Local Residents’ Perceptions for Ecosystem Services: A Case Study of Fenghe River Watershed
Abstract
1. Introduction
2. Materials and Methods
2.1. Study Area
2.2. Sampling
2.3. Questionnaire Survey
2.4. Data Processing and Analysis
3. Results
3.1. Basic Information of Respondents
3.2. Residents’ Preferences for ES
3.3. Residents’ Willingness to Pay for Ecosystem Services
3.3.1. Willingness to Pay
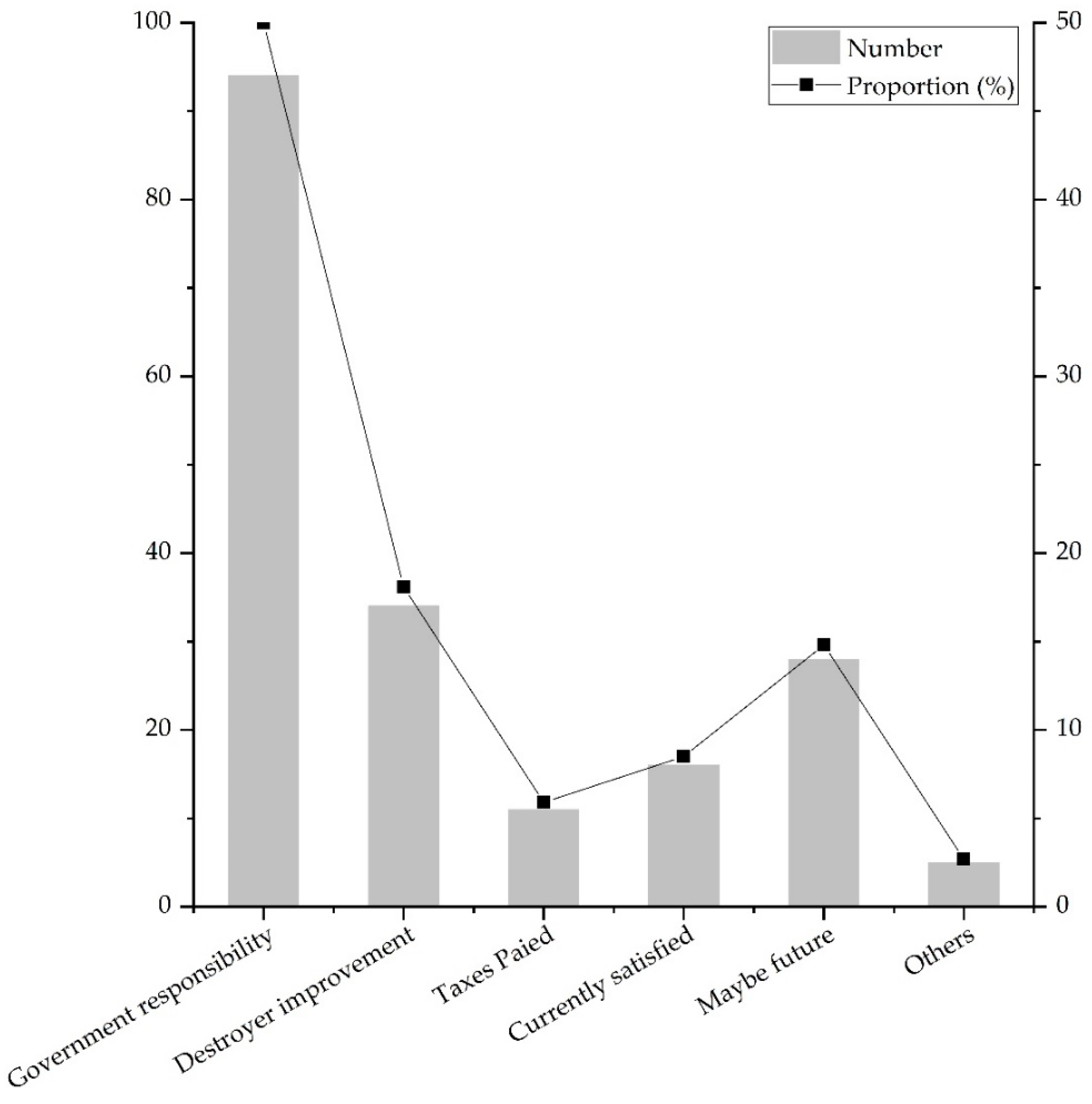
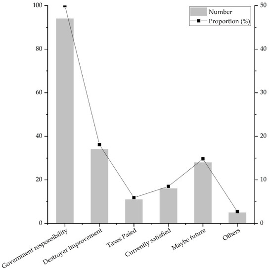
3.3.2. Reasons for Refusal to Pay
3.4. Factors Affecting Preference Heterogeneity
3.4.1. Personal Factors
3.4.2. Residential Factors
4. Discussion
4.1. Responders’ Reflections for the Perceptions of ES
4.2. Preference Heterogeneity
4.2.1. The Influence of Residential Factors
4.2.2. The Influence of Personal Factors
4.3. The Lower Awareness for WR, SR, and BD by Residents
4.4. Limitations
4.5. Management Recommendations
- (1)
- the air quality and water quality need to be improved urgently. We should actively implement the haze control action plan in Xi’an, which involves fully implementing “coal cleaning”, dismantling coal-fired boilers and coal-fired facilities, reducing the use of loose coal, and so on. Meanwhile, we should also carry out the ‘ecological restoration project of the Fenghe River’, and actively build and expand sewage treatment plants to ensure that sewage discharge meets the standards.
