Groundwater Pollution Sources Apportionment in the Ghaen Plain, Iran
Abstract
:1. Introduction
2. Materials and Methods
2.1. Study Area and Data Collection
2.2. Heavy Metal Pollution Indices
2.3. Principal Components Factor Analysis (PCFA)
3. Results and Discussion
3.1. Sampling Results
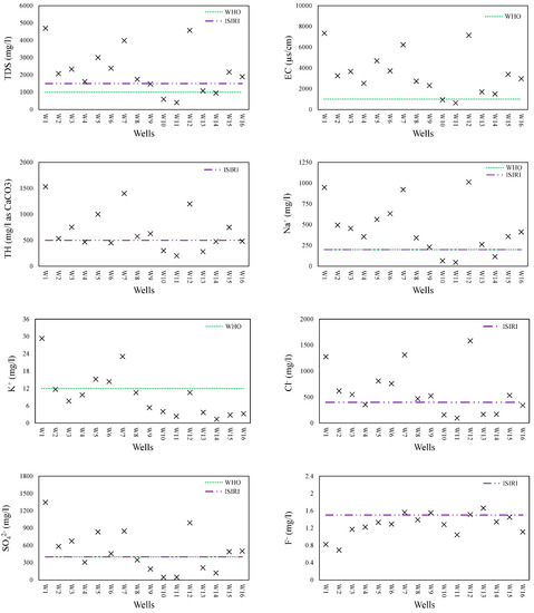
3.2. Groundwater Quality Assessment
3.2.1. Drinking Water Suitability
3.2.2. Agricultural Water Suitability
3.2.3. Industrial Water Suitability
3.3. Hydrochemical Facies
3.4. HPI and Cd Results
3.5. The MPSP
3.5.1. Identifying the MPSP by Ionic Ratios
3.5.2. Identifying the MPSP by PCFA
4. Conclusions
Supplementary Materials
Acknowledgments
Author Contributions
Conflicts of Interest
References
- Haloi, N.; Sarma, H.P. Heavy metal contaminations in the groundwater of Brahmaputra flood plain: An assessment of water quality in Barpeta District, Assam (India). Environ. Monit. Assess. 2012, 184, 6229–6237. [Google Scholar] [CrossRef] [PubMed]
- Pourang, N.; Noori, A.S. Heavy metals contamination in soil, surface water and groundwater of an agricultural area adjacent to Tehran oil refinery, Iran. Int. J. Environ. Res. 2014, 8, 871–886. [Google Scholar] [CrossRef]
- Sobhan Ardakani, S. Assessment of levels and health risk of heavy metals (Pb, Cd, Cr, and Cu) in commercial hen’s eggs from the city of Hamedan. Pollution 2017, 3, 669–677. [Google Scholar] [CrossRef]
- Aliyu, T.; Balogun, O.; Namani, C.; Olatinwo, L.; Aliyu, A. Assessment of the presence of metals and quality of water used for irrigation in Kwara State, Nigeria. Pollution 2017, 3, 461–470. [Google Scholar] [CrossRef]
- Vidal, M.; Lopez, A.; Santoalla, M.C.; Valles, V. Factor analysis for the study of water resources contamination due to the use of livestock slurries as fertilizer. Agric. Water Manag. 2000, 45, 1–15. [Google Scholar] [CrossRef]
- Singh, K.P.; Malik, A.; Sinha, S. Water quality assessment and apportionment of pollution sources of Gomti river (India) using multivariate statistical techniques—A case study. Anal. Chim. Acta 2005, 538, 355–374. [Google Scholar] [CrossRef]
- Singh, K.P.; Malik, A.; Sinha, S.; Singh, V.K.; Murthy, R.C. Estimation of source of heavy metal contamination in sediments of Gomti River (India) using principal component analysis. Water Air Soil Pollut. 2005, 166, 321–341. [Google Scholar] [CrossRef]
- Shrestha, S.; Kazama, F.; Nakamura, T. Use of principal component analysis, factor analysis and discriminant analysis to evaluate spatial and temporal variations in water quality of the Mekong River. J. Hydroinform. 2008, 10, 43–56. [Google Scholar] [CrossRef]
- Bhuyan, M.; Bakar, M. Assessment of water quality in Halda River (the Major carp breeding ground) of Bangladesh. Pollution 2017, 3, 429–441. [Google Scholar] [CrossRef]
- Tariq, S.R.; Shaheen, N.; Khalique, A.; Shah, M.H. Distribution, correlation, and source apportionment of selected metals in tannery effluents, related soils, and groundwater—A case study from Multan, Pakistan. Environ. Monit. Assess. 2010, 166, 303–312. [Google Scholar] [CrossRef] [PubMed]
