How Does Economic Inequality Affect Infanticide Rates? An Analysis of 15 Years of Death Records and Representative Economic Data
Abstract
1. Introduction
1.1. Question of Current Study
1.2. Multiple Causes of Infanticide
1.3. Environmental Causes of Infanticide
1.4. Macro-Level Economic Variables and Their Associations with Infanticide
1.5. Hypothesis of the Current Study
2. Materials and Methods
2.1. Data
2.2. Statistical Analysis
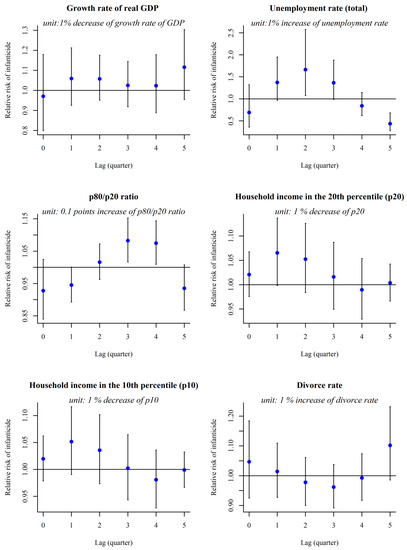
3. Results
4. Discussion
Author Contributions
Funding
Conflicts of Interest
References
- Hatters Friedman, S.; Resnick, P.J. Child murder by mothers: Patterns and prevention. World Psychiatry 2007, 6, 137–141. [Google Scholar]
- Jung, S.-K.; Lee, J.-R.; Kim, J.-Y.; Taq, G.-J.; Oh, I.-J.; Cheol, M.-E. Analysis of parricide and filicide in Korea. Korean J. Leg. Med. 2014, 14, 52–58. [Google Scholar] [CrossRef]
- Das Gupta, M.; Jiang, Z.H.; Li, B.H.; Xie, Z.M.; Chung, W.; Hwa-Ok, B. Why is son preference so persistent in East and South Asia? A cross-country study of China, India and the Republic of Korea. J. Dev. Stud. 2003, 40, 153–187. [Google Scholar] [CrossRef]
- Chung, W.; Gupta, M.D. The decline of son preference in South Korea: The roles of development and public policy. J. Popul. Dev. Rev. 2007, 33, 757–783. [Google Scholar] [CrossRef]
- Sjöstrand, I. The “Baby box”, An Issue or Solution to Child Abandonment in South Korea. Bachelor’s Thesis, Stockholm University, Stockholm, Sweden, 2018. [Google Scholar]
- Song, Y.H.; Lee, G.M.; Yoon, J.M.; Cheon, E.J.; Lee, S.K.; Chung, S.H.; Lim, J.W. Trends in Fetal and Perinatal Mortality in Korea (2009–2014): Comparison with Japan and the United States. J. Korean Med. Sci. 2017, 32, 1319–1326. [Google Scholar] [CrossRef] [PubMed]
- Friedman, S.H.; Horwitz, S.M.; Resnick, P.J. Child murder by mothers: A critical analysis of the current state of knowledge and a research agenda. Am. J. Psychiatry 2005, 162, 1578–1587. [Google Scholar] [CrossRef] [PubMed]
- Obladen, M. From Crime to Disease: Laws on Infanticide in the Modern Era. Neonatology 2016, 109, 170–176. [Google Scholar] [CrossRef] [PubMed]
- Chen, C.; Yang, Z.; Li, Y.; Wei, N.; Li, P.; Guo, Y.; Ren, J.; Ding, N.; Huang, L. Association and haplotype analysis of candidate genes in five genomic regions linked to sow maternal infanticide in a white Duroc x Erhualian resource population. BMC Genet. 2011, 12, 24. [Google Scholar] [CrossRef] [PubMed]
- Silverman, R.A.; Kennedy, L.W. Women who kill their children. Violence 1988, 3, 113. [Google Scholar] [CrossRef]
- Sakuta, T.; Saito, S. A socio-medical study on 71 cases of infanticide in Japan. Keio J. Med. 1981, 30, 155–168. [Google Scholar] [CrossRef] [PubMed]
- Tang, D.; Siu, B. Maternal Infanticide and Filicide in a Psychiatric Custodial Institution in Hong Kong. East Asian Arch. Psychiatry 2018, 28, 139–143. [Google Scholar] [PubMed]
- Chapman, M. Infanticide and fertility among Eskimos: A computer simulation. Am. J. Phys. Anthropol. 1980, 53, 317–327. [Google Scholar] [CrossRef] [PubMed]
- Banister, J. Shortage of girls in China today. J. Popul. Res. 2004, 21, 19–45. [Google Scholar] [CrossRef]
- Zafar, T.; Naik, A.Q.; Shrivastava, V.K. Effect of cold stress on infanticide by female Swiss albino mice Mus musculus: A pilot study. J. Anim. Sci. Technol. 2018, 60, 7. [Google Scholar] [CrossRef] [PubMed]
