A Deterministic Model for Estimating Indoor Radon Concentrations in South Korea
Abstract
1. Introduction
2. Materials and Methods
2.1. Indoor Radon Concentrations and Questionnaires
2.2. Nationwide Radon Survey Data
2.3. Geographical and Meteorological Data
2.4. Mass Balance Equation of Indoor Radon
2.5. Infiltration Factor Model
2.6. Model Application
- (1)
- As mentioned above, indoor radon concentrations were converted to annual mean radon concentrations in residences using the correction factors in Park et al. [6].
- (2)
- Since radon entry from building materials is relatively small, compared to that from soil [15], we assumed that . Furthermore, since information on radon concentrations in soil in Korea is lacking and radon concentrations in soil are not measured under the same conditions, they are not suitable for use as a representative value of . In Korea, indoor radon concentrations are high in granite zones, compared to other areas [16]. The nationwide radon survey data for measured radon concentrations that we used in this study were obtained only during the winter season, reducing the impact of factors such as ventilation thereon. Therefore, using the data obtained from nationwide radon surveys, we estimated radon concentrations in soil for 233 administrative districts (city/county/district) by assigning weights. The weight was calculated as the ratio of regional geometric mean to total geometric mean. In the case of radon concentrations in outdoor air , we estimated radon concentrations in outdoor air for 17 administrative districts (city/province) in the same manner as above.
- (3)
- Since ventilation rates are affected by meteorological factors, such as indoor and outdoor temperature differences and wind speeds [10], mean monthly wind speed and outdoor temperature were used to calculate ventilation rate. For smoothness of annual deviations in the mean monthly meteorological factors, we used 30-year averages (1981–2010). Moreover, for calculating ventilation rate , the values of fitting parameters and were assumed to be the same as those in Park et al. [5]. Additionally, weights were assigned to differently according to the resident’s ventilation habits.
- (4)
- The radon decay constant is [17].
3. Results and Discussion
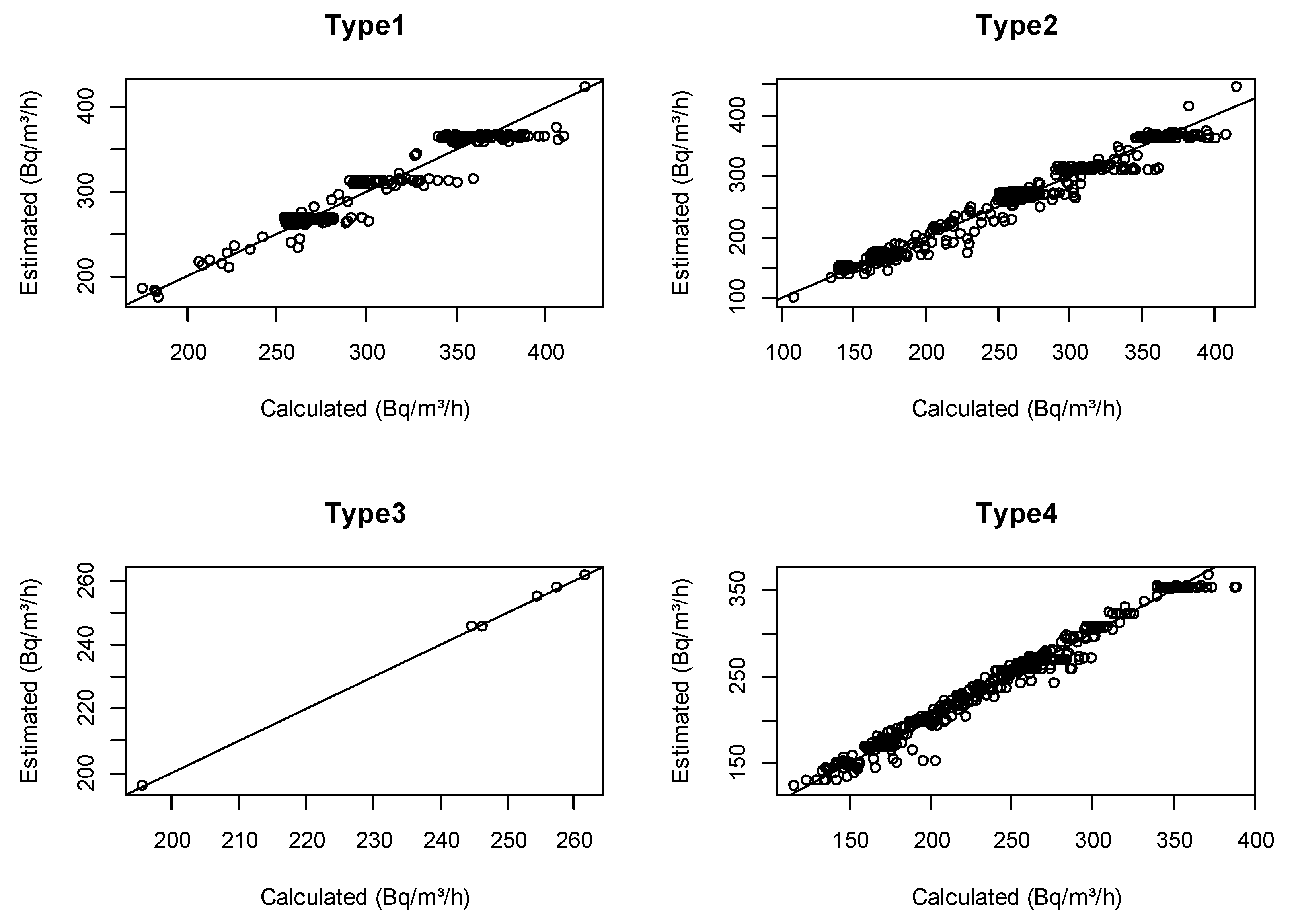
Results of Parameter Estimation
4. Conclusions
Author Contributions
Funding
Conflicts of Interest
References
- World Health Organization (WHO). Ionizing Radiation in Our Environment; World Health Organization: Geneva, Switzerland, 2011. Available online: http://www.who.int/ionizing_radiation/env/en (accessed on 22 July 2019).
