Effects of Polybrominated Diphenyl Ethers on Child Cognitive, Behavioral, and Motor Development
Abstract
1. Introduction
2. Methods
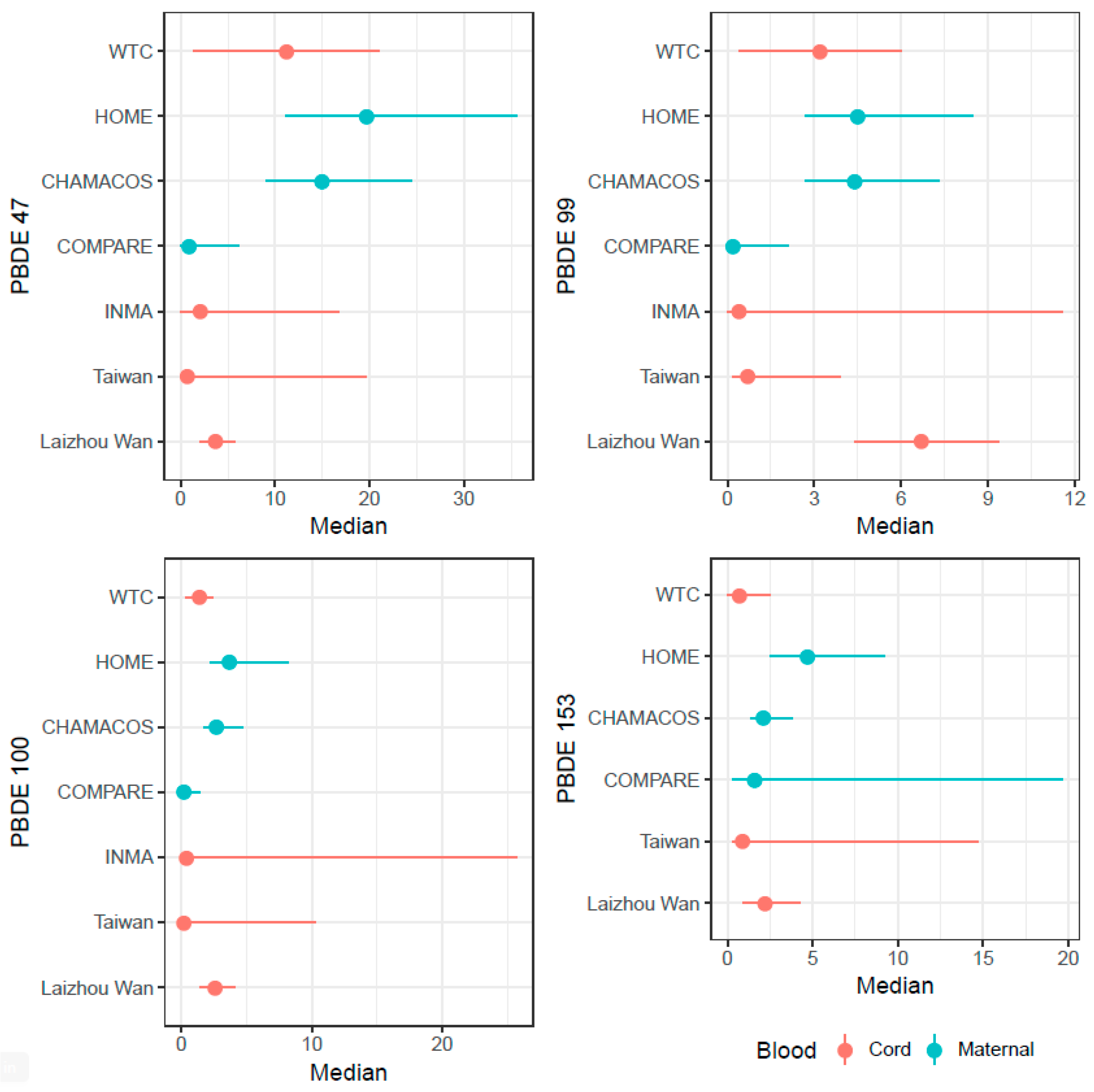
3. Summary of Studies
4. Results
4.1. Motor
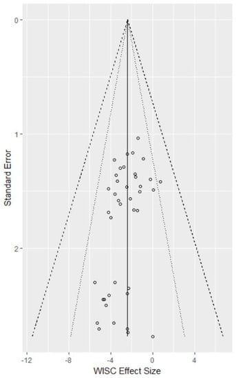
4.2. Cognitive
4.3. Behavior
4.4. Interaction and Mediation
5. Discussion
6. Conclusions
Author Contributions
Funding
Conflicts of Interest
Appendix A
| Were subjects with varying levels of exposure drawn from the same underlying population? | Was exposure assessed using validated methods? | Are we confident that the outcome of interest was not present at start of study? | Did the study adjust for confounding? | Was an independently validated measure used for outcome assessment? | Did the statistical analysis include at least 60% of the cohort over the course of the study? | Was adjustment made for multiple statistical comparisons between congeners and outcomes? | |
| United States | |||||||
| CHAMACOS | |||||||
| Eskenazi et al., 2013 | X | X | X | X | X | X (266/526 = 51%) | X |
| Sagiv et al., 2015 | X | X | X | X | X | X (337/536 = 63%) | X |
| HOME | |||||||
| Chen et al., 2014 | X | X | X | X | X | X (309/389 = 79%) | X |
| Vuong et al., 2016 | X | X | X | X | X | X (256/390 = 66%) | X |
| Zhang et al., 2016 | X | X | X | X | X | X (239/389 = 61%) | X |
| Braun et al., 2017 | X | X | X | X | X | X (229/346 = 59%) | X |
| Vuong et al., 2017a | X | X | X | X | X | X (214/390 = 55%) | X |
| Vuong et al., 2017b | X | X | X | X | X | X (199/390 = 51%) | X |
| WTC | |||||||
| Herbstman et al., 2010 | X | X | X | X | X | X (152/329 = 46%) | X |
| Cowell et al., 2015 | X | X | X | X | X | X (109/329 = 33%) | X |
| Asia | |||||||
| Shy et al., 2011 | X | X | X | X | X | X (36/95 = 38%) | X |
| Ding et al., 2015 | X | X | X | X | X | X (192/347 = 55%) | X |
| Kim et al., 2018 | X | X | X | X | X | X (59/140 = 42%) | X |
| Europe | |||||||
| Gascon et al., 2011 | X | X | X | X | X | X (422/482 = 88%) | X |
| Roze et al., 2009 | X | X | X | X | X | X (62/69 = 90%) | X |
| Chevrier et al., 2016 | X | X | X | X | X | X (246/287 = 86%) | X |

References
- Hood, E. Endocrine disruption and flame-retardant chemicals: PBDE-99 effects on rat sexual development. Environ. Health Perspect. 2006, 114, A112–A113. [Google Scholar] [CrossRef]