- Hrdy, S.B. Infanticide among animals: A review, classification, and examination of the implications for the reproductive strategies of females. Ethol. Sociobiol. 1979, 1, 13–40. [Google Scholar] [CrossRef]
- Haapasalo, J.; Petäjä, S. Mothers who killed or attempted to kill their child: Life circumstances, childhood abuse, and types of killing. J. Violence Vict. 1999, 14, 219. [Google Scholar] [CrossRef]
- Gauthier, D.K.; Chaudoir, N.K.; Forsyth, C.J. A sociological analysis of maternal infanticide in the UNITED States, 1984–1996. Deviant Behav. 2003, 24, 393–404. [Google Scholar] [CrossRef]
- Razali, S.; Kirkman, M.; Ahmad, S.H.; Fisher, J. Infanticide and illegal infant abandonment in Malaysia. Child Abus. Negl. 2014, 38, 1715–1724. [Google Scholar] [CrossRef]
- Liu, Y.P.; Hsu, R.J.; Wu, M.H.; Peng, C.C.; Chang, S.T.; Lei, W.T.; Yeh, T.L.; Liu, J.M.; Lin, C.Y. Economic Conditions May Contribute to Increased Violence toward Children: A Nationwide Population-Based Analysis of Pediatric Injuries in Taiwanese Emergency Departments. Int. J. Environ. Res. Public Health 2018, 15, 182. [Google Scholar] [CrossRef]
- Yasumi, K.; Kageyama, J. Filicide and fatal abuse in Japan, 1994–2005: Temporal trends and regional distribution. J. Forensic Leg. Med. 2009, 16, 70–75. [Google Scholar] [CrossRef]
- Korea National Statistical Office. Cause of death Statistics. Available online: https://mdis.kostat.go.kr (accessed on 14 July 2019).
- Elstad, J.I. Income inequality and foregone medical care in Europe during The Great Recession: Multilevel analyses of EU-SILC surveys 2008–2013. Int. J. Equity Health 2016, 15, 101. [Google Scholar] [CrossRef] [PubMed]
- Nikolopoulos, G.K.; Fotiou, A.; Kanavou, E.; Richardson, C.; Detsis, M.; Pharris, A.; Suk, J.E.; Semenza, J.C.; Costa-Storti, C.; Paraskevis, D.; et al. National income inequality and declining GDP growth rates are associated with increases in HIV diagnoses among people who inject drugs in Europe: A panel data analysis. PLoS ONE 2015, 10, e0122367. [Google Scholar] [CrossRef] [PubMed]
- Gasparrini, A.; Scheipl, F.; Armstrong, B.; Kenward, M.G. A penalized framework for distributed lag non-linear models. Biometrics 2017, 73, 938–948. [Google Scholar] [CrossRef] [PubMed]
- Gasparrini, A.; Armstrong, B.; Kenward, M.G. Distributed lag non-linear models. Stat. Med. 2010, 29, 2224–2234. [Google Scholar] [CrossRef]
- Harris, W.V. The theoretical possibility of extensive infanticide in the Graeco-Roman world. Class. Q. 1982, 32, 114–116. [Google Scholar] [CrossRef]
- Saito, O. Mabiki: Infanticide and Population Growth in Eastern Japan, 1660–1950 by Fabian Drixler. Harv. J. Asiat. Stud. 2014, 74, 385–392. [Google Scholar] [CrossRef]
- Conrad-Hiebner, A.; Byram, E. The Temporal Impact of Economic Insecurity on Child Maltreatment: A Systematic Review. Trauma Violence Abus. 2018, 1524838018756122. [Google Scholar] [CrossRef]
- Lefebvre, R.; Fallon, B.; Van Wert, M.; Filippelli, J. Examining the Relationship between Economic Hardship and Child Maltreatment Using Data from the Ontario Incidence Study of Reported Child Abuse and Neglect-2013 (OIS-2013). Behav. Sci. 2017, 7, 6. [Google Scholar] [CrossRef]
