (n = 2448) | p | |
| Age, years, | 70.0 ± 10.4 | 62.9 ± 9.7 | 58.0 ± 9.1 | 54.0 ± 7.9 | <0.001 | 69.0 ± 9.2 | 62.9 ± 9.3 | 57.9 ± 8.6 | 53.6 ± 7.0 | <0.001 | 69.6 ± 9.9 | 62.9 ± 9.5 | 57.9 ± 8.9 | 53.8 ± 7.5 | <0.001 |
| Mean ± SD | |||||||||||||||
| Age groups (%) | <0.001 | <0.001 | <0.001 | ||||||||||||
| 45–54 years | 121 (9.4) | 300 (23.8) | 536 (41.0) | 840 (61.1) | 89 (8.6) | 213 (20.7) | 422 (41.3) | 672 (62.6) | 210 (9.1) | 513 (22.4) | 958 (41.1) | 1512 (61.8) | |||
| 55–64 years | 234 (18.2) | 372 (29.5) | 450 (34.4) | 368 (26.8) | 204 (19.8) | 338 (32.8) | 348 (34.0) | 308 (28.7) | 438 (18.9) | 710 (31.0) | 798 (34.2) | 676 (27.6) | |||
| ≥ 65 years | 934 (72.5) | 591 (46.8) | 322 (24.6) | 167 (12.1) | 738 (71.6) | 480 (46.6) | 253 (24.7) | 93 (8.7) | 1672 (72.1) | 1071 (46.7) | 575 (24.7) | 260 (10.6) | |||
| Education (%) | <0.001 | <0.001 | <0.001 | ||||||||||||
| ≤Middle school | 1160 (90.0) | 1,007 (79.7) | 887 (67.8) | 745 (54.2) | 723 (70.1) | 552 (53.5) | 400 (39.1) | 311 (29.0) | 1883 (81.2) | 1559 (68.0) | 1287 (55.2) | 1056 (43.1) | |||
| High school | 108 (8.4) | 214 (16.9) | 334 (25.5) | 512 (37.2) | 218 (21.1) | 323 (31.3) | 394 (38.5) | 497 (46.3) | 326 (14.1) | 537 (23.4) | 728 (31.2) | 1009 (41.2) | |||
| ≥College | 21 (1.6) | 42 (3.3) | 87 (6.7) | 118 (8.6) | 90 (8.7) | 156 (15.1) | 229 (22.4) | 265 (24.7) | 111 (4.8) | 198 (8.6) | 316 (13.6) | 383 (15.6) | |||
| Marital status (%) | <0.001 | <0.001 | <0.001 | ||||||||||||
| Married | 596 (46.2) | 829 (65.6) | 1014 (77.5) | 1168 (84.9) | 909 (88.2) | 944 (91.6) | 963 (94.1) | 1011 (94.2) | 1505 (64.9) | 1773 (77.3) | 1977 (84.8) | 2179 (89.0) | |||
| Divorced/widowed/ | 693 (53.8) | 434 (34.4) | 294 (22.5) | 207 (15.1) | 122 (11.8) | 87 (8.4) | 60 (5.9) | 62 (5.8) | 815 (35.1) | 521 (22.7) | 354 (15.2) | 269 (11.0) | |||
| never married | |||||||||||||||
| Residence | 0.002 | <0.001 | <0.001 | ||||||||||||
| Urban | 972 (75.4) | 976 (77.3) | 1035 (79.1) | 1117 (81.2) | 733 (71.1) | 783 (75.9) | 815 (79.7) | 896 (83.5) | 1705 (73.5) | 1759 (76.7) | 1850 (79.4) | 2013 (82.2) | |||
| Rural | 317 (24.6) | 287 (22.7) | 273 (20.9) | 258 (18.8) | 298 (28.9) | 248 (24.1) | 208 (20.3) | 177 (16.5) | 615 (26.5) | 535 (23.3) | 481 (20.6) | 435 (17.8) | |||
| Income | <0.001 | <0.001 | <0.001 | ||||||||||||
| Low | 491 (38.1) | 386 (30.6) | 308 (23.5) | 260 (18.9) | 374 (36.3) | 250 (24.2) | 173 (16.9) | 149 (13.9) | 865 (37.3) | 636 (27.7) | 481 (20.6) | 409 (16.7) | |||