- Lilienthal, H.; Hack, A.; Roth-Härer, A.; Grande, S.W.; Talsness, C.E. Effects of developmental exposure to 2,2′,4,4′,5-pentabromodiphenyl ether (PBDE-99) on sex steroids, sexual development, and sexually dimorphic behavior in rats. Environ. Health Perspect. 2006, 114, 194–201. [Google Scholar] [CrossRef] [PubMed]
- Eriksson, P.; Jakobsson, E.; Fredriksson, A. Brominated flame retardants: A novel class of developmental neurotoxicants in our environment? Environ. Health Perspect. 2001, 109, 903–908. [Google Scholar] [CrossRef] [PubMed]
- Schreiber, T.; Gassmann, K.; Götz, C.; Hübenthal, U.; Moors, M.; Krause, G.; Merk, H.F.; Nguyen, N.-H.; Scanlan, T.S.; Abel, J. Polybrominated diphenyl ethers induce developmental neurotoxicity in a human in vitro model: Evidence for endocrine disruption. Environ. Health Perspect. 2010, 118, 572–578. [Google Scholar] [CrossRef] [PubMed]
- Lam, J.; Lanphear, B.P.; Bellinger, D.; Axelrad, D.A.; McPartland, J.; Sutton, P.; Davidson, L.; Daniels, N.; Sen, S.; Woodruff, T.J. Developmental PBDE exposure and IQ/ADHD in childhood: A systematic review and meta-analysis. Environ. Health Perspect. 2017, 125, 086001. [Google Scholar] [CrossRef] [PubMed]
- Vuong, A.M.; Yolton, K.; Dietrich, K.N.; Braun, J.M.; Lanphear, B.P.; Chen, A. Exposure to polybrominated diphenyl ethers (PBDEs) and child behavior: Current findings and future directions. Horm. Behav. 2018, 101, 94–104. [Google Scholar] [CrossRef] [PubMed]
- Stapleton, H.M.; Sharma, S.; Getzinger, G.; Ferguson, P.L.; Gabriel, M.; Webster, T.F.; Blum, A. Novel and high volume use flame retardants in US couches reflective of the 2005 pentabde phase out. Environ. Sci. Technol. 2012, 46, 13432–13439. [Google Scholar] [CrossRef] [PubMed]
- Cowell, W.J.; Sjödin, A.; Jones, R.; Wang, Y.; Wang, S.; Herbstman, J.B. Temporal trends and developmental patterns of plasma polybrominated diphenyl ether concentrations over a 15-year period between 1998 and 2013. J. Expo. Sci. Environ. Epidemiol. 2018. [Google Scholar] [CrossRef] [PubMed]
- Agency for Toxic Substances and Disease Registry. Toxicological Profile for Polybrominated Diphenyl Ethers (PBDEs). Available online: https://www.atsdr.cdc.gov/toxprofiles/tp207.pdf (accessed on 1 May 2018).