- Yang, L.; Mei, K.; Liu, X.; Wu, L.; Zhang, M.; Xu, J.; Wang, F. Spatial distribution and source apportionment of water pollution in different administrative zones of Wen-Rui-Tang (WRT) river watershed, China. Environ. Sci. Pollut. Res. 2013, 20, 5341–5352. [Google Scholar] [CrossRef] [PubMed]
- Bhutiani, R.; Kulkarni, D.B.; Khanna, D.R.; Gautam, A. Water quality, pollution source apportionment and health risk assessment of heavy metals in groundwater of an industrial area in North India. Exp. Health 2016, 8, 3–18. [Google Scholar] [CrossRef]
- Guo, X.; Zuo, R.; Shan, D.; Cao, Y.; Wang, J.; Teng, Y.; Fu, Q.; Zheng, B. Source apportionment of pollution in groundwater source area using factor analysis and positive matrix factorization methods. Hum. Ecol. Risk Assess. 2017, 23. [Google Scholar] [CrossRef]
- Allen, D.M.; Suchy, M.S. Geochemical evolution of groundwater on Saturna Island, British Columbia. Can. J. Earth Sci. 2001, 38, 1059–1080. [Google Scholar] [CrossRef]
- Ghabayen, S.M.; McKee, M.; Kemblowski, M. Ionic and isotopic ratios for identification of salinity sources and missing data in the Gaza aquifer. J. Hydrol. 2006, 318, 360–373. [Google Scholar] [CrossRef]
- El-Moujabber, M.; Samra, B.B.; Darwish, T.; Atallah, T. Comparison of different indicators for groundwater contamination by seawater intrusion on the Lebanese coast. Water Resour. Manag. 2006, 20, 161–180. [Google Scholar] [CrossRef]
- Lee, J.Y.; Song, S.H. Groundwater chemistry and ionic ratios in a western coastal aquifer of Buan, Korea: Implication for seawater intrusion. Geosci. J. 2007, 11, 259–270. [Google Scholar] [CrossRef]
- Krishnaraj, S.; Murugesan, V.; Vijayaraghavan, K.; Sabarathinam, C.; Paluchamy, A.; Ramachandran, M. Use of hydrochemistry and stable isotopes as tools for groundwater evolution and contamination investigations. Geosciences 2011, 1, 16–25. [Google Scholar] [CrossRef]
- Mongelli, G.; Monni, S.; Oggiano, G.; Paternoster, M.; Sinisi, R. Tracing groundwater salinization processes in coastal aquifers: A hydrogeochemical and isotopic approach in the Na-Cl brackish waters of northwestern Sardinia, Italy. Hydrol. Earth Syst. Sci. 2013, 17, 2917–2928. [Google Scholar] [CrossRef]
- Raju, N.J.; Reddy, K.; Muniratnam, P.; Gossel, W.; Wycisk, P. Managed aquifer recharge (MAR) by the construction of subsurface dams in the semi-arid regions: A case study of the Kalangi river basin, Andhra Pradesh. J. Geol. Soc. India 2013, 82, 657–665. [Google Scholar] [CrossRef]
- Abdalla, F. Ionic ratios as tracers to assess seawater intrusion and to identify salinity sources in Jazan coastal aquifer, Saudi Arabia. Arab. J. Geosci. 2016, 9, 40. [Google Scholar] [CrossRef]
- Batayneh, A.; Zaman, H.; Zumlot, T.; Ghrefat, H.; Mogren, S.; Nazzal, Y.; Elawadi, E.; Qaisy, S.; Bahkaly, I.; Al-Taani, A. Hydrochemical facies and ionic ratios of the coastal groundwater aquifer of Saudi Gulf of Aqaba: Implication for seawater intrusion. J. Coast. Res. 2013, 30, 75–87. [Google Scholar] [CrossRef]
- Li, W.; Wang, M.Y.; Liu, L.Y.; Yan, Y. Assessment of long-term evolution of groundwater hydrochemical characteristics using multiple approaches: A case study in Cangzhou, northern China. Water 2015, 7, 1109–1128. [Google Scholar] [CrossRef]