| Middle | 616 (47.8) | 653 (51.7) | 659 (50.4) | 644 (46.8) | 534 (51.8) | 528 (51.2) | 515 (50.3) | 473 (44.1) | 1150 (49.6) | 1181 (51.5) | 1174 (50.4) | 1117 (45.6) | |||
| High | 182 (14.1) | 224 (17.7) | 341 (26.1) | 471 (34.3) | 123 (11.9) | 253 (24.5) | 335 (32.7) | 451 (42.0) | 305 (13.1) | 477 (20.8) | 676 (29.00 | 922 (37.7) | |||
| Employment (%) | 163 (12.6) | 288 (22.8) | 390 (29.8) | 500 (36.4) | <0.001 | 338 (32.8) | 557 (54.0) | 702 (68.6) | 881 (82.1) | <0.001 | 501 (21.6) | 845 (36.8) | 1092 (46.8) | 1381 (56.4) | <0.001 |
| Smoking (%) | 0.188 | 0.001 | 0.001 | ||||||||||||
| Non-smoker | 1230 (95.4) | 1208 (95.6) | 1262 (96.5) | 1338 (97.3) | 389 (37.7) | 398 (38.6) | 411 (40.2) | 418 (39.0) | 1619 (69.8) | 1606 (70.0) | 1673 (71.8) | 1756 (71.7) | |||
| Former smoker | 8 (0.6) | 9 (0.7) | 6 (0.5) | 4 (0.3) | 256 (24.8) | 224 (21.7) | 190 (18.6) | 189 (17.6) | 264 (11.4) | 233 (10.2) | 196 (8.4) | 193 (7.9) | |||
| Current smoker | 51 (4.0) | 46 (3.6) | 40 (3.1) | 33 (2.4) | 386 (37.4) | 409 (39.7) | 422 (41.3) | 466 (43.4) | 437 (18.8) | 455 (19.8) | 462 (19.8) | 499 (20.4) | |||
| Drinking (%) | <0.001 | <0.001 | <0.001 | ||||||||||||
| Non-drinker | 1084 (84.1) | 994 (78.7) | 1011 (77.3) | 1016 (73.9) | 274 (26.6) | 260 (25.2) | 231 (22.6) | 229 (21.3) | 1358 (58.5) | 1254 (54.7) | 1242 (53.3) | 1245 (50.9) | |||
| Former drinker | 42 (3.3) | 35 (2.8) | 21 (1.6) | 18 (1.3) | 205 (19.9) | 122 (11.8) | 84 (8.2) | 59 (5.5) | 247 (10.6) | 157 (6.8) | 105 (4.5) | 77 (3.1) | |||
| Current drinker | 163 (12.6) | 234 (18.5) | 276 (21.1) | 341 (24.8) | 552 (53.5) | 649 (62.9) | 708 (69.2) | 785 (73.2) | 715 (30.8) | 883 (38.5) | 987 (42.2) | 1126 (46.0) | |||
| Regular exercise (%) | 347 (26.9) | 437 (34.6) | 542 (41.4) | 599 (43.6) | <0.001 | 347 (33.7) | 459 (44.5) | 479 (46.8) | 542 (50.5) | <0.001 | 649 (29.9) | 896 (39.1) | 1021 (43.8) | 1141 (46.6) | <0.001 |
| Eating breakfast (%) | 1225 (95.0) | 1188 (94.1) | 1205 (92.1) | 1262 (91.8) | 0.002 | 988 (95.8) | 987 (95.7) | 976 (95.4) | 1005 (93.7) | 0.070 | 2213 (95.4) | 2175 (94.8) | 2181 (93.6) | 2267 (92.6) | <0.001 |
| Body mass index (BMI), kg/m2, | <0.001 | <0.001 | <0.001 | ||||||||||||
| Mean ± SD | 22.8 ± 3.2 | 23.3 ± 3.4 | 23.5 ± 3.9 | 23.8 ± 3.4 | 22.8 ± 11.1 | 23.5 ± 10.0 | 24.1 ± 8.1 | 24.9 ± 12.9 | 22.8 ± 7.7 | 23.4 ± 7.2 | 23.7 ± 6.1 | 24.3 ± 8.9 | |||
| BMI group (%) | <0.001 | <0.001 | <0.001 | ||||||||||||
| <18.5 | 33 (2.6) | 39 (3.1) | 26 (2.0) | 44 (3.2) | 14 (1.4) | 11 (1.1) | 14 (1.4) | 20 (1.9) | 47 (2.0) | 50 (2.2) | 40 (1.7) | 64 (2.6) | |||
