Distribution and Health Risk Assessment of Trace Metals in Soils in the Golden Triangle of Southern Fujian Province, China
Abstract
1. Introduction
2. Materials and Methods
2.1. Study Area, Sampling, and Chemical Analysis
2.2. Statistical and Geostatistical Analysis
2.3. Ecological Risk Assessment
2.3.1. Geoaccumulation Index (Igeo)
2.3.2. Potential Ecological Risk Index (RI)
2.4. Human Health Risk Assessment
2.4.1. Noncarcinogenic Risk Assessment
2.4.2. Carcinogenic Risk Assessment
3. Results and Discussion
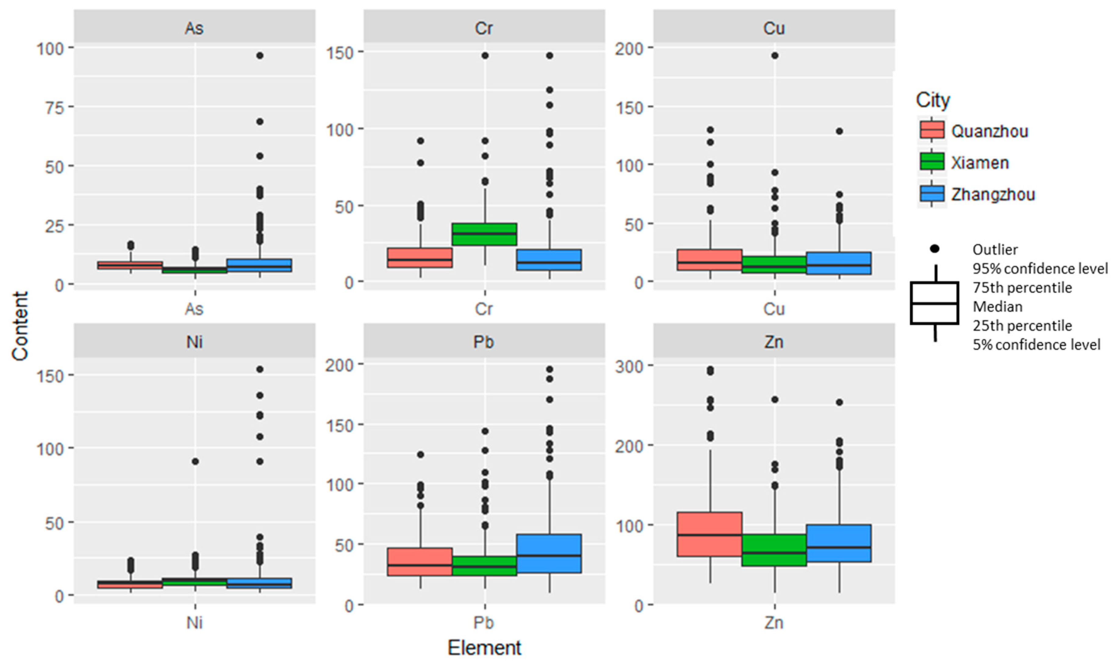
3.1. Trace Metal Concentration in Golden Triangle Soils
3.2. Trace Metals Ecological Risk Assessment in Golden Triangle Soils
3.3. Assessment of Human Health Risk from Trace Metals in Golden Triangle Soils
3.4. Source of Trace Metal Contamination using PCA and Matrix Cluster Analysis
4. Conclusions
Supplementary Materials
Author Contributions
Funding
Acknowledgments
Conflicts of Interest
References
- Chen, J. Rapid urbanization in China: A real challenge to soil protection and food security. Catena 2007, 69, 1–15. [Google Scholar] [CrossRef]
- Zhao, L.; Xu, Y.; Hou, H.; Shangguan, Y.; Li, F. Source identification and health risk assessment of metals in urban soils around the Tanggu chemical industrial district, Tianjin, China. Sci. Total Environ. 2014, 468, 654–662. [Google Scholar] [CrossRef] [PubMed]
- Qu, M.K.; Li, W.D.; Zhang, C.R.; Wang, S.Q.; Yang, Y.; He, L.Y. Source apportionment of heavy metals in soils using multivariate statistics and Geostatistics. Pedosphere 2013, 23, 437–444. [Google Scholar] [CrossRef]
- Davis, H.T.; Aelion, C.M.; McDermott, S.; Lawson, A.B. Identifying natural and anthropogenic sources of metals in urban and rural soils using GIS-based data, PCA, and spatial interpolation. Environ. Pollut. 2009, 157, 2378–2385. [Google Scholar] [CrossRef] [PubMed]
- Ma, L.; Yang, Z.; Li, L.; Wang, L. Source identification and risk assessment of heavy metal contaminations in urban soils of Changsha, a mine-impacted city in Southern China. Environ. Sci. Pollut. Res. 2016, 23, 17058–17066. [Google Scholar] [CrossRef] [PubMed]
- Zhang, C.; Yang, Y.; Li, W.; Zhang, C.; Zhang, R.; Mei, Y.; Liao, X.; Liu, Y. Spatial distribution and ecological risk assessment of trace metals in urban soils in Wuhan, central China. Environ. Monit. Assess. 2015, 187, 556. [Google Scholar] [CrossRef]
- Yu, S.; Zhu, Y.G.; Li, X.D. Trace metal contamination in urban soils of China. Sci. Total Environ. 2012, 421, 17–30. [Google Scholar]
- Li, G.; Sun, G.X.; Ren, Y.; Luo, X.S.; Zhu, Y.G. Urban soil and human health: A review. Eur. J. Soil. Sci. 2018, 69, 196–215. [Google Scholar] [CrossRef]
