Regional Assessment of Temperature-Related Mortality in Finland
Abstract
1. Introduction
2. Materials and Methods
2.1. Data
2.2. Methods
3. Results
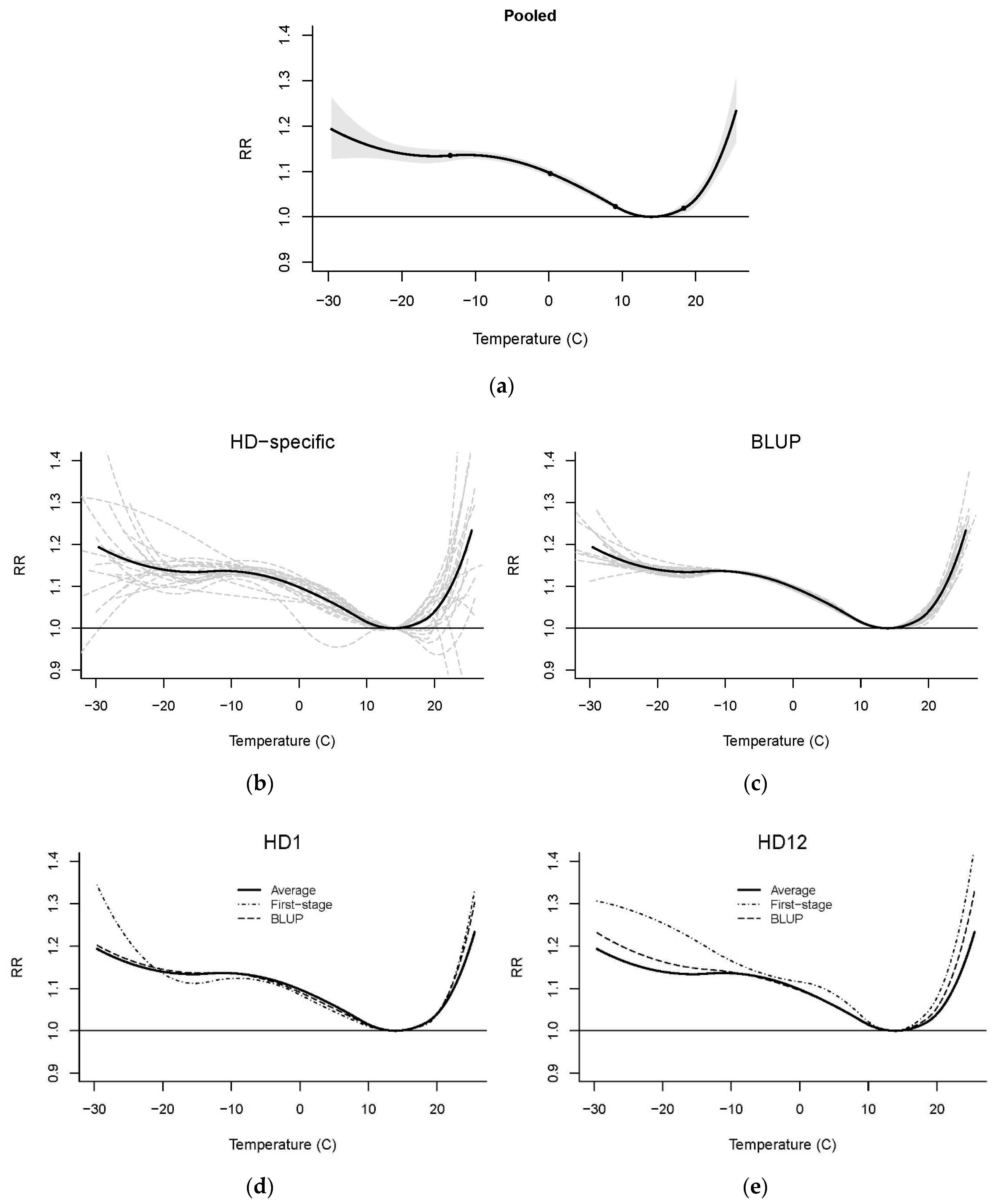
3.1. Model without Lag and Meta-Analysis
3.2. Model with 25-Day Lag
4. Discussion
5. Conclusions
Supplementary Materials
Acknowledgments
Author Contributions
Conflicts of Interest
References
- Basu, R.; Samet, J.M. Relation between elevated ambient temperature and mortality: A review of the epidemiologic evidence. Epidemiol. Rev. 2002, 24, 190–202. [Google Scholar] [CrossRef] [PubMed]
- Armstrong, B. Models for the relationship between ambient temperature and daily mortality. Epidemiology 2006, 17, 624–631. [Google Scholar] [CrossRef] [PubMed]
- Kovats, R.S.; Hajat, S. Heat stress and public health: A critical review. Annu. Rev. Public Health 2008, 29, 41–55. [Google Scholar] [CrossRef] [PubMed]
- Anderson, B.G.; Bell, M.L. Weather-Related Mortality. Epidemiology 2009, 20, 205–213. [Google Scholar] [CrossRef] [PubMed]
- Keatinge, W.R.; Donaldson, G.C.; Cordioli, E.; Martinelli, M.; Kunst, A.E.; Mackenbach, J.P.; Näyhä, S.; Vuori, I. Heat related mortality in warm and cold regions of Europe: Observational study. BMJ 2000, 321, 670–673. [Google Scholar] [CrossRef] [PubMed]
- Guo, Y.; Gasparrini, A.; Armstrong, B.; Li, S.; Tawatsupa, B.; Tobias, A.; Lavigne, E.; Zanotti, D.S.; Coelho, S.; Leone, M.; et al. Global Variation in the Effects of Ambient Temperature on Mortality A Systematic Evaluation. Epidemiology 2014, 25, 781–789. [Google Scholar] [CrossRef] [PubMed]
- Tobias, A.; Armstrong, B.; Gasparrini, A. Investigating Uncertainty in the Minimum Mortality Temperature. Methods and Application to 52 Spanish Cities. Epidemiology 2017, 28, 72–76. [Google Scholar] [CrossRef] [PubMed]
- Näyhä, S. Environmental temperature and mortality. Int. J. Circumpolar Health 2005, 64, 451–458. [Google Scholar] [CrossRef] [PubMed]