- Frioux, S.; Wood, J.N.; Fakeye, O.; Luan, X.; Localio, R.; Rubin, D.M. Longitudinal association of county-level economic indicators and child maltreatment incidents. Matern. Child Health J. 2014, 18, 2202–2208. [Google Scholar] [CrossRef]
- Brooks-Gunn, J.; Schneider, W.; Waldfogel, J. The Great Recession and the risk for child maltreatment. Child Abus. Negl. 2013, 37, 721–729. [Google Scholar] [CrossRef]
- Toge, A.G. Health Effects of Unemployment in Europe during the Great Recession: The Impact of Unemployment Generosity. Int. J. Health Serv. 2016, 46, 614–641. [Google Scholar] [CrossRef] [PubMed]
- Laanani, M.; Ghosn, W.; Jougla, E.; Rey, G. Impact of unemployment variations on suicide mortality in Western European countries (2000–2010): authors’ reply. J. Epidemiol. Community Health 2015, 69, 819–820. [Google Scholar] [CrossRef] [PubMed]
- Maruthappu, M.; Watkins, J.; Noor, A.M.; Williams, C.; Ali, R.; Sullivan, R.; Zeltner, T.; Atun, R. Economic downturns, universal health coverage, and cancer mortality in high-income and middle-income countries, 1990–2010: A longitudinal analysis. Lancet 2016, 388, 684–695. [Google Scholar] [CrossRef]
- Wang, Q.; Shen, J.J.; Cochran, C. Unemployment Rate, Smoking in China: Are They Related? Int. J. Environ. Res. Public Health 2016, 13, 113. [Google Scholar] [CrossRef] [PubMed]
- Wang, Q. The Effects of Unemployment Rate on Health Status of Chinese People. Iran J. Public Health 2015, 44, 28–35. [Google Scholar] [PubMed]
- Miyake, Y.; Tanaka, K.; Sasaki, S.; Hirota, Y. Employment, income, and education and risk of postpartum depression: The Osaka Maternal and Child Health Study. J. Affect Disord. 2011, 130, 133–137. [Google Scholar] [CrossRef] [PubMed]
- Lindo, J.M. Parental job loss and infant health. J. Health Econ. 2011, 30, 869–879. [Google Scholar] [CrossRef] [PubMed]
- Scharber, H. Does “Out of work” get into the womb? Exploring the relationship between unemployment and adverse birth outcomes. J. Health Soc. Behav. 2014, 55, 266–282. [Google Scholar] [CrossRef] [PubMed]
- Bor, J.; Cohen, G.H.; Galea, S. Population health in an era of rising income inequality: USA, 1980–2015. Lancet 2017, 389, 1475–1490. [Google Scholar] [CrossRef]
- Ruiz, J.I.; Nuhu, K.; McDaniel, J.T.; Popoff, F.; Izcovich, A.; Criniti, J.M. Inequality as a Powerful Predictor of Infant and Maternal Mortality around the World. PLoS ONE 2015, 10, e0140796. [Google Scholar] [CrossRef] [PubMed]
- Yu, S. Uncovering the hidden impacts of inequality on mental health: A global study. Transl. Psychiatry 2018, 8, 98. [Google Scholar] [CrossRef] [PubMed]
- Mellor, J.M.; Milyo, J. Is exposure to income inequality a public health concern? Lagged effects of income inequality on individual and population health. Health Serv. Res. 2003, 38, 137–151. [Google Scholar] [CrossRef]
- Kondo, N.; van Dam, R.M.; Sembajwe, G.; Subramanian, S.V.; Kawachi, I.; Yamagata, Z. Income inequality and health: The role of population size, inequality threshold, period effects and lag effects. J. Epidemiol. Community Health 2012, 66, e11. [Google Scholar] [CrossRef] [PubMed]
- Bobo, F.T.; Yesuf, E.A.; Woldie, M. Inequities in utilization of reproductive and maternal health services in Ethiopia. Int. J. Equity Health 2017, 16, 105. [Google Scholar] [CrossRef] [PubMed]