- Chen, T.; Chang, Q.; Liu, J.; Clevers, J.G.P.W.; Kooistra, L. Identification of soil heavy metal sources and improvement in spatial mapping based on soil spectral information: A case study in northwest China. Sci. Total Environ. 2016, 565, 155–164. [Google Scholar] [CrossRef]
- Hou, D.; O’Connor, D.; Nathanail, P.; Tian, L.; Ma, Y. Integrated GIS and multivariate statistical analysis for regional scale assessment of heavy metal soil contamination: A critical review. Environ. Pollut. 2017, 231, 1188–1200. [Google Scholar] [CrossRef]
- Wei, B.; Yang, L. A review of heavy metal contaminations in urban soils, urban road dusts and agricultural soils from China. Microchem. J. 2010, 94, 99–107. [Google Scholar] [CrossRef]
- Wang, M.; Markert, B.; Chen, W.; Peng, C.; Ouyang, Z. Identification of heavy metal pollutants using multivariate analysis and effects of land uses on their accumulation in urban soils in Beijing, China. Environ. Monit. Assess. 2012, 184, 5889–5897. [Google Scholar] [CrossRef] [PubMed]
- Facchinelli, A.; Sacchi, E.; Mallen, L. Multivariate statistical and GIS-based approach to identify heavy metal sources in soils. Environ. Pollut. 2001, 114, 313–324. [Google Scholar] [CrossRef]
- Hu, B.; Zhao, R.; Chen, S.; Zhou, Y.; Jin, B.; Li, Y.; Shi, Z. Heavy metal pollution delineation based on uncertainty in a coastal industrial city in the Yangtze River Delta, China. Int. J. Environ. Res. Public Health 2018, 15, 710. [Google Scholar] [CrossRef] [PubMed]
- Järup, L. Hazards of heavy metal contamination. Br. Med. Bull. 2003, 68, 167–182. [Google Scholar] [CrossRef] [PubMed]
- Sun, Y.; Zhou, Q.; Xie, X.; Liu, R. Spatial, sources and risk assessment of heavy metal contamination of urban soils in typical regions of Shenyang, China. J. Hazard. Mater. 2010, 174, 455–462. [Google Scholar] [CrossRef] [PubMed]
- Gąsiorek, M.; Kowalska, J.; Mazurek, R.; Pająk, M. Comprehensive assessment of heavy metal pollution in topsoil of historical urban park on an example of the Planty Park in Krakow (Poland). Chemosphere 2017, 179, 148–158. [Google Scholar] [CrossRef]
- Wang, G.; Liu, H.Q.; Gong, Y.; Wei, Y.; Miao, A.J.; Yang, L.Y.; Zhong, H. Risk assessment of metals in urban soils from a typical industrial city, Suzhou, Eastern China. Int. J. Environ. Res. Public Health 2017, 14, 1025. [Google Scholar] [CrossRef]
- Sofianska, E.; Michailidis, K. Assessment of heavy metals contamination and potential ecological risk in soils affected by a former Mn mining activity, drama district, northern Greece. Soil. Sediment. Contam. 2016, 25, 296–312. [Google Scholar] [CrossRef]