- United States Environmental Protection Agency (U.S. EPA). News Releases—Air EPA Joins Global Call-to-Action on Radon Cancer Dangers. 2009. Available online: http://yosemite.epa.gov/opa/admpress.nsf/6424ac1caa800aab85257359003f5337/8575b629701ce77b85257638005ef218!OpenDocument (accessed on 22 July 2019).
- United Nations Scientific Committee on the Effects of Atomic Radiation (UNSCEAR). Sources and Effects of Ionizing Radiation, UNSCEAR 2000 Report to the General Assembly with Scientific Annexes; UNSCEAR: New York, NY, USA, 2000. [Google Scholar]
- Park, J.H.; Kang, D.R.; Kim, J.H. A review on mathematical models for estimating indoor radon concentrations. Ann. Occup. Environ. Med. 2016, 28, 7. [Google Scholar] [CrossRef] [PubMed]
- Park, J.H.; Whang, S.; Lee, H.Y.; Lee, C.M.; Kang, D.R. Measurement and modeling of indoor radon concentrations in residential buildings. Environ. Health Toxicol. 2018, 33, e2018003. [Google Scholar] [CrossRef] [PubMed]
- Park, J.H.; Lee, C.M.; Lee, H.Y.; Kang, D.R. Estimation of seasonal correction factors for indoor radon concentrations in Korea. Int. J. Environ. Res. Public Health 2018, 15, 2251. [Google Scholar] [CrossRef] [PubMed]
- Living Environment Information Center. Available online: https://iaqinfo.nier.go.kr (accessed on 22 July 2019).
- Lee, H.Y.; Park, J.H.; Lee, C.M.; Kang, D.R. Affected model of indoor radon concentrations based on lifestyle, greenery ratio, and radon levels in groundwater. J. Health Inform. Stat. 2017, 42, 309–316. [Google Scholar] [CrossRef]
- The Environmental Geographic Information Service. Available online: https://egis.me.go.kr (accessed on 22 July 2019).
- Capra, D.; Silibello, C.; Queirazza, G. Influence of ventilation rate on indoor radon concentration in a test chamber. J. Environ. Radioact. 1944, 24, 205–215. [Google Scholar] [CrossRef]
- National Climate Data Service System. Available online: https://data.kma.go.kr (accessed on 22 July 2019).