- (2)
- managers should raise residents’ awareness of regulating services and BD. Managers should educate residents about their important role and understand which actions protect or impair these services. For example, they should help residents understand that forests have the function of WR and SR, and then they will gradually form an ecological awareness of protecting forests.
- (3)
- establishing a multi-channel fund system with government financial resources as the main source will help to improve the local ES and BD. The improvement of public assets, the main capital investment should be obtained from government funds, supplemented by other channels.
5. Conclusions
- (1)
- Residents have a higher preference for WP, AP, AGR and FW, but a lower preference for WR, SR, BD and cultural services.
- (2)
- About half of the residents are willing to pay, and half of residents are unwilling to pay. The amount that residents are willing to pay is roughly the same as their preferences for paying for services.
- (3)
- Residents’ preferences for ES are heterogeneous, and residential factors and personal factors have an impact on heterogeneity.
- (4)
- There are differences in residents’ perceptions for ES in different regions.
- (5)
- Improving ES of the Fenghe River watershed should be carried out in three aspects: pollution control, raising residents’ awareness of ES, and funding guarantees.
Author Contributions
Funding
Acknowledgments
Conflicts of Interest
Appendix A
| Item | Group | Number | Proportion (%) | Item | Group | Number | Proportion (%) |
|---|---|---|---|---|---|---|---|
| Gender | Male | 208 | 53.9% | Education | Uneducated | 10 | 2.6% |
| Female | 178 | 46.1% | Primary School | 71 | 18.4% | ||
| Age | 18–30 | 130 | 33.7% | Middle School | 180 | 46.6% | |
| 31–40 | 63 | 16.3% | ≥College | 125 | 32.4% | ||
| 41–50 | 71 | 18.4% | Residential time | <10 years | 22 | 5.7% | |
| 51–60 | 61 | 15.8% | 10–20 years | 37 | 9.6% | ||
| >60 | 61 | 15.8% | 21–30 years | 103 | 26.7% | ||
| Monthly Income | <2000 | 134 | 34.7% | 31–40 years | 51 | 13.2% | |
| 2000–3000 | 93 | 24.1% | 41–50 years | 58 | 15% | ||
| 3000–5000 | 97 | 25.1% | >50 years | 115 | 29.8% | ||
| 5000–8000 | 43 | 11.1% | Occupation | Office Clerk | 49 | 12.7% | |
| >8000 | 19 | 5% | Services | 22 | 5.7% | ||
| Residential area | Upstream | 65 | 16.9% | Public functionary | 22 | 5.7% | |
| Midstream | 280 | 72.5% | Self-employed | 49 | 12.7% | ||
| Downstream | 41 | 10.6% | Student | 53 | 13.7% | ||
| Habitation | Urban area | 80 | 20.7% | Famer | 160 | 41.5% | |
| Rural area | 306 | 79.3% | Retired | 16 | 4.1% | ||
| - | - | - | - | Other | 14 | 3.6% |
| ES | Selection Frequency | Importance | Order | |||||
|---|---|---|---|---|---|---|---|---|
| 1 | 2 | 3 | 4 | 5 | No Choice | |||
| WP ** | 0.33 | 0.23 | 0.14 | 0.08 | 0.07 | 0.16 | 3.19 | 1 |
| AP ** | 0.25 | 0.22 | 0.20 | 0.13 | 0.09 | 0.11 | 3.07 | 2 |
| FW * | 0.10 | 0.21 | 0.13 | 0.09 | 0.07 | 0.40 | 1.96 | 3 |
| AGR * | 0.15 | 0.09 | 0.12 | 0.12 | 0.10 | 0.42 | 1.81 | 4 |
| SR ** | 0.02 | 0.06 | 0.11 | 0.12 | 0.13 | 0.55 | 1.06 | 5 |
| WR ** | 0.03 | 0.07 | 0.09 | 0.09 | 0.12 | 0.60 | 1.00 | 6 |
| RE *** | 0.04 | 0.03 | 0.06 | 0.09 | 0.11 | 0.66 | 0.82 | 7 |
| BD | 0.02 | 0.02 | 0.07 | 0.12 | 0.11 | 0.66 | 0.77 | 8 |
| AES *** | 0.02 | 0.03 | 0.04 | 0.10 | 0.13 | 0.68 | 0.69 | 9 |
| LIV * | 0.02 | 0.04 | 0.03 | 0.05 | 0.01 | 0.85 | 0.46 | 10 |
| SP *** | 0.01 | 0.01 | 0.01 | 0.01 | 0.05 | 0.90 | 0.23 | 11 |