- Pan, L.; Wang, Y.; Ma, J.; Hu, Y.; Su, B.; Fang, G.; Wang, L.; Xiang, B. A review of heavy metal pollution levels and health risk assessment of urban soils in Chinese cities. Environ. Sci. Pollut. Res. 2018, 25, 1055–1069. [Google Scholar] [CrossRef]
- Zhuang, P.; Zou, H.; Shu, W. Biotransfer of heavy metals along a soil-plant-insect-chicken food chain: Field study. J. Environ. Sci. 2009, 21, 849–853. [Google Scholar] [CrossRef]
- Cai, Q.Y.; Mo, C.H.; Li, H.Q.; Lü, H.; Zeng, Q.Y.; Li, Y.W.; Wu, X.L. Heavy metal contamination of urban soils and dusts in Guangzhou, South China. Environ. Monit. Assess. 2013, 185, 1095–1106. [Google Scholar] [CrossRef] [PubMed]
- Liu, L.; Zhang, X.; Zhong, T. Pollution and health risk assessment of heavy metals in urban soil in China. Hum. Ecol. Risk Assess. 2016, 22, 424–434. [Google Scholar] [CrossRef]
- Chappell, W.R.; Beck, B.D.; Brown, K.G.; Chaney, R.; Cothern, R.; Cothern, C.R.; Irgolic, K.J.; North, D.W.; Tsongas, T.A. Inorganic arsenic: A need and an opportunity to improve risk assessment. Environ. Health Perspect. 1997, 105, 1060. [Google Scholar] [CrossRef] [PubMed]
- Mielke, H.W.; Covington, T.P.; Mielke, P.W., Jr.; Wolman, F.J.; Powell, E.T.; Gonzales, C.R. Soil intervention as a strategy for lead exposure prevention: The New Orleans lead-safe childcare playground project. Environ. Pollut. 2011, 159, 2071–2077. [Google Scholar] [CrossRef] [PubMed]
- Nezhad, M.T.K.; Tabatabaii, S.M.; Gholami, A. Geochemical assessment of steel smelter-impacted urban soils, Ahvaz, Iran. J. Geochem. Explor. 2015, 152, 91–109. [Google Scholar] [CrossRef]
- Xiao, Q.; Zong, Y.; Lu, S. Assessment of heavy metal pollution and human health risk in urban soils of steel industrial city (Anshan), Liaoning, Northeast China. Ecotoxicol. Environ. Saf. 2015, 120, 377–385. [Google Scholar]
- Wang, Z.; Tang, L.; Qiu, Q.; Chen, H.; Wu, T.; Shao, G. Assessment of regional ecosystem health—A case study of the Golden Triangle of Southern Fujian Province, China. Int. J. Environ. Res. Public Health 2018, 15, 802. [Google Scholar] [CrossRef]
- Ye, X.; Xiao, W.; Zhang, Y.; Zhao, S.; Wang, G.; Zhang, Q.; Wang, Q. Assessment of heavy metal pollution in vegetables and relationships with soil heavy metal distribution in Zhejiang province, China. Environ. Monit. Assess. 2015, 187, 378. [Google Scholar] [CrossRef]
- U.S. Environmental Protection Agency (USEPA). Method 3050B: Acid Digestion of Sediments, Sludges and Soils (Revision 2); U.S. Environmental Protection Agency: Washington, DC, USA, 1996.