- Geyer, H.J.; Schramm, K.-W.; Darnerud, P.O.; Aune, M.; Feicht, E.A.; Fried, K.W.; Henkelmann, B.; Lenoir, D.; Schmid, P.; McDonald, T.A. Terminal elimination half-lives of the brominated flame retardants TBBPA, HBCD, and lower brominated PBDEs in humans. Organohalogen Compd. 2004, 66, 3867–3872. [Google Scholar]
- Sjodin, A.; Jones, R.S.; Caudill, S.P.; Wong, L.Y.; Turner, W.E.; Calafat, A.M. Polybrominated diphenyl ethers, polychlorinated biphenyls, and persistent pesticides in serum from the national health and nutrition examination survey: 2003–2008. Environ. Sci. Technol. 2014, 48, 753–760. [Google Scholar] [CrossRef] [PubMed]
- Marchesini, G.R.; Meimaridou, A.; Haasnoot, W.; Meulenberg, E.; Albertus, F.; Mizuguchi, M.; Takeuchi, M.; Irth, H.; Murk, A.J. Biosensor discovery of thyroxine transport disrupting chemicals. Toxicol. Appl. Pharmacol. 2008, 232, 150–160. [Google Scholar] [CrossRef] [PubMed]
- Hallgren, S.; Sinjari, T.; Håkansson, H.; Darnerud, P. Effects of polybrominated diphenyl ethers (PBDEs) and polychlorinated biphenyls (PCBs) on thyroid hormone and vitamin a levels in rats and mice. Arch. Toxicol. 2001, 75, 200–208. [Google Scholar] [CrossRef] [PubMed]
- Zhou, T.; Ross, D.G.; DeVito, M.J.; Crofton, K.M. Effects of short-term in vivo exposure to polybrominated diphenyl ethers on thyroid hormones and hepatic enzyme activities in weanling rats. Toxicol. Sci. 2001, 61, 76–82. [Google Scholar] [CrossRef] [PubMed]
- Haddow, J.E.; Palomaki, G.E.; Allan, W.C.; Williams, J.R.; Knight, G.J.; Gagnon, J.; O’heir, C.E.; Mitchell, M.L.; Hermos, R.J.; Waisbren, S.E. Maternal thyroid deficiency during pregnancy and subsequent neuropsychological development of the child. N. Engl. J. Med. 1999, 341, 549–555. [Google Scholar] [CrossRef] [PubMed]
- de Escobar, G.M.; Obregón, M.A.J.; del Rey, F.E. Maternal thyroid hormones early in pregnancy and fetal brain development. Best Pract. Res. Clin. Endocrinol. Metab. 2004, 18, 225–248. [Google Scholar] [CrossRef] [PubMed]
- Hites, R.A. Polybrominated diphenyl ethers in the environment and in people: A meta-analysis of concentrations. Environ. Sci. Technol. 2004, 38, 945–956. [Google Scholar] [CrossRef] [PubMed]
- Herbstman, J.B.; Mall, J.K. Developmental exposure to polybrominated diphenyl ethers and neurodevelopment. Curr. Environ. Health Rep. 2014, 1, 101–112. [Google Scholar] [CrossRef] [PubMed]
- Higgins, J. Cochrane Handbook for Systematic Reviews of Interventions. Version 5.1. 0; [updated March 2011]; The Cochrane Collaboration: Hoboken, NJ, USA, 2011. [Google Scholar]
- Frederiksen, M.; Thomsen, C.; Froshaug, M.; Vorkamp, K.; Thomsen, M.; Becher, G.; Knudsen, L.E. Polybrominated diphenyl ethers in paired samples of maternal and umbilical cord blood plasma and associations with house dust in a Danish cohort. Int. J. Hyg. Environ. Health 2010, 213, 233–242. [Google Scholar] [CrossRef] [PubMed]