- Näyhä, S. Heat mortality in Finland in the 2000s. Int. J. Circumpolar Health 2007, 66, 418–424. [Google Scholar] [CrossRef] [PubMed]
- Curriero, F.C.; Heiner, K.S.; Samet, J.M.; Zeger, S.L.; Strug, L.; Patz, J.A. Temperature and mortality in 11 cities of the eastern United States. Am. J. Epidemiol. 2002, 155, 80–87. [Google Scholar] [CrossRef] [PubMed]
- Baccini, M.; Biggeri, A.; Accetta, G.; Kosatsky, T.; Katsouyanni, K.; Analitis, A.; Anderson, H.R.; Bisanti, L.; D’Iippoliti, D.; Danova, J.; et al. Heat effects on mortality in 15 European cities. Epidemiology 2008, 19, 711–719. [Google Scholar] [CrossRef] [PubMed]
- D’Ippoliti, D.; Michelozzi, P.; Marino, C.; Menne, B.; Cabre, M.G.; Katsouyanni, K.; Medina, S.; Paldy, A.; Anderson, H.R.; Ballester, F. The Impact of Heat Waves on Mortality in 9 European Cities, 1990–2004. Epidemiology 2008, 19, S286–S287. [Google Scholar]
- Medina-Ramón, M.; Schwartz, J. Temperature, temperature extremes, and mortality: A study of acclimatisation and effect modification in 50 US cities. Occup. Environ. Med. 2007, 64, 827–833. [Google Scholar] [CrossRef] [PubMed]
- Hondula, D.M.; Davis, R.E.; Saha, M.V.; Wegner, C.R.; Veazey, L.M. Geographic dimensions of heat-related mortality in seven U.S. cities. Environ. Res. 2015, 138. [Google Scholar] [CrossRef] [PubMed]
- Yu, W.; Mengersen, K.; Wang, X.; Ye, X.; Guo, Y.; Pan, X.; Tong, S. Daily average temperature and mortality among the elderly: A meta-analysis and systematic review of epidemiological evidence. Int. J. Biometeorol. 2012, 56, 569–581. [Google Scholar] [CrossRef] [PubMed]
- Rocklov, J.; Forsberg, B. The effect of temperature on mortality in Stockholm 1998–2003: A study of lag structures and heatwave effects. Scand. J Public Health 2008, 36, 516–523. [Google Scholar] [CrossRef] [PubMed]
- Koppe, C.; Jendritzky, G. Inclusion of short-term adaptation to thermal stresses in a heat load warning procedure. Meteorol. Z. 2005, 14, 271–278. [Google Scholar] [CrossRef]