- Muller, G. Index of geoaccumulation in sediments of the Rhine River. Geojournal 1969, 2, 108–118. [Google Scholar]
- Hakanson, L. An ecological risk index for aquatic pollution control. A sedimentological approach. Water Res. 1980, 14, 975–1001. [Google Scholar] [CrossRef]
- U.S. Environmental Protection Agency (USEPA). Exposure Factors Handbook; U.S. Environmental Protection Agency: Washington, DC, USA, 1997.
- Chen, H.; Teng, Y.; Lu, S.; Wang, Y.; Wu, J.; Wang, J. Source apportionment and health risk assessment of trace metals in surface soils of Beijing metropolitan, China. Chemosphere 2016, 144, 1002–1011. [Google Scholar] [CrossRef] [PubMed]
- U.S. Environmental Protection Agency (USEPA). Risk Assessment Guidance for Superfund. Human Health Evaluation Manual, (Part A); Office of Emergency and Remedial Response: Washington, DC, USA, 1989.
- Cao, S.Z.; Duan, X.L.; Zhao, X.G.; Ma, J.; Dong, T.; Huang, N.; Sun, C.Y.; He, B.; Wei, F.S. Health risks from the exposure of children to As, Se, Pb and other heavy metals near the largest coking plant in China. Sci. Total Environ. 2014, 472, 1001–1009. [Google Scholar] [CrossRef] [PubMed]
- Ren, W.; Geng, Y.; Ma, Z.; Sun, L.; Xue, B.; Fujita, T. Reconsidering brownfield redevelopment strategy in China’s old industrial zone: A health risk assessment of heavy metal contamination. Environ. Sci. Pollut. Res. 2015, 22, 2765–2775. [Google Scholar] [CrossRef] [PubMed]
- Chen, Z.; Chen, C.; Liu, Y.; Wu, Y.; Yang, S.; Lu, C. The study on background value of soil environment in Fujian Province. Environ. Sci. 1992, 4, 70–75. (In Chinese) [Google Scholar]
- Li, X.; Feng, L. Spatial distribution of hazardous elements in urban topsoils surrounding Xi’an industrial areas, (NW, China): Controlling factors and contamination assessments. J. Hazard. Mater. 2010, 174, 662–669. [Google Scholar] [CrossRef] [PubMed]
- Spahić, M.P.; Sakan, S.; Cvetković, Ž.; Tančić, P.; Trifković, J.; Nikić, Z.; Manojlović, D. Assessment of contamination, environmental risk, and origin of heavy metals in soils surrounding industrial facilities in Vojvodina, Serbia. Environ. Monit. Assess. 2018, 190, 208. [Google Scholar] [CrossRef]
- O’Connell, D.W.; Birkinshaw, C.; O’Dwyer, T.F. Heavy metal adsorbents prepared from the modification of cellulose: A review. Bioresour. Technol. 2008, 99, 6709–6724. [Google Scholar] [CrossRef]
- Olafisoye, O.B.; Adefioye, T.; Osibote, O.A. Heavy metals contamination of water, soil, and plants around an electronic waste dumpsite. Pol. J. Environ. Stud. 2013, 22, 1431–1439. [Google Scholar]
- Yuswir, N.S.; Praveena, S.M.; Aris, A.Z.; Ismail, S.N.S.; Hashim, Z. Health risk assessment of heavy metal in urban surface soil (Klang District, Malaysia). Bull. Environ. Contam. Toxicol. 2015, 95, 80–89. [Google Scholar] [CrossRef]
- Hao, L.; Tian, M.; Zhao, X.; Zhao, Y.; Lu, J.; Bai, R. Spatial distribution and sources of trace elements in surface soils, Changchun, China: Insights from stochastic models and geostatistical analyses. Geoderma 2016, 273, 54–63. [Google Scholar] [CrossRef]