- Terry, P.; Towers, C.V.; Liu, L.Y.; Peverly, A.A.; Chen, J.; Salamova, A. Polybrominated diphenyl ethers (flame retardants) in mother-infant pairs in the Southeastern US. Int. J. Environ. Health Res. 2017, 27, 205–214. [Google Scholar] [CrossRef] [PubMed]
- Wells, G.; Shea, B.; O’connell, D.; Peterson, J.; Welch, V.; Losos, M.; Tugwell, P. The Newcastle-Ottawa Scale (nos) for Assessing the Quality of Nonrandomised Studies in Meta-Analyses; Ottawa Hospital Research institute: Oxford, UK, 2014. [Google Scholar]
- Roze, E.; Meijer, L.; Bakker, A.; Van Braeckel, K.N.; Sauer, P.J.; Bos, A.F. Prenatal exposure to organohalogens, including brominated flame retardants, influences motor, cognitive, and behavioral performance at school age. Environ. Health Perspect. 2009, 117, 1953–1958. [Google Scholar] [CrossRef] [PubMed]
- Gascon, M.; Vrijheid, M.; Martinez, D.; Forns, J.; Grimalt, J.O.; Torrent, M.; Sunyer, J. Effects of pre and postnatal exposure to low levels of polybromodiphenyl ethers on neurodevelopment and thyroid hormone levels at 4 years of age. Environ. Int. 2011, 37, 605–611. [Google Scholar] [CrossRef] [PubMed]
- Chevrier, C.; Warembourg, C.; Le Maner-Idrissi, G.; Lacroix, A.; Dardier, V.; Le Sourn-Bissaoui, S.; Rouget, F.; Monfort, C.; Gaudreau, E.; Mercier, F.; et al. Childhood exposure to polybrominated diphenyl ethers and neurodevelopment at six years of age. Neurotoxicology 2016, 54, 81–88. [Google Scholar] [CrossRef] [PubMed]
- Ding, G.D.; Yu, J.; Cui, C.; Chen, L.M.; Gao, Y.; Wang, C.F.; Zhou, Y.J.; Tian, Y. Association between prenatal exposure to polybrominated diphenyl ethers and young children’s neurodevelopment in China. Environ. Res. 2015, 142, 104–111. [Google Scholar] [CrossRef] [PubMed]
- Shy, C.G.; Huang, H.L.; Chang-Chien, G.P.; Chao, H.R.; Tsou, T.C. Neurodevelopment of infants with prenatal exposure to polybrominated diphenyl ethers. Bull. Environ. Contam. Toxicol. 2011, 87, 643–648. [Google Scholar] [CrossRef] [PubMed]
- Kim, S.; Eom, S.; Kim, H.-J.; Lee, J.J.; Choi, G.; Choi, S.; Kim, S.; Kim, S.Y.; Cho, G.; Kim, Y.D. Association between maternal exposure to major phthalates, heavy metals, and persistent organic pollutants, and the neurodevelopmental performances of their children at 1 to 2years of age-check cohort study. Sci. Total Environ. 2018, 624, 377–384. [Google Scholar] [CrossRef] [PubMed]
- Eskenazi, B.; Chevrier, J.; Rauch, S.A.; Kogut, K.; Harley, K.G.; Johnson, C.; Trujillo, C.; Sjodin, A.; Bradman, A. In utero and childhood polybrominated diphenyl ether (PBDE) exposures and neurodevelopment in the chamacos study. Environ. Health Perspect. 2013, 121, 257–262. [Google Scholar] [PubMed]
- Sagiv, S.K.; Kogut, K.; Gaspar, F.W.; Gunier, R.B.; Harley, K.G.; Parra, K.; Villasenor, D.; Bradman, A.; Holland, N.; Eskenazi, B. Prenatal and childhood polybrominated diphenyl ether (PBDE) exposure and attention and executive function at 9–12 years of age. Neurotoxicol. Teratol. 2015, 52, 151–161. [Google Scholar] [CrossRef] [PubMed]