| Factor | Sub-Factor | Number | AGR | LIV | FW | AP | SR | WR | WP | BD | AES | RE | SP |
|---|---|---|---|---|---|---|---|---|---|---|---|---|---|
| Education | No | 10 | 2.60 | 0.40 | 2.9 | 3.10 | 1.7 | 0.20 | 4.1 | 0.30 | 0.20 | 0.00 | 0.30 |
| Primary school | 71 | 2.38 | 0.23 | 2.34 | 3.13 | 1.46 | 0.62 | 3.83 | 0.42 | 0.44 | 0.32 | 0.21 | |
| Middle school | 180 | 1.66 | 0.51 | 1.98 | 3.46 | 0.94 | 1.03 | 3.43 | 0.59 | 0.68 | 0.79 | 0.18 | |
| ≥College | 125 | 1.27 | 0.49 | 1.95 | 2.58 | 1.11 | 1.43 | 2.52 | 1.26 | 0.92 | 1.2 | 0.30 | |
| Age | 18–30 | 130 | 1.51 | 0.67 | 1.86 | 2.94 | 1 | 1.34 | 2.62 | 0.98 | 0.88 | 1.08 | 0.28 |
| 31–40 | 63 | 1.67 | 0.54 | 2.16 | 2.83 | 1 | 1.38 | 3.21 | 0.71 | 0.63 | 1.27 | 0.16 | |
| 41–50 | 71 | 1.70 | 0.21 | 1.77 | 3.54 | 1.30 | 0.85 | 3.61 | 0.68 | 0.76 | 0.73 | 0.21 | |
| 51–60 | 61 | 1.84 | 0.41 | 2.21 | 3.18 | 0.8 | 0.8 | 3.57 | 0.54 | 0.61 | 0.51 | 0.26 | |
| >60 | 61 | 1.95 | 0.18 | 2.57 | 3.18 | 1.56 | 0.66 | 3.75 | 0.69 | 0.41 | 0.18 | 0.16 | |
| Monthly income | <2000 | 134 | 1..73 | 0.30 | 2.19 | 3.22 | 1.13 | 0.99 | 3.48 | 0.80 | 0.61 | 0.60 | 0.23 |
| 2000–3000 | 93 | 1.82 | 0.44 | 2.44 | 3.08 | 1.26 | 0.91 | 3.29 | 0.44 | 0.58 | 0.62 | 0.16 | |
| 3001–5000 | 97 | 1.51 | 0.58 | 1.63 | 2.89 | 0.98 | 1.27 | 3.22 | 0.98 | 0.85 | 1.13 | 0.22 | |
| 5001–8000 | 43 | 1.49 | 0.51 | 1.81 | 3.05 | 1.07 | 1.19 | 2.37 | 0.91 | 1.00 | 1.28 | 0.26 | |
| >8000 | 19 | 2.21 | 0.68 | 2.05 | 3.68 | 1.00 | 0.95 | 3.16 | 0.74 | 0.47 | 0.58 | 0.47 | |
| Occupation | Office clerk | 49 | 1.63 | 0.94 | 1.88 | 2.82 | 1.29 | 1.47 | 3.08 | 0.76 | 0.49 | 1.06 | 0.29 |
| Services | 22 | 1.55 | 0.32 | 1.64 | 3.55 | 1.45 | 0.73 | 3.55 | 0.73 | 0.65 | 0.73 | 0.23 | |
| P-functionary | 22 | 1.05 | 0.27 | 1.73 | 3.05 | 0.86 | 1.36 | 2.50 | 1.68 | 0.83 | 1.27 | 0.14 | |
| Self-employed | 49 | 1.86 | 0.53 | 1.71 | 3.33 | 1.04 | 1.53 | 2.76 | 0.59 | 0.58 | 0.82 | 0.37 | |
| Student | 53 | 1.19 | 0.36 | 2.09 | 2.85 | 0.74 | 1.49 | 2.57 | 1.25 | 1.09 | 1.30 | 0.23 | |
| Farmer | 160 | 1.97 | 0.32 | 2.43 | 3.19 | 1.27 | 0.61 | 3.86 | 0.51 | 0.42 | 0.53 | 0.14 | |
| Retired | 16 | 1.38 | 0.56 | 1.38 | 2.88 | 0.94 | 1.50 | 2.31 | 1.31 | 1.44 | 0.50 | 0.13 | |
| Other | 14 | 1.57 | 0.50 | 1.57 | 3.21 | 0.50 | 1.21 | 2.36 | 0.57 | 1.16 | 1.21 | 0.71 |
| Factor | Sub-Factor | Number | AGR | LIV | FW | AP | SR | WR | WP | BD | AES | RE | SP |
|---|---|---|---|---|---|---|---|---|---|---|---|---|---|
| Habitation | Urban area | 80 | 1.51 | 0.65 | 1.7 | 2.85 | 0.95 | 1.40 | 2.39 | 1.11 | 1.04 | 1.34 | 0.18 |
| Rural area | 306 | 1.74 | 0.39 | 2.16 | 3.17 | 1.15 | 0.97 | 3.45 | 0.68 | 0.61 | 0.68 | 0.24 | |
| Residential Time | ≤10 years | 48 | 2.09 | 0.00 | 1.56 | 2.85 | 0.73 | 1.23 | 3.19 | 0.94 | 1.00 | 1.38 | 0.42 |
| 11–20 years | 41 | 1.30 | 0.30 | 1.63 | 3.20 | 1.10 | 1.20 | 3.15 | 1.02 | 0.71 | 1.07 | 0.24 | |
| 21–30 years | 31 | 1.73 | 0.68 | 2.09 | 3.06 | 1.00 | 1.37 | 2.53 | 0.98 | 0.77 | 0.86 | 0.25 | |
| 31–40 years | 49 | 1.51 | 0.61 | 2.18 | 2.67 | 1.10 | 1.35 | 3.02 | 0.82 | 0.84 | 1.31 | 0.10 | |
| 41–50 years | 56 | 1.69 | 0.51 | 1.73 | 3.68 | 1.45 | 0.82 | 3.63 | 0.61 | 0.63 | 0.64 | 0.25 | |
| >50 years | 111 | 1.79 | 0.32 | 2.53 | 3.12 | 1.20 | 0.71 | 3.68 | 0.50 | 0.50 | 0.32 | 0.16 | |
| Residential Area | Upstream | 67 | 1.57 | 0.30 | 0.92 | 3.06 | 1.03 | 1.39 | 1.39 | 0.67 | 0.70 | 0.84 | 0.22 |
| Midstream | 280 | 1.76 | 0.47 | 2.25 | 3.06 | 1.18 | 1.00 | 1.00 | 0.74 | 0.64 | 0.66 | 0.20 | |
| Downstream | 39 | 1.38 | 0.51 | 1.94 | 3.54 | 0.77 | 0.95 | 0.95 | 1.13 | 1.15 | 1.92 | 0.44 |