- Wang, H.; Lu, S. Spatial distribution, source identification and affecting factors of heavy metals contamination in urban–suburban soils of Lishui city, China. Environ. Earth Sci. 2011, 64, 1921–1929. [Google Scholar] [CrossRef]
- Steinnes, E.; Lierhagen, S. Geographical distribution of trace elements in natural surface soils: Atmospheric influence from natural and anthropogenic sources. Appl. Geochem. 2018, 88, 2–9. [Google Scholar] [CrossRef]
- Brännvall, M.L.; Kurkkio, H.; Bindler, R.; Emteryd, O.; Renberg, I. The role of pollution versus natural geological sources for lead enrichment in recent lake sediments and surface forest soils. Environ. Geol. 2001, 40, 1057–1065. [Google Scholar]
- Zhou, J.; Feng, K.; Pei, Z.; Meng, F.; Sun, J. Multivariate analysis combined with GIS to source identification of heavy metals in soils around an abandoned industrial area, Eastern China. Ecotoxicology 2016, 25, 380–388. [Google Scholar] [CrossRef]
- Kelepertzis, E. Accumulation of heavy metals in agricultural soils of Mediterranean: Insights from Argolida basin, Peloponnese, Greece. Geoderma 2014, 221, 82–90. [Google Scholar] [CrossRef]
- Sun, C.; Liu, J.; Wang, Y.; Sun, L.; Yu, H. Multivariate and geostatistical analyses of the spatial distribution and sources of heavy metals in agricultural soil in Dehui, Northeast China. Chemosphere 2013, 92, 517–523. [Google Scholar] [CrossRef]
- Nicholson, F.A.; Smith, S.R.; Alloway, B.J.; Carlton-Smith, C.; Chambers, B.J. An inventory of heavy metals inputs to agricultural soils in England and Wales. Sci. Total Environ. 2003, 311, 205–219. [Google Scholar] [CrossRef]






| As | Cr | Cu | Ni | Pb | Zn | |
|---|---|---|---|---|---|---|
| Mean | 7.97 | 22.80 | 19.79 | 10.51 | 41.14 | 82.92 |
| Median | 6.40 | 18.30 | 13.60 | 7.90 | 33.35 | 71.95 |
| Standard deviation | 7.15 | 19.40 | 20.04 | 14.69 | 26.17 | 44.55 |
| Minimum | 1.50 | 1.00 | 1.60 | 0.90 | 9.00 | 13.10 |
| Maximum | 96.60 | 148.10 | 194.00 | 153.80 | 195.40 | 296.00 |
| Background values of Fujian soil | 5.78 | 41.30 | 21.60 | 13.50 | 34.90 | 82.70 |
| Adults | HQing | HQderm | HQinh | CRinh | ||||
|---|---|---|---|---|---|---|---|---|
| Mean | SD | Mean | SD | Mean | SD | Mean | SD | |
| As | 3.64 × 10−2 | 3.26 × 10−2 | 1.05 × 10−2 | 9.45 × 10−3 | 6.47 × 10−5 | 5.81 × 10−5 | 1.21 × 10−7 | 1.09 × 10−7 |
| Cr | 1.04 × 10−2 | 8.86 × 10−3 | 2.08 × 10−3 | 1.77 × 10−3 | 8.03 × 10−4 | 6.83 × 10−4 | 9.65 × 10−7 | 8.21 × 10−7 |
| Cu | 6.78 × 10−4 | 6.86 × 10−4 | 9.01 × 10−6 | 9.13 × 10−6 | 4.96 × 10−7 | 5.02 × 10−7 | ||
| Ni | 7.20 × 10−4 | 1.01 × 10−3 | 1.06 × 10−5 | 1.49 × 10−5 | 5.14 × 10−7 | 7.18 × 10−7 | 8.89 × 10−9 | 1.24 × 10−8 |
| Pb | 1.61 × 10−2 | 1.02 × 10−2 | 4.28 × 10−4 | 2.72 × 10−4 | 1.18 × 10−5 | 7.49 × 10−6 | ||
| Zn | 3.79 × 10−4 | 2.03 × 10−4 | 7.55 × 10−6 | 4.06 × 10−6 | 2.78 × 10−7 | 1.50 × 10−7 | ||