- Chen, A.M.; Yolton, K.; Rauch, S.A.; Webster, G.M.; Hornung, R.; Sjodin, A.; Dietrich, K.N.; Lanphear, B.P. Prenatal polybrominated diphenyl ether exposures and neurodevelopment in US Children through 5 years of age: The home study. Environ. Health Perspect. 2014, 122, 856–862. [Google Scholar] [PubMed]
- Vuong, A.M.; Yolton, K.; Webster, G.M.; Sjodin, A.; Calafat, A.M.; Braun, J.M.; Dietrich, K.N.; Lanphear, B.P.; Chen, A.M. Prenatal polybrominated diphenyl ether and perfluoroalkyl substance exposures and executive function in school-age children. Environ. Res. 2016, 147, 556–564. [Google Scholar] [CrossRef] [PubMed]
- Zhang, H.; Yolton, K.; Webster, G.M.; Sjodin, A.; Calafat, A.M.; Dietrich, K.N.; Xu, Y.; Xie, C.; Braun, J.M.; Lanphear, B.P.; et al. Prenatal PBDE and PCB exposures and reading, cognition, and externalizing behavior in children. Environ. Health Perspect. 2017, 125, 746–752. [Google Scholar] [CrossRef] [PubMed]
- Braun, J.M.; Yolton, K.; Stacy, S.L.; Erar, B.; Papandonatos, G.D.; Bellinger, D.C.; Lanphear, B.P.; Chen, A. Prenatal environmental chemical exposures and longitudinal patterns of child neurobehavior. Neurotoxicology 2017, 62, 192–199. [Google Scholar] [CrossRef] [PubMed]
- Vuong, A.M.; Braun, J.M.; Yolton, K.; Xie, C.; Webster, G.M.; Sjödin, A.; Dietrich, K.N.; Lanphear, B.P.; Chen, A. Prenatal and postnatal polybrominated diphenyl ether exposure and visual spatial abilities in children. Environ. Res. 2017, 153, 83–92. [Google Scholar] [CrossRef] [PubMed]
- Vuong, A.M.; Yolton, K.; Poston, K.L.; Xie, C.; Webster, G.M.; Sjödin, A.; Braun, J.M.; Dietrich, K.N.; Lanphear, B.P.; Chen, A. Prenatal and postnatal polybrominated diphenyl ether (PBDE) exposure and measures of inattention and impulsivity in children. Neurotoxicol. Teratol. 2017, 64, 20–28. [Google Scholar] [CrossRef] [PubMed]
- Cowell, W.J.; Lederman, S.A.; Sjodin, A.; Jones, R.; Wang, S.; Perera, F.P.; Wang, R.; Rauh, V.A.; Herbstman, J.B. Prenatal exposure to polybrominated diphenyl ethers and child attention problems at 3–7 years. Neurotoxicol. Teratol. 2015, 52, 143–150. [Google Scholar] [CrossRef] [PubMed]
- Herbstman, J.B.; Sjodin, A.; Kurzon, M.; Lederman, S.A.; Jones, R.S.; Rauh, V.; Needham, L.L.; Tang, D.; Niedzwiecki, M.; Wang, R.Y.; et al. Prenatal exposure to PBDES and neurodevelopment. Environ. Health Perspect. 2010, 118, 712–719. [Google Scholar] [CrossRef] [PubMed]
- Ni, K.; Lu, Y.; Wang, T.; Shi, Y.; Kannan, K.; Xu, L.; Li, Q.; Liu, S. Polybrominated diphenyl ethers (PBDEs) in China: Policies and recommendations for sound management of plastics from electronic wastes. J. Environ. Manag. 2013, 115, 114–123. [Google Scholar] [CrossRef] [PubMed]
- Weisskopf, M.G.; Seals, R.M.; Webster, T.F. Bias amplification in epidemiologic analysis of exposure to mixtures. Environ. Health Perspect. 2018, 126, 047003. [Google Scholar] [CrossRef] [PubMed]
- Chao, H.R.; Tsou, T.C.; Huang, H.L.; Chang-Chien, G.P. Levels of breast milk PBDEs from southern Taiwan and their potential impact on neurodevelopment. Pediatr. Res. 2011, 70, 596–600. [Google Scholar] [CrossRef] [PubMed]