| 18.5–24.9 | 255 (19.8) | 274 (21.7) | 316 (24.2) | 347 (25.2) | 125 (12.1) | 186 (18.0) | 250 (24.4) | 315 (29.4) | 380 (16.4) | 460 (20.1) | 566 (24.3) | 662 (27.0) | |||
| 25–29.9 | 902 (70.0) | 902 (71.4) | 937 (71.6) | 964 (70.1) | 816 (79.1) | 798 (77.4) | 744 (72.7) | 730 (68.0) | 1718 (74.1) | 1700 (74.1) | 1681 (72.1) | 1694 (69.2) | |||
| ≥30 | 99 (7.7) | 48 (3.8) | 29 (2.2) | 20 (1.5) | 76 (7.4) | 36 (3.5) | 15 (1.5) | 8 (0.7) | 175 (7.5) | 84 (3.7) | 44 (1.9) | 28 (1.1) | |||
| Hypertension (%) | 536 (41.6) | 396 (31.4) | 341 (26.1) | 253 (18.4) | <0.001 | 331 (32.1) | 281 (27.3) | 212 (20.7) | 184 (17.1) | <0.001 | 867 (37.4) | 667 (29.5) | 553 (23.7) | 437 (17.9) | <0.001 |
| Diabetes (%) | 230 (17.8) | 164 (13.0) | 117 (8.9) | 77 (5.6) | <0.001 | 179 (17.4) | 137 (13.3) | 101 (9.9) | 84 (7.8) | <0.001 | 409 (17.6) | 301 (13.1) | 218 (9.4) | 161 (6.6) | <0.001 |
| Cardiac disease (%) | 117 (9.1) | 76 (6.0) | 45 (3.4) | 28 (2.0) | <0.001 | 76 (7.4) | 55 (5.3) | 33 (3.2) | 28 (2.6) | <0.001 | 193 (8.3) | 131 (5.7) | 78 (3.3) | 56 (2.3) | <0.001 |
| Cerebrovascular disease (%) | 42 (3.3) | 20 (1.6) | 29 (2.2) | 9 (0.7) | <0.001 | 64 (6.2) | 39 (3.8) | 12 (1.2) | 9 (0.8) | <0.001 | 106 (4.6) | 59 (2.6) | 41 (1.8) | 18 (0.7) | <0.001 |
| Cancer (%) | 39 (3.0) | 30 (2.4) | 25 (1.9) | 27 (2.0) | 0.204 | 33 (3.2) | 18 (1.7) | 24 (2.3) | 8 (0.7) | 0.001 | 72 (3.1) | 48 (2.1) | 49 (2.1) | 35 (1.4) | 0.001 |
| Depression (%) | 275 (21.3) | 175 (13.9) | 163 (12.5) | 103 (7.5) | <0.001 | 118 (11.4) | 75 (7.3) | 48 (4.7) | 54 (5.0) | <0.001 | 393 (16.9) | 250 (10.9) | 211 (9.1) | 157 (6.4) | <0.001 |
| # of comorbidities (%) | <0.001 | <0.001 | <0.001 | ||||||||||||
| 0 | 491 (38.1) | 661 (52.3) | 781(59.7) | 970 (70.5) | 496 (48.1) | 595 (57.7) | 682 (66.7) | 790 (72.7) | 987 (42.5) | 1256 (54.8) | 1463 (62.8) | 1750 (71.5) | |||
| 1 | 465 (36.1) | 408 (32.3) | 372(28.4) | 327 (23.8) | 329 (31.9) | 304 (29.5) | 266 (26.0) | 225 (21.0) | 794 (34.2) | 712 (31.0) | 638 (27.4) | 552 (22.5) | |||
| 2 | 239 (18.5) | 135 (10.7) | 119(9.1) | 67 (4.9) | 154 (14.9) | 103 (10.0) | 62 (6.1) | 62 (5.8) | 393 (16.9) | 238 (10.4) | 181 (7.8) | 129 (5.3) | |||
| 3 or more | 94 (7.3) | 59 (4.7) | 36(2.8) | 11 (0.8) | 52 (5.0) | 29 (2.8) | 13 (1.3) | 6 (0.6) | 146 (6.3) | 88 (3.8) | 49 (2.1) | 17 (0.7) | |||
| Women (n = 5235) | Men (n = 4158) | Total (n = 9393) | |||||
|---|---|---|---|---|---|---|---|
| Total n | Death n (%) | Death Rate per 1000 p-y (95% CI) | Total n | Death n (%) | Death Rate per 1000 p–y (95% CI) | Death Rate per 1000 p–y (95% CI) | |