References
- Daily, G.C. Nature’s Services: Societal dependence on natural ecosystems. Pac. Conserv. Biol. 1997, 6, 220–221. [Google Scholar] [CrossRef]
- Fisher, B.; Turner, R.K.; Morling, P. Defining and classifying ecosystem services for decision making. Ecol. Econ. 2009, 68, 643–653. [Google Scholar] [CrossRef]
- Ellis, E.C.; Ramankutty, N. Putting people in the map: Anthropogenic biomes of the world. Front. Ecol. Environ. 2008, 6, 439–447. [Google Scholar] [CrossRef]
- Gao, X.; Shen, J.Q.; He, W.J.; Sun, F.H.; Zhang, Z.F.; Zhang, X.; Zhang, C.C.; Kong, Y.; An, M.; Yuan, L.; et al. Changes in ecosystem services value and establishment of watershed ecological compensation standards. Int. J. Environ. Res. Public Health 2019, 16, 2951. [Google Scholar] [CrossRef] [PubMed]
- Liu, W.; Zhan, J.; Zhao, F.; Yan, H.; Zhang, F.; Wei, X. Impacts of urbanization-induced land-use changes on ecosystem services: A case study of the pearl river delta metropolitan region, China. Ecol. Indic. 2019, 98, 228–238. [Google Scholar] [CrossRef]
- Costanza, R.; de Groot, R.; Sutton, P.; van der Ploeg, S.; Anderson, S.J.; Kubiszewski, I.; Farber, S.; Turner, R.K. Changes in the global value of ecosystem services. Glob. Environ. Chang. 2014, 26, 152–158. [Google Scholar] [CrossRef]
- Millennium Ecosystem Assessment (MEA). Ecosystems and Well-Being; Island Press: Washington, DC, USA, 2005. [Google Scholar]
- Yang, K.; Yu, Z.; Luo, Y.; Zhou, X.; Shang, C. Spatial-Temporal Variation of Lake Surface Water Temperature and its Driving Factors in Yunnan-Guizhou Plateau. Water Resour. Res. 2019, 55, 4688–4703. [Google Scholar] [CrossRef]
- Knight, A.T.; Cowling, R.M.; Rouget, M.; Balmford, A.; Lombard, A.T.; Campbell, B.M. Knowing but not doing: Selecting priority conservation areas and the research implementation gap. Conserv. Biol. 2008, 22, 610–617. [Google Scholar] [CrossRef]
- McDonald, R.I.; Boucher, T.M. Global development and the future of the protected area strategy. Biol. Conserv. 2011, 144, 383–392. [Google Scholar] [CrossRef]
- Leverington, F.; Costa, K.L.; Pavese, H.; Lisle, A.; Hockings, M. A global analysis of protected area management effectiveness. Environ. Manag. 2010, 46, 685–698. [Google Scholar] [CrossRef]
- Willock, J.; Deary, I.J.; Edwards-Jones, G.; Gibson, G.J.; McGregor, M.J.; Sutherland, A.; Dent, J.B.; Morgan, O.; Grieve, R. The role of attitudes and objectives in farmer decision making: Business and environmentally oriented behavior in Scotland. J. Agric. Econ. 1999, 50, 286–303. [Google Scholar] [CrossRef]
- Reyers, B.; Roux, D.J.; Cowling, R.M.; Ginsburg, A.E.; Nel, J.L.; Farrell, P.O. Conservation planning as a transdisciplinary process. Conserv. Biol. 2010, 24, 957–965. [Google Scholar] [CrossRef] [PubMed]
- Mora, C.; Sale, P.F. Ongoing global BD loss and the need to move beyond protected areas: A review of the technical and practical shortcomings of protected areas on land and sea. Mar. Ecol. Prog. Ser. 2011, 434, 251–266. [Google Scholar] [CrossRef]
- Young, J.C.; Jordan, A.; Searle, K.R.; Butler, A.; Chapman, D.S.; Simmons, P.; Watt, A.D. Does stakeholder involvement really benefit BD conservation? Biol. Conserv. 2013, 158, 359–370. [Google Scholar] [CrossRef]
- Reed, M.S. Stakeholder participation for environmental management: Aliterature review. Biol. Conserv. 2008, 141, 2417–2431. [Google Scholar] [CrossRef]