- Souid, F.; Agoubi, B.; Hamdi, M.; Telahigue, F.; Kharroubi, A. Groundwater chemical and fecal contamination assessment of the Jerba unconfined aquifer, southeast of Tunisia. Arab. J. Geosci. 2017, 10, 231. [Google Scholar] [CrossRef]
- APHA; AWWA; WEF. Standard Methods for the Examination of Water and Wastewater; American Public Health Association: Washington, DC, USA, 2005. [Google Scholar]
- Mohan, S.V.; Nithila, P.; Reddy, S.J. Estimation of heavy metals in drinking water and development of heavy metal pollution index. J. Environ. Sci. Health Part A 1996, 31, 283–289. [Google Scholar] [CrossRef]
- Backman, B.; Bodiš, D.; Lahermo, P.; Rapant, S.; Tarvainen, T. Application of a groundwater contamination index in Finland and Slovakia. Environ. Geol. 1998, 36, 55–64. [Google Scholar] [CrossRef]
- Prasad, B.; Bose, J. Evaluation of the heavy metal pollution index for surface and spring water near a limestone mining area of the lower Himalayas. Environ. Geol. 2001, 41, 183–188. [Google Scholar] [CrossRef]
- Tariq, S.R.; Shah, M.H.; Shaheen, N.; Khalique, A.; Manzoor, S.; Jaffar, M. Multivariate analysis of selected metals in tannery effluents and related soil. J. Hazard. Mater. 2005, 122, 17–22. [Google Scholar] [CrossRef] [PubMed]
- Rafique, N.; Tariq, S.R. Distribution and source apportionment studies of heavy metals in soil of cotton/wheat fields. Environ. Monit. Assess. 2016, 188, 309. [Google Scholar] [CrossRef] [PubMed]
- Noori, R.; Karbassi, A.; Khakpour, A.; Shahbazbegian, M.; Badam, H.M.K.; Vesali-Naseh, M. Chemometric analysis of surface water quality data: Case study of the Gorganrud river basin, Iran. Environ. Model. Assess. 2012, 17, 411–420. [Google Scholar] [CrossRef]
- Noori, R.; Sabahi, M.S.; Karbassi, A.R.; Baghvand, A.; Zadeh, H.T. Multivariate statistical analysis of surface water quality based on correlations and variations in the data set. Desalination 2010, 260, 129–136. [Google Scholar] [CrossRef]
- Singh, P.K.; Kumar, V.; Purohit, R.C.; Kothari, M.; Dashora, P.K. Application of principal component analysis in grouping geomorphic parameters for hydrologic modeling. Water Resour. Manag. 2009, 23, 325–339. [Google Scholar] [CrossRef]
- Manly, B.F.J. Multivariate Statistical Methods, a Primer; Chapman & Hall: London, UK, 2004. [Google Scholar]
- Shrestha, S.; Kazama, F. Assessment of surface water quality using multivariate statistical techniques: A case study of the Fuji river basin, Japan. Environ. Model. Softw. 2007, 22, 464–475. [Google Scholar] [CrossRef]
- Ouyang, Y. Evaluation of river water quality monitoring stations by principal component analysis. Water Res. 2005, 39, 2621–2635. [Google Scholar] [CrossRef] [PubMed]
- Noori, R.; Khakpour, A.; Omidvar, B.; Farokhnia, A. Comparison of ANN and principal component analysis-multivariate linear regression models for predicting the river flow based on developed discrepancy ratio statistic. Expert Syst. Appl. 2010, 37, 856–862. [Google Scholar] [CrossRef]
- Kousa, A.; Havulinna, A.S.; Moltchanova, E.; Taskinen, O.; Nikkarinen, M.; Karvonen, J.; Karvonen, M. Calcium: Magnesium ratio in local groundwater and incidence of acute myocardial infarction among males in rural Finland. Environ. Health Perspect. 2006, 114, 730–734. [Google Scholar] [CrossRef] [PubMed]