- Font, L.I.; Baixeras, C. The RAGENA dynamic model of radon generation, entry and accumulation indoors. Sci. Total Environ. 2003, 307, 55–69. [Google Scholar] [CrossRef]
- Arvela, H.; Voutilainen, A.; Mäkeläinen, I.; Castrén, O.; Winqvist, K. Comparison of predicted and measured variations of indoor radon concentration. Radiat. Protect. Dosim. 1988, 24, 231–235. [Google Scholar] [CrossRef]
- Ramola, R.C.; Prasad, G.; Gusain, G.S. Estimation of indoor radon concentration based on radon flux from soil and groundwater. Appl. Radiat. Isot. 2011, 69, 1318–1321. [Google Scholar] [CrossRef] [PubMed]
- United Nations Scientific Committee on the Effects of Atomic Radiation (UNSCEAR). Sources, Effects and Risks of Ionizing Radiation, UNSCEAR 1993 Report to the General Assembly with Scientific Annexes; UNSCEAR: New York, NY, USA, 1993. [Google Scholar]
- Kim, Y.; Chang, B.U.; Park, H.M.; Kim, C.K.; Tokonami, S. National radon survey in Korea. Radiat. Protect. Dosim. 2011, 146, 1–3. [Google Scholar] [CrossRef] [PubMed]
- United Nations Scientific Committee on the Effects of Atomic Radiation (UNSCEAR). Ionizing Radiation: Sources and Biological Effects, UNSCEAR 1982 Report to the General Assembly with Scientific Annexes; UNSCEAR: New York, NY, USA, 1982. [Google Scholar]
- Nazaroff, W.W.; Moed, B.A.; Sextro, R.G. Soil as a source of indoor radon: Generation, migration, and entry. In Radon and Its Decay Products in Indoor Air; Nazaroff, W.W., Nero, A.V., Eds.; John Wiley & Sons: New York, NY, USA, 1988; pp. 57–112. [Google Scholar]


| Type of Residence | Groundwater Usage | |||
|---|---|---|---|---|
| Type 1 | Detached house | Yes | 71.07 ± 38.05 | 62.19 ± 1.68 |
| Type 2 | No | 58.98 ± 37.27 | 49.71 ± 1.78 | |
| Type 3 | Other residences | Yes | 34.98 ± 7.76 | 34.26 ± 1.25 |
| Type 4 | No | 48.73 ± 22.05 | 44.48 ± 1.53 | |
| Total | 57.62 ± 33.75 | 49.86 ± 1.70 | ||
| Predictor Variables | Multiple Linear Regression Model | |||||||
|---|---|---|---|---|---|---|---|---|
| Type 1 1 | Type 2 2 | Type 3 3 | Type 4 4 | |||||
| p-Value | p-Value | p-Value | p-Value | |||||
| (Intercept) | −15.89 (6.05) | 0.009 | −8.90 (2.58) | 0.001 | 4.49 (5.77) | 0.579 | 11.09 (2.11) | <0.001 |
| 0.18 (0.07) | 0.015 | 0.12 (0.03) | <0.001 | −0.10 (0.04) | 0.242 | 0.08 (0.03) | 0.002 | |
| GM 6 of indoor radon levels of administrative district | 2.73 (0.07) | <0.001 | 2.72 (0.02) | <0.001 | 2.59 (0.07) | 0.018 | 2.48 (0.02) | <0.001 |
| Building materials | ||||||||
| Concrete | Ref. | Ref. | Ref. | Ref. | ||||
| Red brick | −1.52 (3.00) | 0.613 | −2.62 (1.37) | 0.055 | −4.00 (1.68) | 0.253 | 1.29 (1.71) | 0.449 |
| Cement block | −0.41 (2.96) | 0.890 | −4.76 (1.43) | 0.001 | −6.88 (1.68) | 0.152 | −2.81 (3.29) | 0.394 |
| Soil | −2.54 (3.98) | 0.524 | −0.22 (2.81) | 0.938 | ||||
| Wood | −8.01 (5.48) | 0.145 | −5.32 (2.75) | 0.054 | ||||
| Others | −3.22 (3.52) | 0.361 | −7.16 (2.06) | 0.001 | −14.19 (9.13) | 0.121 | ||
| 0–1 | Ref. | Ref. | Ref. | |||||
| ≥2 | 1.17 (2.44) | 0.632 | 2.43 (1.64) | 0.139 | 2.24 (2.58) | 0.384 | ||
| ≤1 | Ref. | Ref. | Ref. | |||||
| ≥2 | −4.94 (2.34) | 0.036 | −5.56 (1.35) | <0.001 | −0.58 (1.49) | 0.697 | ||
© 2019 by the authors. Licensee MDPI, Basel, Switzerland. This article is an open access article distributed under the terms and conditions of the Creative Commons Attribution (CC BY) license (http://creativecommons.org/licenses/by/4.0/).
Share and Cite
Park, J.H.; Lee, C.M.; Kang, D.R. A Deterministic Model for Estimating Indoor Radon Concentrations in South Korea. Int. J. Environ. Res. Public Health 2019, 16, 3424. https://doi.org/10.3390/ijerph16183424
Park JH, Lee CM, Kang DR. A Deterministic Model for Estimating Indoor Radon Concentrations in South Korea. International Journal of Environmental Research and Public Health. 2019; 16(18):3424. https://doi.org/10.3390/ijerph16183424
Chicago/Turabian StylePark, Ji Hyun, Cheol Min Lee, and Dae Ryong Kang. 2019. "A Deterministic Model for Estimating Indoor Radon Concentrations in South Korea" International Journal of Environmental Research and Public Health 16, no. 18: 3424. https://doi.org/10.3390/ijerph16183424
APA StylePark, J. H., Lee, C. M., & Kang, D. R. (2019). A Deterministic Model for Estimating Indoor Radon Concentrations in South Korea. International Journal of Environmental Research and Public Health, 16(18), 3424. https://doi.org/10.3390/ijerph16183424