- Hoffman, K.; Adgent, M.; Goldman, B.D.; Sjodin, A.; Daniels, J.L. Lactational exposure to polybrominated diphenyl ethers and its relation to social and emotional development among toddlers. Environ. Health Perspect. 2012, 120, 1438–1442. [Google Scholar] [CrossRef] [PubMed]
- Adgent, M.A.; Hoffman, K.; Goldman, B.D.; Sjodin, A.; Daniels, J.L. Brominated flame retardants in breast milk and behavioural and cognitive development at 36 months. Paediatr. Perinat. Epidemiol. 2014, 28, 48–57. [Google Scholar] [CrossRef] [PubMed]
- Gascon, M.; Fort, M.; Martinez, D.; Carsin, A.E.; Forns, J.; Grimalt, J.O.; Marina, L.S.; Lertxundi, N.; Sunyer, J.; Vrijheid, M. Polybrominated diphenyl ethers (PBDEs) in breast milk and neuropsychological development in infants. Environ. Health Perspect. 2012, 120, 1760–1765. [Google Scholar] [CrossRef] [PubMed]
- Driscoll, L.; Gibson, A.; Hieb, A. Chronic postnatal de-71 exposure: Effects on learning, attention and thyroxine levels. Neurotoxicol. Teratol. 2009, 31, 76–84. [Google Scholar] [CrossRef] [PubMed]






| Study | Exposure Matrix (Sample Size) | Years of Exposure Collection | Measured Congeners | Motor | Behavior | Cognitive | |
|---|---|---|---|---|---|---|---|
| United States | |||||||
| CHAMACOS cohort | |||||||
| Eskenazi et al., 2013 | Salinas Valley, California | Maternal blood during pregnancy or at delivery (n = 279) | 1999–2000 | Primary exposure: ΣPBDEs (BDE-47, -99, -100, and -153) | X | X | X |
| Sagiv et al., 2015 | Salinas Valley, California | Maternal blood during pregnancy or back-extrapolated (n = 622) | 1999–2002; additional 9-year-olds included in 2009–2011 | BDE-17, -28, -47, -66, -85, -99, -100, -153, -154, and -183 | X | X | X |
| HOME cohort | |||||||
| Chen et al., 2014 | Cincinnati, Ohio | Maternal serum at 16 weeks gestation (n = 309) | March 2003–February 2006 | BDE-17, -28, -47, -66, -85, -99, -100, -153, -154, and -183 (with focus on BDE-47) | X | X | X |
| Vuong et al., 2016 | Cincinnati, Ohio | Maternal serum at 4 months’ pregnancy (age 5, n = 201) | 2003–2006 | BDE-17, -28, -47, -66, -85, -99, -100, -153, -154, and -183 | X | X | |
| Zhang et al., 2016 | Cincinnati, Ohio | Maternal serum at 4 months’ pregnancy (n = 239) | 2003–2006 | BDE-17, -28, -47, -66, -85, -99, -100, -153, -154, and -183 | X | X | |
| Braun et al., 2017 | Cincinnati, Ohio | Maternal serum (n = 346) | March 2003–January 2006 | BDE -28, -47, -85, -99, -100, -153, -154 | X | X | X |
| Vuong et al., 2017a | Cincinnati, Ohio | Maternal serum at enrollment (n = 214) | 2003–2006 | BDE-17, -28, -47, -66, -85, -99, -100, -153, -154, and -183 | X | ||
| Vuong et al., 2017b | Cincinnati, Ohio | Maternal serum at 16 weeks’ gestation (n = 199) | 2003–2006 | BDE-17, -28, -47, -66, -85, -99, -100, -153, -154, and -183 | X | ||
| World Trade Center cohort | |||||||
| Herbstman et al., 2010 | New York, NY | Cord blood plasma (n = 152) | 2001–2002; Pregnant as of 9/11 | BDE-47, -99, and -100 | X | X | |