- Rapant, S.; Fajčíková, K.; Cvečková, V.; Ďurža, A.; Stehlíková, B.; Sedláková, D.; Ženišová, Z. Chemical composition of groundwater and relative mortality for cardiovascular diseases in the Slovak Republic. Environ. Geochem. Health 2015, 37, 745–756. [Google Scholar] [CrossRef] [PubMed]
- Rapant, S.; Cvečková, V.; Fajčíková, K.; Dietzová, Z.; Stehlíková, B. Chemical composition of groundwater/drinking water and oncological disease mortality in Slovak Republic. Environ. Geochem. Health 2017, 39, 191–208. [Google Scholar] [CrossRef] [PubMed]
- Todd, D.K. Ground Water Hydrology; John Wiley and Sons. Inc.: Hoboken, NJ, USA, 1959; pp. 277–294. [Google Scholar]
- Yang, C.Y.; Chiu, H.F.; Cheng, M.F.; Tsai, S.S.; Hung, C.F.; Lin, M.C. Esophageal cancer mortality and total hardness levels in Taiwan’s drinking water. Environ. Res. 1999, 81, 302–308. [Google Scholar] [CrossRef] [PubMed]
- Rapant, S.; Cvečková, V.; Fajčíková, K.; Sedláková, D.; Stehlíková, B. Impact of calcium and magnesium in groundwater and drinking water on the health of inhabitants of the Slovak Republic. Int. J. Environ. Res. Public Health 2017, 14, 278. [Google Scholar] [CrossRef] [PubMed]
- Wilcox, L. Classification and Use of Irrigation Waters; Department of Agriculture: Washington, DC, USA, 1955.
- Eaton, F.M. Significance of carbonates in irrigation waters. Soil Sci. 1950, 69, 123–134. [Google Scholar] [CrossRef]
- McCarthy, T.S.; Ellery, W.N. The effect of vegetation on soil and ground water chemistry and hydrology of islands in the seasonal swamps of the Okavango Fan, Botswana. J. Hydrol. 1994, 154, 169–193. [Google Scholar] [CrossRef]
- Rhades, J.D.; Berstein, L. Chemical Physical and Biological Characteristics of Irrigation and Soil Water. In Water and Water Pollution; Ciaccio, L.L., Ed.; Marcel Dekker Inc.: New York, NY, USA, 1971. [Google Scholar]
- Piper, A.M. A graphic procedure in the geochemical interpretation of water-analyses. Eos Trans. Am. Geophys. Union 1944, 25, 914–928. [Google Scholar] [CrossRef]
- Hem, J.D. Study and Interpretation of the Chemical Characteristics of Natural Water; USGS Water Supply Paper 1473; USGS: Reston, VA, USA, 1970; 363p.
- Gill, D.; Rosenthal, E. Hydrochem—A fortran IV program for processing analytical hydrochemical data. Comput. Geosci. 1975, 1, 83–96. [Google Scholar] [CrossRef]
- WSDE—Washington State Department of Ecology; Water Resource Inventory Area 06 Islands. Seawater Intrusion Topic Paper. 2005. Available online: https://fortress.wa.gov/ecy/publications/documents/1203271.pdf (accessed on 14 March 2017).
- Korfali, S.I.; Jurdi, M. Deterioration of coastal water aquifers: Causes and impacts. Eur. Water 2010, 29, 3–10. [Google Scholar]
- Ghahremanzadeh, H.; Noori, R.; Baghvand, A.; Nasrabadi, T. Evaluating the main sources of groundwater pollution in the southern Tehran aquifer using principal component factor analysis. Environ. Geochem. Health 2017, 1–12. [Google Scholar] [CrossRef] [PubMed]
- Appelo, C.A.J.; Postma, D. Geochemistry, Groundwater and Pollution; CRC Press: Amsterdam, The Netherlands, 2004. [Google Scholar]
- Lyles, J.R. Is Seawater Intrusion Affecting Ground Water on Lopez Island, Washington? (No. 057–00); US Geological Survey: Reston, VA, USA, 2000.