- Langlois, E.V.; Miszkurka, M.; Zunzunegui, M.V.; Ghaffar, A.; Ziegler, D.; Karp, I. Inequities in postnatal care in low- and middle-income countries: A systematic review and meta-analysis. Bull. World Health Organ. 2015, 93. [Google Scholar] [CrossRef] [PubMed]
- Hosseinpoor, A.R.; Van Doorslaer, E.; Speybroeck, N.; Naghavi, M.; Mohammad, K.; Majdzadeh, R.; Delavar, B.; Jamshidi, H.; Vega, J. Decomposing socioeconomic inequality in infant mortality in Iran. Int. J. Epidemiol. 2006, 35, 1211–1219. [Google Scholar] [CrossRef] [PubMed]
- Olson, M.E.; Diekema, D.; Elliott, B.A.; Renier, C.M. Impact of income and income inequality on infant health outcomes in the United States. Pediatrics 2010, 126, 1165–1173. [Google Scholar] [CrossRef] [PubMed]
- Weightman, A.L.; Morgan, H.E.; Shepherd, M.A.; Kitcher, H.; Roberts, C.; Dunstan, F.D. Social inequality and infant health in the UK: Systematic review and meta-analyses. BMJ Open 2012, 2, e000964. [Google Scholar] [CrossRef] [PubMed]
- Goyal, D.; Gay, C.; Lee, K.A. How much does low socioeconomic status increase the risk of prenatal and postpartum depressive symptoms in first-time mothers? Womens Health Issues 2010, 20, 96–104. [Google Scholar] [CrossRef] [PubMed]
- Kim, M.K.; Lee, S.M.; Bae, S.H.; Kim, H.J.; Lim, N.G.; Yoon, S.J.; Lee, J.Y.; Jo, M.W. Socioeconomic status can affect pregnancy outcomes and complications, even with a universal healthcare system. Int. J. Equity Health 2018, 17, 2. [Google Scholar] [CrossRef] [PubMed]
- Tannous, L.; Gigante, L.P.; Fuchs, S.C.; Busnello, E.D. Postnatal depression in Southern Brazil: Prevalence and its demographic and socioeconomic determinants. BMC Psychiatry 2008, 8, 1. [Google Scholar] [CrossRef]
- Meltzer-Brody, S.; Maegbaek, M.L.; Medland, S.E.; Miller, W.C.; Sullivan, P.; Munk-Olsen, T. Obstetrical, pregnancy and socio-economic predictors for new-onset severe postpartum psychiatric disorders in primiparous women. Psychol. Med. 2017, 47, 1427–1441. [Google Scholar] [CrossRef] [PubMed]
- Okun, A.M. Potential GNP: Its Measurement and Significance; Cowles Foundation for Research in Economics: New Haven, CT, USA, 1963. [Google Scholar]
- Entorf, H. Mismatch explanations of European unemployment. In Mismatch Explanations of European Unemployment; Springer: Berlin, Germany, 1998; pp. 1–10. [Google Scholar]
- Cho, D.H.; Choi, K.U. A Study on the Time-varying Relationships between Korean Economic Growth and Unemployment. Korea Ind. Econ. Assoc. 2015, 28, 2329–2348. [Google Scholar]
- Korzeniewicz, R.P.; Moran, T.P. Theorizing the relationship between inequality and economic growth. Theory Soc. 2005, 34, 277–316. [Google Scholar] [CrossRef]
- Panizza, U. Income inequality and economic growth: Evidence from American data. J. Econ. Growth 2002, 7, 25–41. [Google Scholar] [CrossRef]
- Khang, Y.H.; Lynch, J.W.; Kaplan, G.A. Impact of economic crisis on cause-specific mortality in South Korea. Int. J. Epidemiol. 2005, 34, 1291–1301. [Google Scholar] [CrossRef] [PubMed]
- Orsini, C.; Avendano, M. Macro-economic conditions and infant health: A changing relationship for black and white infants in the United States. PLoS ONE 2015, 10, e0123501. [Google Scholar] [CrossRef] [PubMed]
- Braveman, P.; Starfield, B.; Geiger, H.J. World Health Report 2000: How it removes equity from the agenda for public health monitoring and policy. BMJ 2001, 323, 678–681. [Google Scholar] [CrossRef] [PubMed]