- Muggeo, V.M.; Hajat, S. Modelling the non-linear multiple-lag effects of ambient temperature on mortality in Santiago and Palermo: A constrained segmented distributed lag approach. Occup. Environ. Med. 2009, 66, 584–591. [Google Scholar] [CrossRef] [PubMed]
- Gasparrini, A.; Armstrong, B.; Kenward, M.G. Distributed lag non-linear models. Stat. Med. 2010, 29, 2224–2234. [Google Scholar] [CrossRef] [PubMed]
- Gasparrini, A. Distributed Lag Linear and Non-Linear Models in R : The Package dlnm. J. Stat. Softw. 2011, 43, 1–20. [Google Scholar] [CrossRef] [PubMed]
- Gasparrini, A.; Scheipl, F.; Armstrong, B.; Kenward, M.G. A penalized framework for distributed lag non-linear models. Biometrics 2017, 938–948. [Google Scholar] [CrossRef] [PubMed]
- Gasparrini, A.; Guo, Y.; Hashizume, M.; Lavigne, E.; Zanobetti, A.; Schwartz, J.; Tobias, A.; Tong, S.; Rocklöv, J.; Forsberg, B.; et al. Mortality risk attributable to high and low ambient temperature: A multicountry observational study. Lancet 2015, 386, 369–375. [Google Scholar] [CrossRef]
- De’Donato, F.K.; Leone, M.; Scortichini, M.; De Sario, M.; Katsouyanni, K.; Lanki, T.; Basagaña, X.; Ballester, F.; Åström, C.; Paldy, A.; et al. Changes in the effect of heat on mortality in the last 20 years in nine European cities. Results from the PHASE project. Int. J. Environ. Res. Public Health 2015, 12, 15567–15583. [Google Scholar] [CrossRef] [PubMed]
- Oudin Åström, D.; Åström, C.; Rekker, K.; Indermitte, E.; Orru, H. High summer temperatures and mortality in Estonia. PLoS ONE 2016, 11, e0155045. [Google Scholar] [CrossRef] [PubMed]
- Carter, T.R.; Fronzek, S.; Inkinen, A.; Lahtinen, I.; Lahtinen, M.; Mela, H.; O’Brien, K.L.; Rosentrater, L.D.; Ruuhela, R.; Simonsson, L.; et al. Characterising vulnerability of the elderly to climate change in the Nordic region. Reg. Environ. Chang. 2016, 16. [Google Scholar] [CrossRef]
- THL’s Morbidity Index 2012–2014. Statistical Review 12/2016. Available online: http://urn.fi/URN:NBN:fi-fe2016111829194 (accessed on 25 February 2018).