| Children | HQing | HQderm | HQinh | CRinh | ||||
| Mean | SD | Mean | SD | Mean | SD | Mean | SD | |
| As | 2.55 × 10−1 | 2.29 × 10−1 | 5.17 × 10−2 | 4.64 × 10−2 | 4.53 × 10−4 | 4.07 × 10−4 | 8.48 × 10−7 | 7.61 × 10−7 |
| Cr | 7.29 × 10−2 | 6.20 × 10−2 | 1.02 × 10−2 | 8.68 × 10−3 | 5.62 × 10−3 | 4.78 × 10−3 | 6.75 × 10−6 | 5.74 × 10−6 |
| Cu | 4.75 × 10−3 | 4.81 × 10−3 | 4.43 × 10−5 | 4.48 × 10−5 | 3.47 × 10−6 | 3.51 × 10−6 | ||
| Ni | 5.04 × 10−3 | 7.04 × 10−3 | 5.22 × 10−5 | 7.30 × 10−5 | 2.10 × 10−5 | 2.94 × 10−5 | 6.22 × 10−8 | 8.70 × 10−8 |
| Pb | 1.13 × 10−1 | 7.17 × 10−2 | 2.10 × 10−3 | 1.34 × 10−3 | 1.41 × 10−5 | 8.96 × 10−6 | ||
| Zn | 2.65 × 10−3 | 1.42 × 10−3 | 3.71 × 10−5 | 1.99 × 10−5 | 1.95 × 10−6 | 1.05 × 10−6 | ||
| Element | Principal Component Analysis | Correlation Analysis | ||||||
|---|---|---|---|---|---|---|---|---|
| PC1 | PC2 | As | Cr | Cu | Ni | Pb | Zn | |
| As | 0.477 | 0.448 | 1 | 0.074 | 0.285 ** | 0.207 ** | 0.295 ** | 0.313 ** |
| Cr | 0.645 | −0.609 | 0.074 | 1 | 0.405** | 0.726 ** | −0.059 | 0.182 ** |
| Cu | 0.832 | −0.007 | 0.285 ** | 0.405 ** | 1 | 0.547 ** | 0.152 ** | 0.650 ** |
| Ni | 0.793 | −0.442 | 0.207 ** | 0.726 ** | 0.547 ** | 1 | 0.03 | 0.365 ** |
| Pb | 0.344 | 0.722 | 0.295 ** | −0.059 | 0.152 ** | 0.03 | 1 | 0.419 ** |
| Zn | 0.753 | 0.382 | 0.313 ** | 0.182 ** | 0.650 ** | 0.365 ** | 0.419 ** | 1 |
| Eigenvalue | 2.59 | 1.44 | ||||||
| % of Variance | 43.09 | 23.99 | ||||||
| Cumulative % | 43.09 | 67.07 | ||||||
© 2018 by the authors. Licensee MDPI, Basel, Switzerland. This article is an open access article distributed under the terms and conditions of the Creative Commons Attribution (CC BY) license (http://creativecommons.org/licenses/by/4.0/).
Share and Cite
Huang, S.; Shao, G.; Wang, L.; Wang, L.; Tang, L. Distribution and Health Risk Assessment of Trace Metals in Soils in the Golden Triangle of Southern Fujian Province, China. Int. J. Environ. Res. Public Health 2019, 16, 97. https://doi.org/10.3390/ijerph16010097
Huang S, Shao G, Wang L, Wang L, Tang L. Distribution and Health Risk Assessment of Trace Metals in Soils in the Golden Triangle of Southern Fujian Province, China. International Journal of Environmental Research and Public Health. 2019; 16(1):97. https://doi.org/10.3390/ijerph16010097
Chicago/Turabian StyleHuang, Sha, Guofan Shao, Luyan Wang, Lin Wang, and Lina Tang. 2019. "Distribution and Health Risk Assessment of Trace Metals in Soils in the Golden Triangle of Southern Fujian Province, China" International Journal of Environmental Research and Public Health 16, no. 1: 97. https://doi.org/10.3390/ijerph16010097
APA StyleHuang, S., Shao, G., Wang, L., Wang, L., & Tang, L. (2019). Distribution and Health Risk Assessment of Trace Metals in Soils in the Golden Triangle of Southern Fujian Province, China. International Journal of Environmental Research and Public Health, 16(1), 97. https://doi.org/10.3390/ijerph16010097