- Eckenrode, J.; Smith, E.G.; McCarthy, M.E.; Dineen, M. Income inequality and child maltreatment in the United States. Pediatrics 2014, 133, 454–461. [Google Scholar] [CrossRef] [PubMed]
- Kwon, J.M. A Comparative Study of Anonymous Birth. Northeast Asian Law J. 2015, 8, 475–498. [Google Scholar]
- Collison, D. Income Inequality and Child Mortality in Wealthy Nations. World Rev. Nutr. Diet. 2016, 115, 46–53. [Google Scholar] [PubMed]
- Jutz, R. The role of income inequality and social policies on income-related health inequalities in Europe. Int. J. Equity Health 2015, 14, 117. [Google Scholar] [CrossRef] [PubMed]
- Cheung, F. Income redistribution predicts greater life satisfaction across individual, national, and cultural characteristics. J. Personal. Soc. Psychol. 2018, 115, 867–882. [Google Scholar] [CrossRef] [PubMed]



| Variable | Definition | Median (Q1–Q3) | Min–Max |
|---|---|---|---|
| Infanticide rate per 100,000 | number of infant deaths caused by assault per 100,000 infants | 2.70 (1.68–4.98) | 0.75–7.75 |
| Quarterly growth rate of GDP (%) | percentage change of real GDP from previous quarter | 0.77 (0.58–1.25) | −3.33–2.84 |
| Unemployment rate (%) | number of unemployed people divided by the number of economically active persons aged 15 or older | 3.5 (3.2–3.7) | 2.8–4.6 |
| Income inequality index | |||
| p80/p20 ratio | the ratio of income in the top 20% of the population to income in the bottom 20% | 5.17 (4.88–5.34) | 4.19–5.93 |
| Quarterly change rate of household income | |||
| in 20th percentile | quarterly change rate of income in the bottom of 20% of the population | 2.45 (−4.29–7.10) | −11.75–12.65 |
| in 10th percentile | quarterly change rate of income in the bottom 10% of the population | 2.39 (−5.14–7.62) | −14.98–16.81 |
| Divorce rate (%) | number of divorces per 1000 people | 2.4 (2.2–2.6) | 1.8–3.6 |
© 2019 by the authors. Licensee MDPI, Basel, Switzerland. This article is an open access article distributed under the terms and conditions of the Creative Commons Attribution (CC BY) license (http://creativecommons.org/licenses/by/4.0/).
Share and Cite
Baek, S.-U.; Lim, S.-S.; Kim, J.; Yoon, J.-H. How Does Economic Inequality Affect Infanticide Rates? An Analysis of 15 Years of Death Records and Representative Economic Data. Int. J. Environ. Res. Public Health 2019, 16, 3679. https://doi.org/10.3390/ijerph16193679
Baek S-U, Lim S-S, Kim J, Yoon J-H. How Does Economic Inequality Affect Infanticide Rates? An Analysis of 15 Years of Death Records and Representative Economic Data. International Journal of Environmental Research and Public Health. 2019; 16(19):3679. https://doi.org/10.3390/ijerph16193679
Chicago/Turabian StyleBaek, Seong-Uk, Sung-Shil Lim, Jihyun Kim, and Jin-Ha Yoon. 2019. "How Does Economic Inequality Affect Infanticide Rates? An Analysis of 15 Years of Death Records and Representative Economic Data" International Journal of Environmental Research and Public Health 16, no. 19: 3679. https://doi.org/10.3390/ijerph16193679
APA StyleBaek, S.-U., Lim, S.-S., Kim, J., & Yoon, J.-H. (2019). How Does Economic Inequality Affect Infanticide Rates? An Analysis of 15 Years of Death Records and Representative Economic Data. International Journal of Environmental Research and Public Health, 16(19), 3679. https://doi.org/10.3390/ijerph16193679