- Jendritzky, G.; de Dear, R. Adaptation and Thermal Environment. In Biometeorology for Adaptation to Climate Variability and Change; Ebi, K.L., Burton, I., McGregor, G.R., Eds.; Springer: Dordrecht, The Netherlands, 2009; pp. 9–32. [Google Scholar]
- Ruuhela, R.; Jylhä, K.; Lanki, T.; Tiittanen, P.; Matzarakis, A. Biometeorological assessment of mortality related to extreme temperatures in Helsinki region, Finland, 1972–2014. Int. J. Environ. Res. Public Health 2017, 14, 944. [Google Scholar] [CrossRef] [PubMed]
- Pirinen, P.; Simola, H.; Aalto, J.; Kaukoranta, J.-P.; Karlsson, P.; Ruuhela, R. Tilastoja Suomen ilmastosta 1981–2010—Climatological statistics of Finland 1981–2010. In Ilmatieteen Laitos Raportteja—Finnish Meteorological Institute Reports; Finnish Meteorological Institute: Helsinki, Finland, 2012; Volume 1, ISBN 9789516977655. [Google Scholar]
- Statistical Information on Welfare and Health in Finland. Available online: https://www.sotkanet.fi/sotkanet/en/kartta?indicator=szYKBwA=®ion=s7YssM7SM4y3BAA=&year=sy4rBQA=&gender=t (accessed on 22 November 2017).
- THL’s Morbidity Index. Available online: https://www.sotkanet.fi/sotkanet/en/taulukko/?indicator=szYOAgA=®ion=s7YssM7SM4y3BAA=&year=sy4rtc7X0zUEAA==&gender=t&abs=f&color=f&buildVersion=3.0-SNAPSHOT&buildTimestamp=201709141202 (accessed on 9 January 2018).
- Aalto, J.; Pirinen, P.; Heikkinen, J.; Venäläinen, A. Spatial interpolation of monthly climate data for Finland: Comparing the performance of kriging and generalized additive models. Theor. Appl. Climatol. 2013, 112, 99–111. [Google Scholar] [CrossRef]
- Gasparrini, A.; Leone, M. Attributable risk from distributed lag models. BMC Med. Res. Methodol. 2014, 14, 55. [Google Scholar] [CrossRef] [PubMed]
- Gasparrini, A.; Armstrong, B.; Kenward, M.G. Multivariate meta-analysis for non-linear and other multi-parameter associations. Stat. Med. 2012, 31, 3821–3839. [Google Scholar] [CrossRef] [PubMed]
- Saarela, J.; Finnäs, F. Internal migration and mortality: The case of Finland. Environ. Health Insights 2008, 2, 1–12. [Google Scholar] [CrossRef] [PubMed]
- Ebi, K.L.; Mills, D. Winter mortality in a warming climate: A reassessment. Wiley Interdiscip. Rev. Clim. Chang. 2013, 4, 203–212. [Google Scholar] [CrossRef]
- Staddon, P.L.; Montgomery, H.E.; Depledge, M.H. Climate warming will not decrease winter mortality. Nat. Clim. Chang. 2014, 4, 190–194. [Google Scholar] [CrossRef]
- Rush, L.; McCartney, G.; Walsh, D.; Mackay, D. Vitamin D and subsequent all-age and premature mortality: A systematic review. BMC Public Health 2013, 13, 679. [Google Scholar] [CrossRef] [PubMed]
- Virtanen, J.K.; Nurmi, T.; Voutilainen, S.; Mursu, J.; Tuomainen, T.P. Association of serum 25-hydroxyvitamin D with the risk of death in a general older population in Finland. Eur. J. Nutr. 2011, 50, 305–312. [Google Scholar] [CrossRef] [PubMed]