- Thompson, B.S.; Bladon, A.J.; Fahad, Z.H.; Mohsanin, S.; Koldewey, H.J. Evaluation of the ecological effectiveness and social appropriateness of fishing regulations in the Bangladesh Sundarbans using a new multi-disciplinary assessment framework. Fish. Res. 2016, 183, 410–423. [Google Scholar] [CrossRef]
- Harrison, J.S.; Bosse, D.A.; Phillips, R.A. Managing for stakeholders, stakeholder utility functions, and competitive advantage. Strateg. Manag. J. 2010, 31, 58–74. [Google Scholar] [CrossRef]
- De Vente, J.; Reed, M.S.; Stringer, L.; Valente, S.; Newig, J. How does the context and design of participatory decision-making processes affect their outcomes? Evidence from sustainable land management in global drylands. Ecol. Soc. 2016, 21, 24. [Google Scholar] [CrossRef]
- Asah, S.T.; Guerry, A.D.; Blahna, D.J.; Lawler, J.J. Perception, acquisition and use of ecosystem services: Human behavior, and ecosystem management and policy implications. Ecosyst. Serv. 2014, 10, 180–186. [Google Scholar] [CrossRef]
- Ciftcioglu, G.C. Social preference-based valuation of the links between home gardens, ecosystem services, and human well-being in Lefke Region of North Cyprus. Ecosyst. Serv. 2017, 25, 227–236. [Google Scholar] [CrossRef]
- Thompson, B.S.; Friess, D.A. Stakeholder preferences for payments for ecosystem services (PES) versus other environmental management approaches for mangrove forests. J. Environ. Manag. 2019, 233, 636–648. [Google Scholar] [CrossRef] [PubMed]
- Sherrouse, B.C.; Semmens, D.J.; Clement, J.M. An application of Social Values for Ecosystem Services (SolVES) to three national forests in Colorado and Wyoming. Ecol. Indic. 2014, 36, 68–79. [Google Scholar] [CrossRef]
- Zhang, H.; Gao, Y.; Hua, Y.; Zhang, Y.; Liu, K. Assessing and mapping recreationists’ perceived social values for ecosystem services in the Qinling Mountains, China. Ecosyst. Serv. 2019, 39, 101006. [Google Scholar] [CrossRef]
- Burkhard, B.; Kroll, F.; Nedkov, S.; Müller, F. Mapping ecosystem service supply, demand and budgets. Ecol. Indic. 2012, 21, 17–29. [Google Scholar] [CrossRef]
- Castillo-Eguskitza, N.; Martín-López, B.; Onaindia, M. A comprehensive assessment of ecosystem services: Integrating supply, demand and interest in the Urdaibai Biosphere Reserve. Ecol. Indic. 2018, 93, 1176–1189. [Google Scholar] [CrossRef]
- Costanza, R. Social goals and the valuation of ecosystem services. Ecosystems 2000, 3, 4–10. [Google Scholar] [CrossRef]
- Lamarque, P.; Tappeiner, U.; Turner, C.; Steinbacher, M.; Bardgett, R.D.; Szukics, U.; Schermer, M.; Lavorel, S. Stakeholder perceptions of grassland ecosystem services in relation to knowledge on soil fertility and BD. Reg. Environ. Chang. 2011, 11, 791–804. [Google Scholar] [CrossRef]
- Martín-López, B.; Iniesta-Arandia, I.; García-Llorente, M.; Palomo, I.; Casado-Arzuaga, I.; Amo, D.G.D.; Gómez-Baggethun, E.; Oteros-Rozas, E.; Palacios-Agundez, I.; Willaarts, B.; et al. Uncovering ecosystem service bundles through social preferences. PLoS ONE 2012, 7, e38970. [Google Scholar] [CrossRef]
- Muhamad, D.; Okubo, S.; Harashina, K.; Parikesit Gunawan, B.; Takeuchi, K. Living close to forests enhances people’s perception of ecosystem services in a forest–agricultural landscape of West Java, Indonesia. Ecosyst. Serv. 2014, 8, 197–206. [Google Scholar] [CrossRef]
- Lhoest, S.; Dufrêne, M.; Vermeulen, C.; Oszwald, J.; Doucet, J.; Fayolle, A. Perceptions of ecosystem services provided by tropical forests to local populations in Cameroon. Ecosyst. Serv. 2019, 38, 100956. [Google Scholar] [CrossRef]
- Geijzendorffer, I.R.; Roche, P.K. The relevant scales of ecosystem services demand. Ecosyst. Serv. 2014, 10, 49–51. [Google Scholar] [CrossRef]