| Parameters | Unit | Mean | Median | SD * | Minimum | Maximum | Preservation | Holding Time |
|---|---|---|---|---|---|---|---|---|
| pH | Standard | 7.49 | 7.5 | 0.32 | 7.09 | 8.11 | - | ISM † |
| EC | µs cm−1 | 3416 | 3108 | 2040 | 627 | 7340 | - | ISM † |
| TDS | mg L−1 | 2183 | 1981 | 1304 | 400 | 4690 | - | ISM † |
| TH (as CaCO3) | mg L−1 | 688 | 553 | 398 | 201 | 1532 | Cool, 4 °C ‡ | 24 h |
| Alk (as CaCO3) | mg L−1 | 274 | 281 | 104 | 124 | 480 | Cool, 4 °C ‡ | 24 h |
| Ca2+ | mg L−1 | 112.4 | 96.3 | 66.6 | 35.5 | 292.0 | Cool, 4 °C ‡ | 24 h |
| Mg2+ | mg L−1 | 99.5 | 79.1 | 66.1 | 24.0 | 210.0 | Cool, 4 °C ‡ | 24 h |
| Na+ | mg L−1 | 450.6 | 384.4 | 302.7 | 45.0 | 1012.0 | Cool, 4 °C ‡ | 24 h |
| K+ | mg L−1 | 9.7 | 8.7 | 7.9 | 1.3 | 29.3 | Cool, 4 °C ‡ | 24 h |
| Si4+ | mg L−1 | 2.3 | 2.5 | 0.8 | 1.0 | 3.9 | Cool, 4 °C ‡ | 24 h |
| HCO3− | mg L−1 | 335.0 | 336.8 | 126.7 | 152.5 | 585.1 | Cool, 4 °C ‡ | 24 h |
| SO42− | mg L−1 | 498.5 | 471.8 | 367.1 | 45.3 | 1345.0 | Cool, 4 °C ‡ | 24 h |
| Cl− | mg L−1 | 607.5 | 528.6 | 445.1 | 95.9 | 1581.0 | Cool, 4 °C ‡ | 24 h |
| PO43− | mg L−1 | 0.13 | 0.1 | 0.04 | 0.07 | 0.22 | Cool, 4 °C ‡ | 24 h |
| NO3− | mg L−1 | 16.88 | 15.7 | 5.61 | 7.11 | 28.9 | Cool, 4 °C ‡ and pH below 2 by H2SO4 | 72 h |
| NO2− | mg L−1 | 0.02 | 0.01 | 0.01 | 0.009 | 0.039 | Cool, 4 °C ‡ | 24 h |
| NH3 | mg L−1 | 0.03 | 0.01 | 0.01 | 0.013 | 0.055 | Cool, 4 °C ‡ | 24 h |
| F− | mg L−1 | 1.28 | 1.3 | 0.27 | 0.69 | 1.66 | None required | 96 h |
| B | mg L−1 | 2.07 | 1.7 | 1.05 | 0.56 | 4.34 | Cool, 4 °C ‡ | 24 h |
| TP | mg L−1 | 0.17 | 0.2 | 0.05 | 0.087 | 0.26 | Cool, 4 °C ‡ and pH below 2 by H2SO4 | 72 h |
| TN | mg L−1 | 1.01 | 0.9 | 0.35 | 0.55 | 1.66 | Cool, 4 °C ‡ and pH below 2 by HNO3 | 72 h |
| Fe | µg L−1 | 102.5 | 89.0 | 40.2 | 41.8 | 187.6 | Cool, 4 °C ‡ and pH below 2 by HNO3 | 96 h |
| Zn | µg L−1 | 27.89 | 24.1 | 10.43 | 15.9 | 55.1 | Cool, 4 °C ‡ and pH below 2 by HNO3 | 96 h |
| Mn | µg L−1 | 19.54 | 20.1 | 6.90 | 9.12 | 33.9 | Cool, 4 °C ‡ and pH below 2 by HNO3 | 96 h |
| Cr | µg L−1 | 2.24 | 2.2 | 0.68 | 1.23 | 3.67 | Cool, 4 °C ‡ | 24 h ‡ |
| Cu | µg L−1 | 23.97 | 21.3 | 11.19 | 11.5 | 49.3 | Cool, 4 °C ‡ and pH below 2 by HNO3 | 96 h |
| Pb | µg L−1 | 5.54 | 5.5 | 2.57 | 2.09 | 10.4 | Cool, 4 °C ‡ and pH below 2 by HNO3 | 96 h |
| Cd | µg L−1 | 1.09 | 1.1 | 0.24 | 0.67 | 1.55 | Cool, 4 °C ‡ and pH below 2 by HNO3 | 96 h |