| Cowell et al., 2015 | New York, NY | Cord blood plasma (age 4, n = 109; age 6, n = 107) | December 2001–June 2002 | BDE-47, -85, -99, -100, -153, -154, and -183 | X | ||
| Asia | |||||||
| Shy et al., 2011 | Southern Taiwan | Cord blood (n = 36) | 2007–2008 | BDE-15, -28, -47, -49, -99, -100, -153, -154, -183, -196, and -197 | X | X | X |
| Ding et al., 2015 | Shandong Province, Northern China | Cord blood serum (12 months, n = 192; 24 months, n = 149) | September 2010–February 2012 | BDE-28, -47, -85, -99, -100, -153, -154, and -183 | X | X | X |
| Kim et al., 2018 | Seoul, Anyang, Ansan, and Jeju, Korea | Maternal serum (n = 59) | 2011–2012 | 19 unspecified PBDE congeners | X | X | X |
| Europe | |||||||
| Chevrier et al., 2016 | Brittany Region, France | Cord blood (n = 159); Household dust | 2002–2006 | BDE-47, -85, -99, -100, -119, -153, -154, -183, and -209 | X | ||
| Roze et al., 2009 | Northern Provinces of the Netherlands | Maternal serum at 35th week of pregnancy (n = 62) | October 2001–November 2002 | BDE-47, -99, -100, -153, and -154 | X | X | X |
| Gascon et al., 2011 | Catalonia, Spain | Cord blood (n = 88) | Mid 1997 | BDE-12–13, -32, -17, -28–33, -47, -100, -119, -99, -116, -85, -126, -155, -153, -183, -66, -71, -154, -138, and -190 | X | X | X |
| Study | Roze et al., 2009 | Herbstman et al., 2010 | Gascon et al., 2011 | Shy et al., 2011 | Eskenazi et al., 2013 | Braun et al., 2014 | Chen at al., 2014 | Cowell et al., 2015 | Ding et al., 2015 | Sagiv et al., 2015 | Chevrier et al., 2016 | Vuong et al., 2016 | Braun et al., 2017 | Vuong et al., 2017a | Vuong et al., 2017b | Zhang et al., 2017 | Kim et al., 2018 | ||
|---|---|---|---|---|---|---|---|---|---|---|---|---|---|---|---|---|---|---|---|
| Cognitive development tests | Bayley 4 | Age | 1, 2, 3 | 1 | 1–3 | 1–3 | |||||||||||||
| Sign 1 | −/+, −, − | − | − | − | |||||||||||||||
| WISC 5 | Age | 5–6 | 4, 7 | 7 | 5 | 10.5 | 6 | 5–8 | 5, 8 | ||||||||||
| Sign 1 | 0 3 | −,− | −/+ | − | − | − | 0 3 | − | − | ||||||||||
| Other 10 | Age | 5–6 | 4 | 5 | 1, 2 | 9, 12 | 5, 8 | 8 | 5, 8 | ||||||||||
| Sign 1 | − | − | 0 3 | 0 3, − | − | −, − | −/+ | −, − | |||||||||||
| Behavioral development tests | BASC 6 | Age | 7 | 2–5 | 10.5 | 2–8 | 5, 8 | ||||||||||||
| Sign 1,2 | − | − | −/+ | − | −,− | ||||||||||||||
| Conners’ 7 | Age | 5, 7 | 9, 12 | 8 | |||||||||||||||
| Sign 1,2 | − | − | 0 3 | ||||||||||||||||
| CBCL 8 | Age | 5–6 | 5 | 3, 4, 5, 6, 7 | 1–2 | ||||||||||||||
| Sign 1,2 | − | − | −, −, 0 3, 0 3, − | − | |||||||||||||||
| Other 11 | Age | 4 | 1 | 4–5 | 1, 2 | 9, 12 | 5, 8 | ||||||||||||
| Sign 1,2 | − | − | −/+ | 0 3, − | − | − | |||||||||||||
| Motor development tests | Bayley 4 | Age | 1, 2, 3 | 1 | 1, 2, 3 | ||||||||||||||
| Sign 1 | −, −/+, −/+ | 0 3 | 0 3 | ||||||||||||||||
| MSCA 9 | Age | 5–6 | 4 | 5, 7 | |||||||||||||||
| Sign 1 | − | − | − | ||||||||||||||||