- Zhang, W.; Kato, E.; Bhandry, P.; Nkonya, E.; Ibrahim, H.I.; Agbonlahor, M.; Ibrahim, H.Y.; Cox, C. Awareness and perceptions of ecosystem services in relation to land use types: Evidence from rural communities in Nigeria. Ecosyst. Serv. 2016, 22, 150–160. [Google Scholar] [CrossRef]
- De Groot, R.S.; Wilson, M.A.; Boumans, R.M. A typology for the classification, description and valuation of ecosystem functions, goods and services. Ecol. Econ. 2002, 41, 393–408. [Google Scholar] [CrossRef]
- Wilson, M.A.; Carpenter, S.R. Economic valuation of freshwater ecosystem services in the United States: 1971–1997. Ecol. Appl. 1999, 9, 772. [Google Scholar] [CrossRef]
- Kremen, C.; Ostfeld, R.S. A call to ecologists: Measuring, analyzing, and managing ecosystem services. Front. Ecol. Environ. 2005, 3, 540–548. [Google Scholar] [CrossRef]
- Boeraeve, F.; Dendoncker, N.; Sander, J.; Gómez-Baggethun, E.; Dufrêne, M. How (not) to perform ecosystem service valuations: Pricing gorillas in the mist. Biodivers. Conserv. 2015, 24, 187–197. [Google Scholar] [CrossRef]
- Orenstein, D.E.; Groner, E. In the eye of the stakeholder: Changes in perceptions of ecosystem services across an international border. Ecosyst. Serv. 2014, 8, 185–196. [Google Scholar] [CrossRef]
- Braat, L.C.; de Groot, R. The ecosystem services agenda: Bridging the worlds of natural science and economics, conservation and development, and public and private policy. Ecosyst. Serv. 2012, 1, 4–15. [Google Scholar] [CrossRef]
- Collins, S.L.; Carpenter, S.R.; Swinton, S.M.; Orenstein, D.E.; Childers, D.L.; Gragson, T.L.; Grimm, N.B.; Grove, J.M.; Harlan, S.L.; Kaye, J.P.; et al. An integrated conceptual framework for long-term social-ecological research. Front. Ecol. Environ. 2010, 9, 351–357. [Google Scholar] [CrossRef]
- Hartter, J.; Solomon, J.; Ryan, S.J.; Jacobson, S.K.; Goldman, A. Contrasting perceptions of ecosystem services of an African forest park. Environ. Conserv. 2014, 41, 330–340. [Google Scholar] [CrossRef]
- Iftekhar, M.S.; Takama, T. Perceptions of BD, environmental services, and conservation of planted mangroves: A case study on Nijhum Dwip Island. Bangladesh. Wetl. Ecol. Manag. 2007, 16, 119–137. [Google Scholar] [CrossRef]
- Lu, S.D.; Sun, Y.J.; Zhao, X.; Wang, L.; Ding, A.Z.; Zhao, X.H. Sequencing insights into microbial communities in the water and sediments of Fenghe River, China. Arch. Environ. Contam. Toxicol. 2016, 71, 122–132. [Google Scholar] [CrossRef] [PubMed]
- Bhandari, P.; Kc, M.; Shrestha, S.; Aryal, A.; Shrestha, U.B. Assessments of ecosystem service indicators and stakeholder’s willingness to pay for selected ecosystem services in the Chure region of Nepal. Appl. Geogr. 2016, 69, 25–34. [Google Scholar] [CrossRef]
- Zhang, F.P.; Zhao, S.; Zhou, Z.C.; Wei, Y.F. Relationship between changes of land use pattern and water quality in Fenghe River watershed. Bull. Soil Water Conserv. 2014, 34, 308–312. [Google Scholar] [CrossRef]
- Belton, B.; Filipski, M. Rural transformation in central Myanmar: By how much, and for whom? J. Rural Stud. 2019, 67, 166–176. [Google Scholar] [CrossRef]
- Wei, H.J.; Liu, H.M.; Xu, Z.H.; Ren, J.H.; Lu, N.C.; Fan, W.G.; Zhang, P.; Dong, X.B. Linking ecosystem services supply, social demand and human well-being in a typical mountain–oasis–desert area, Xinjiang, China. Ecosyst. Serv. 2018, 31, 44–57. [Google Scholar] [CrossRef]
- Tobler, W.R. A Computer Movie Simulating Urban Growth in the Detroit Region. Econ. Geogr. 1970, 46. [Google Scholar] [CrossRef]