| Boron Class | Range (mg L−1) | ||
|---|---|---|---|
| Semi-Sensitive Crops | Semi-Tolerant Crops | Tolerant Crops | |
| Excellent | <0.33 | <0.67 | <1 |
| Good | 0.33–0.67 | 0.67–1.33 | 1–2 |
| Permissible | 0.67–1 | 1.33–2 | 2–3 |
| Doubtful | 1–1.25 | 2–2.5 | 3–3.75 |
| Unsuitable | >1.25 | >2.5 | >3.75 |
| RPFs | Eigenvalue | PVE * by Each RPF | PCVE † by Each RPF |
|---|---|---|---|
| RPF 1 | 9.36 | 33.4 | 33.4 |
| RPF 2 | 5.12 | 18.4 | 51.8 |
| RPF 3 | 3.90 | 13.9 | 65.7 |
| RPF 4 | 2.17 | 7.7 | 73.4 |
| RPF 5 | 1.90 | 6.8 | 80.2 |
| RPF 6 | 1.62 | 5.8 | 86.0 |
| Parameter | RPF 1 | RPF 2 | RPF 3 |
|---|---|---|---|
| pH | |||
| EC | 0.98 | ||
| TDS | 0.95 | ||
| TH (as CaCO3) | 0.95 | ||
| Alk (as CaCO3) | 0.94 | ||
| Ca2+ | |||
| Mg2+ | 0.92 | ||
| Na+ | 0.95 | ||
| K+ | |||
| Si4+ | |||
| HCO3− | 0.94 | ||
| SO42− | 0.96 | ||
| Cl− | 0.96 | ||
| PO43− | 0.91 | ||
| NO3− | 0.90 | ||
| NO2− | |||
| NH3 | |||
| F− | |||
| B | |||
| TP | 0.91 | ||
| TN | |||
| Fe | |||
| Zn | |||
| Mn | |||
| Cr | |||
| Cu | |||
| Pb | |||
| Cd |
© 2018 by the authors. Licensee MDPI, Basel, Switzerland. This article is an open access article distributed under the terms and conditions of the Creative Commons Attribution (CC BY) license (http://creativecommons.org/licenses/by/4.0/).
Share and Cite
Vesali Naseh, M.R.; Noori, R.; Berndtsson, R.; Adamowski, J.; Sadatipour, E. Groundwater Pollution Sources Apportionment in the Ghaen Plain, Iran. Int. J. Environ. Res. Public Health 2018, 15, 172. https://doi.org/10.3390/ijerph15010172
Vesali Naseh MR, Noori R, Berndtsson R, Adamowski J, Sadatipour E. Groundwater Pollution Sources Apportionment in the Ghaen Plain, Iran. International Journal of Environmental Research and Public Health. 2018; 15(1):172. https://doi.org/10.3390/ijerph15010172
Chicago/Turabian StyleVesali Naseh, Mohammad Reza, Roohollah Noori, Ronny Berndtsson, Jan Adamowski, and Elaheh Sadatipour. 2018. "Groundwater Pollution Sources Apportionment in the Ghaen Plain, Iran" International Journal of Environmental Research and Public Health 15, no. 1: 172. https://doi.org/10.3390/ijerph15010172
APA StyleVesali Naseh, M. R., Noori, R., Berndtsson, R., Adamowski, J., & Sadatipour, E. (2018). Groundwater Pollution Sources Apportionment in the Ghaen Plain, Iran. International Journal of Environmental Research and Public Health, 15(1), 172. https://doi.org/10.3390/ijerph15010172