| Handgrip Strength | |||||||
| Q1 (lowest) | 1289 | 247 (19.2) | 29.1 (25.7–33.0) | 1031 | 281 (27.3) | 42.0 (37.4–47.2) | 34.8 (32.0–37.9) |
| Q2 | 1263 | 81 (6.4) | 9.1 (7.3–11.3) | 1031 | 153 (14.8) | 21.7 (18.5–25.4) | 14.7 (12.9–16.7) |
| Q3 | 1308 | 45 (3.4) | 4.9 (3.7–6.6) | 1023 | 62 (6.1) | 8.6 (6.7–11.0) | 6.5 (5.4–7.9) |
| Q4 (highest) | 1375 | 30 (2.2) | 3.1 (2.2–4.4) | 1073 | 35 (3.3) | 4.7 (3.4–6.5) | 3.8 (3.0–4.8) |
| Age | |||||||
| 45–54 years | 1797 | 24 (1.3) | 1.9 (1.3–2.8) | 1396 | 43 (3.1) | 4.5 (3.3–6.1) | 3.0 (2.4–3.8) |
| 55–64 years | 1424 | 48 (3.4) | 4.7 (3.5–6.2) | 1198 | 100 (8.3) | 11.8 (9.7–14.4) | 7.9 (6.7–9.3) |
| ≥65 years | 2014 | 331 (16.4) | 24.3 (21.8–27.1) | 1564 | 388 (24.8) | 37.4 (33.9–41.3) | 30.0 (27.9–32.3) |
| Total | 5235 | 403 (43.1) | 11.1 (10.1–12.2) | 4158 | 531 (56.9) | 18.7 (17.2–20.4) | 14.4 (13.5–15.4) |
| Handgrip Strength | ||||
|---|---|---|---|---|
| Q 1 (95% CI) (Lowest) | Q2 (95% CI) | Q3 (95% CI) | Q4 (95% CI) (Highest) | |
| Women | 2.53 (1.67–3.84) | 1.22 (0.79–1.89) | 1.02 (0.64–1.63) | 1.00 (Reference) |
| Men | 2.62 (1.77–3.88) | 2.02 (1.37–2.98) | 1.16 (0.76–1.77) | 1.00 (Reference) |
| Total | 2.81 (2.12–3.73) | 1.72 (1.29–2.30) | 1.13 (0.83–1.55) | 1.00 (Reference) |
© 2019 by the authors. Licensee MDPI, Basel, Switzerland. This article is an open access article distributed under the terms and conditions of the Creative Commons Attribution (CC BY) license (http://creativecommons.org/licenses/by/4.0/).
Share and Cite
Bae, E.-J.; Park, N.-J.; Sohn, H.-S.; Kim, Y.-H. Handgrip Strength and All-Cause Mortality in Middle-Aged and Older Koreans. Int. J. Environ. Res. Public Health 2019, 16, 740. https://doi.org/10.3390/ijerph16050740
Bae E-J, Park N-J, Sohn H-S, Kim Y-H. Handgrip Strength and All-Cause Mortality in Middle-Aged and Older Koreans. International Journal of Environmental Research and Public Health. 2019; 16(5):740. https://doi.org/10.3390/ijerph16050740
Chicago/Turabian StyleBae, Eun-Jung, Na-Jin Park, Hae-Sook Sohn, and Yun-Hee Kim. 2019. "Handgrip Strength and All-Cause Mortality in Middle-Aged and Older Koreans" International Journal of Environmental Research and Public Health 16, no. 5: 740. https://doi.org/10.3390/ijerph16050740
APA StyleBae, E.-J., Park, N.-J., Sohn, H.-S., & Kim, Y.-H. (2019). Handgrip Strength and All-Cause Mortality in Middle-Aged and Older Koreans. International Journal of Environmental Research and Public Health, 16(5), 740. https://doi.org/10.3390/ijerph16050740