| Covariate | Cochran Q Test | I2 | Information Criteria | LR Test | Wald Test | |||||||
|---|---|---|---|---|---|---|---|---|---|---|---|---|
| Q | df | p | (%) | AIC | BIC | Stat | df | Stat | df | |||
| Absolute scale | ||||||||||||
| Intercept-only | 129.2 | 114 | 0.156 | 11.8 | −304.8 | −229.6 | ||||||
| Relative scale | ||||||||||||
| Intercept-only | 144.4 | 114 | 0.029 | 21.1 | −301.0 | −225.7 | ||||||
| Climate-Tmean | 134.8 | 108 | 0.041 | 19.9 | −294.0 | −202.0 | 5.0 | 6 | 0.544 | 5.6 | 6 | 0.465 | 
| Temperature range | 134.1 | 108 | 0.045 | 19.5 | −297.6 | −205.6 | 8.6 | 6 | 0.196 | 11.0 | 6 | 0.089 | 
| Morbidity index | 129.1 | 108 | 0.081 | 16.4 | −298.5 | −206.5 | 9.5 | 6 | 0.146 | 13.5 | 6 | 0.036 | 
| Population | 127.5 | 108 | 0.097 | 15.3 | −298.5 | −206.5 | 9.5 | 6 | 0.146 | 14.9 | 6 | 0.021 | 
| Share of elderly | 131.3 | 108 | 0.063 | 17.7 | −295.8 | −203.9 | 6.9 | 6 | 0.335 | 11.4 | 6 | 0.077 | 
| Tavg | RR (95% CI) | ||
|---|---|---|---|
| Pooled Estimate | 24 | 1.16 (1.12, 1.20) | |
| -Without Lag | 20 | 1.04 (1.03, 1.05) | |
| −15 | 1.13 (1.12, 1.15) | ||
| −20 | 1.14 (1.12, 1.16) | ||
| −25 | 1.16 (1.13, 1.19) | ||
| HD1 | HD12 | ||
| Simple Model | 24 | 1.15 (1.10, 1.20) | 1.25 (1.14, 1.38) | 
| -Without Lag | 20 | 1.06 (1.04, 1.08) | 1.10 (1.05, 1.15) | 
| −15 | 1.14 (1.11, 1.16) | 1.21 (1.17, 1.26) | |
| −20 | 1.14 (1.09, 1.18) | 1.25 (1.20, 1.31) | |
| −25 | 1.13 (1.06, 1.20) | 1.29 (1.21, 1.39) | |
| DLNM | 24 | 1.34 (1.22, 1.48) | 1.55 (1.24, 1.94) | 
| -With 25-Day Lag | 20 | 1.10 (1.06, 1.13) | 1.18 (1.07, 1.31) | 
| −15 | 1.20 (1.09, 1.31) | 1.26 (1.05, 1.52) | |
| −20 | 1.25 (1.11, 1.39) | 1.34 (1.07, 1.68) | |
| −25 | 1.32 (1.00, 1.74) | 1.37 (1.09, 1.72) | 
© 2018 by the authors. Licensee MDPI, Basel, Switzerland. This article is an open access article distributed under the terms and conditions of the Creative Commons Attribution (CC BY) license (http://creativecommons.org/licenses/by/4.0/).
Share and Cite
Ruuhela, R.; Hyvärinen, O.; Jylhä, K. Regional Assessment of Temperature-Related Mortality in Finland. Int. J. Environ. Res. Public Health 2018, 15, 406. https://doi.org/10.3390/ijerph15030406
Ruuhela R, Hyvärinen O, Jylhä K. Regional Assessment of Temperature-Related Mortality in Finland. International Journal of Environmental Research and Public Health. 2018; 15(3):406. https://doi.org/10.3390/ijerph15030406
Chicago/Turabian StyleRuuhela, Reija, Otto Hyvärinen, and Kirsti Jylhä. 2018. "Regional Assessment of Temperature-Related Mortality in Finland" International Journal of Environmental Research and Public Health 15, no. 3: 406. https://doi.org/10.3390/ijerph15030406
APA StyleRuuhela, R., Hyvärinen, O., & Jylhä, K. (2018). Regional Assessment of Temperature-Related Mortality in Finland. International Journal of Environmental Research and Public Health, 15(3), 406. https://doi.org/10.3390/ijerph15030406
 
        


 
       