- Walpole, R.E.; Myers, R.H. Probability and Statistics for Engineers and Scientists, 2nd ed.; Macmillan Publishing Co. Inc.: New York, NY, USA, 1978. [Google Scholar]
- Wang, S.; Xiu, T.Y.; Sun, Y.; Meng, X.R.; Xu, J.C. The changes of mist and haze days and meteorological element during 1960–2012 in Xi’an. Acta Sci. Circumstantiae 2014, 34, 19–26. [Google Scholar] [CrossRef]
- Li, Y.J.; Guo, W.J.; Dong, W.; Li, J.K. Water environmental characteristics and pollution constitution for the Fenghe river in Shaanxi province. China Rural Water Hydropower 2014, 6, 70–76. [Google Scholar]
- Meng, D.F.; Tong, F.; Wang, X.Y. Application of entropy weight extended set pair analysis model on Xi’an city shallow groundwater quality assessment. Coal Geol. China 2018, 30, 55–60. [Google Scholar]
- He, S.Y.; Su, Y.; Wang, L.; Cheng, H.G. Realisation of recreation in national parks: Perspective of ecosystem services demand and willingness to pay of tourists in Wuyishan Pilot. J. Nat. Resour. 2019, 34, 40–53. [Google Scholar] [CrossRef]
- De Juan, S.; Gelcich, S.; Fernandez, M. Integrating stakeholder perceptions and preferences on ecosystem services in the management of coastal areas. Ocean Coast. Manag. 2017, 136, 38–48. [Google Scholar] [CrossRef]
- Kang, Y.; Cheng, C.X.; Liu, X.H.; Zhang, F.; Li, Z.H.; Lu, S.Q. An ecosystem services value assessment of land-use change in Chengdu: Based on a modification of scarcity factor. Phys. Chem. Earth 2019, 110, 157–167. [Google Scholar] [CrossRef]
- Maslow, A.H. A Theory of Human Motivation. Psychol. Rev. 1943, 50, 370–396. [Google Scholar] [CrossRef]
- Dominati, E.; Patterson, M.; Mackay, A. A framework for classifying and quantifying the natural capital and ecosystem services of soils. Ecol. Econ. 2010, 69, 1858–1868. [Google Scholar] [CrossRef]
- Li, P.W. Study on Investment Performance Evaluation and Influencing Factors of Air Pollution Control in Xi’an. Master’s Thesis, Xi’an University of Technology, Xi’an, China, 2018. [Google Scholar]
- Brun, M.; Di Pietro, F.; Bonthoux, S. Residents’ perceptions and valuations of urban wastelands are influenced by vegetation structure. Urban For. Urban Green. 2018, 29, 393–403. [Google Scholar] [CrossRef]
- Gobster, P.H.; Nassauer, J.I.; Daniel, T.C.; Fry, G. The shared landscape: What does aesthetics have to do with ecology? Landsc. Ecol. 2007, 22, 959–972. [Google Scholar] [CrossRef]
- Stern, P.C. Toward a coherent theory of environmentally significant behavior. J. Soc. Issues 2000, 56, 407–424. [Google Scholar] [CrossRef]
- Yang, Y.C.E.; Passarelli, S.; Lovell, R.J.; Ringler, C. Gendered perspectives of ecosystem services: A systematic review. Ecosyst. Serv. 2018, 31, 58–67. [Google Scholar] [CrossRef]
- Marx, K.; Engels, F. Selected Works of Marx and Engels; Translated the Compilation Bureau of Marx, Engels, Lenin and Stalin’s Works of the Central Committee of the Communist Party of China; People’s Publishing House: Beijing, China, 1995; Volume 1. [Google Scholar]
- Sun, X.; Lu, Z.M.; Li, F.; Crittenden, J.C. Analyzing spatio-temporal changes and trade-offs to support the supply of multiple ecosystem services in Beijing, China. Ecol. Indic. 2018, 94, 117–129. [Google Scholar] [CrossRef]
- Costanza, R.; D’Arge, R.; de Groot, R.; Farber, S.; Grasso, M.; Hannon, B.; Limburg, K.; Naeem, S.; O’Neill, R.V.; Paruelo, J.; et al. The value of the world’s ecosystem services and natural capital. Nature 1997, 387, 253–260. [Google Scholar] [CrossRef]