| Other 12 | Age | 5–6 | 5, 7 | 1–2 | 10.5 | ||||||||||||||
| Sign 1 | − | − | 0 3 | 0 3 | |||||||||||||||
| Author, Year | Braun et al., 2014 | Sagiv et al., 2015 | Zhang et al., 2016 | Vuong et al., 2016 | Chen et al., 2014 | Vuong et al., 2017a | Vuong et al., 2017b | Braun et al., 2017 | Gascon et al., 2011 | Herbstman et al., 2010 | Chevrier et al., 2016 | Cowell et al., 2015 | Kim et al., 2018 | Ding et al., 2015 | Eskenazi et al., 2013 | Roze et al., 2009 | Shy et al., 2011 | |
|---|---|---|---|---|---|---|---|---|---|---|---|---|---|---|---|---|---|---|
| Adjusted Covariates (Confounders) | Mat. Age | √ | √ | √ | √ | √ | √ | √ | √ | √ | √ | √ | √ | √ | √ | √ | ||
| Gest. Age 1 | √ | √ | √ | |||||||||||||||
| Edu. 1 | √ | √ | √ | √ | √ | √ | √ | √ | √ | √ | √ | √ | √ | |||||
| Race | √ | √ | √ | √ | √ | √ | √ | √ | √ | |||||||||
| Infant sex | √ | √ | √ | √ | √ | √ | √ | √ | √ | √ | √ | √ | √ | √ | ||||
| Infant age at testing | √ | √ | √ | √ | √ | |||||||||||||
| BFD 1 | √ | √ | √ | √ | ||||||||||||||
| SES 1 | √ | √ | √ | √ | √ | √ | √ | √ | √ | √ | √ | √ | ||||||
| Smoking Status 1 | √ | √ | √ | √ | √ | √ | √ | √ | √ | √ | √ | |||||||
| Maternal IQ | √ | √ | √ | √ | √ | √ | √ | √ | √ | √ | √ | |||||||
| Marital Status | √ | √ | √ | √ | √ | √ | √ | √ | √ | √ | ||||||||
| Parity | √ | √ | √ | √ | √ | √ | √ | |||||||||||
| HOME score 1 | √ | √ | √ | √ | √ | √ | √ | √ | √ | √ | ||||||||
| Other chemicals 1 | √ | √ | √ | √ | ||||||||||||||
| Total | 12 | 11 | 10 | 9 | 9 | 9 | 9 | 8 | 8 | 8 | 7 | 6 | 6 | 5 | 5 | 3 | 2 |
© 2018 by the authors. Licensee MDPI, Basel, Switzerland. This article is an open access article distributed under the terms and conditions of the Creative Commons Attribution (CC BY) license (http://creativecommons.org/licenses/by/4.0/).
Share and Cite
Gibson, E.A.; Siegel, E.L.; Eniola, F.; Herbstman, J.B.; Factor-Litvak, P. Effects of Polybrominated Diphenyl Ethers on Child Cognitive, Behavioral, and Motor Development. Int. J. Environ. Res. Public Health 2018, 15, 1636. https://doi.org/10.3390/ijerph15081636
Gibson EA, Siegel EL, Eniola F, Herbstman JB, Factor-Litvak P. Effects of Polybrominated Diphenyl Ethers on Child Cognitive, Behavioral, and Motor Development. International Journal of Environmental Research and Public Health. 2018; 15(8):1636. https://doi.org/10.3390/ijerph15081636
Chicago/Turabian StyleGibson, Elizabeth A., Eva Laura Siegel, Folake Eniola, Julie Beth Herbstman, and Pam Factor-Litvak. 2018. "Effects of Polybrominated Diphenyl Ethers on Child Cognitive, Behavioral, and Motor Development" International Journal of Environmental Research and Public Health 15, no. 8: 1636. https://doi.org/10.3390/ijerph15081636
APA StyleGibson, E. A., Siegel, E. L., Eniola, F., Herbstman, J. B., & Factor-Litvak, P. (2018). Effects of Polybrominated Diphenyl Ethers on Child Cognitive, Behavioral, and Motor Development. International Journal of Environmental Research and Public Health, 15(8), 1636. https://doi.org/10.3390/ijerph15081636