- Van Oost, K.; Verstraeten, G.; Doetterl, S.; Notebaert, B.; Wiaux, F.; Broothaerts, N.; Six, J. Legacy of human-induced C erosion and burial on soil-atmosphere C exchange. Proc. Natl. Acad. Sci. USA 2012, 109, 19492–19497. [Google Scholar] [CrossRef] [PubMed]
- Li, P.; Han, Z.; Jia, X.; Mei, Z.; Han, X.; Wang, Z. Comparative analysis of an organic Rankine cycle with different turbine efficiency models based on multi-objective optimization. Energy Convers. Manag. 2019, 185, 130–142. [Google Scholar] [CrossRef]
- Mace, G.M.; Norris, K.; Fitter, A.H. BD and ecosystem services: A multilayered relationship. Trends Ecol. Evol. 2012, 27, 19–26. [Google Scholar] [CrossRef] [PubMed]





| Factor | AGR | LIV | FW | AP | SR | WR | WP | BD | AES | RE | SP |
|---|---|---|---|---|---|---|---|---|---|---|---|
| Gender | 0.577 | 0.448 | 0.206 | 0.945 | 0.041 | 0.842 | 0.628 | 0.276 | 0.960 | 0.756 | 0.541 |
| Age | 0.557 | 0.023 * | 0.074 | 0.073 | 0.027 * | 0.004 ** | 0.000 *** | 0.163 | 0.153 | 0.000 *** | 0.839 |
| Occupation | 0.104 | 0.095 | 0.060 | 0.511 | 0.140 | 0.000 *** | 0.000 *** | 0.000 *** | 0.001 *** | 0.008 ** | 0.260 |
| Education | 0.000 *** | 0.364 | 0.173 | 0.001 *** | 0.058 | 0.000 *** | 0.000 *** | 0.000 *** | 0.007 ** | 0.000 *** | 0.648 |
| M-income | 0.455 | 0.367 | 0.030 * | 0.294 | 0.746 | 0.493 | 0.012 * | 0.048 * | 0.197 | 0.015 * | 0.661 |
| Factor | Variable | AGR | LIV | FW | AP | SR | WR | WP | BD | AES | RE | SP |
|---|---|---|---|---|---|---|---|---|---|---|---|---|
| Habitation | P | 0.319 | 0.108 | 0.049 * | 0.156 | 0.262 | 0.051 | 0.000 *** | 0.024 * | 0.016 * | 0.001 *** | 0.535 |
| RA | P | 0.388 | 0.515 | 0.000 *** | 0.213 | 0.222 | 0.146 | 0.146 | 0.157 | 0.05 * | 0.000 *** | 0.228 |
| RT | P | 0.778 | 0.180 | 0.01 * | 0.036 * | 0.201 | 0.018 * | 0.000 *** | 0.06 | 0.231 | 0.000 *** | 0.473 |
| DR | R | 0.010 | 0.191 ** | −0.062 | −0.069 | −0.175 ** | 0.122 * | −0.297 ** | 0.041 | 0.108 * | 0.109 * | 0.125 * |
| DXC | R | 0.046 | −0.190 ** | 0.049 | 0.069 | 0.145 ** | −0.080 | 0.322 ** | −0.090 | −0.092 | −0.160 ** | −0.116 * |
© 2019 by the authors. Licensee MDPI, Basel, Switzerland. This article is an open access article distributed under the terms and conditions of the Creative Commons Attribution (CC BY) license (http://creativecommons.org/licenses/by/4.0/).
Share and Cite
Zhang, H.; Pang, Q.; Long, H.; Zhu, H.; Gao, X.; Li, X.; Jiang, X.; Liu, K. Local Residents’ Perceptions for Ecosystem Services: A Case Study of Fenghe River Watershed. Int. J. Environ. Res. Public Health 2019, 16, 3602. https://doi.org/10.3390/ijerph16193602
Zhang H, Pang Q, Long H, Zhu H, Gao X, Li X, Jiang X, Liu K. Local Residents’ Perceptions for Ecosystem Services: A Case Study of Fenghe River Watershed. International Journal of Environmental Research and Public Health. 2019; 16(19):3602. https://doi.org/10.3390/ijerph16193602
Chicago/Turabian StyleZhang, Hongjuan, Qian Pang, Huan Long, Haochen Zhu, Xin Gao, Xiuqing Li, Xiaohui Jiang, and Kang Liu. 2019. "Local Residents’ Perceptions for Ecosystem Services: A Case Study of Fenghe River Watershed" International Journal of Environmental Research and Public Health 16, no. 19: 3602. https://doi.org/10.3390/ijerph16193602
APA StyleZhang, H., Pang, Q., Long, H., Zhu, H., Gao, X., Li, X., Jiang, X., & Liu, K. (2019). Local Residents’ Perceptions for Ecosystem Services: A Case Study of Fenghe River Watershed. International Journal of Environmental Research and Public Health, 16(19), 3602. https://doi.org/10.3390/ijerph16193602
