Effects of Biochar-Derived Sewage Sludge on Heavy Metal Adsorption and Immobilization in Soils
Abstract
:1. Introduction
2. Materials and Methods
2.1. Soil Preparation and Characterization
2.2. Biochar Preparation and Characterization
2.3. Sorption Experiments
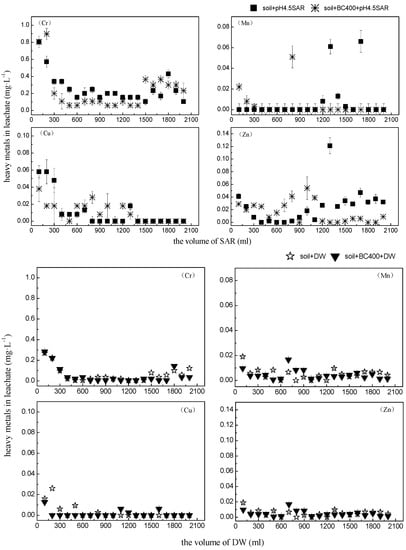
2.4. Leaching Experiment and Speciation of Heavy Metals
2.5. Statistical Analysis
3. Results and Discussion
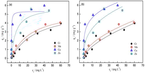
3.1. Adsorption Isotherms
3.2. Effect of Co-Existence of Cr, Mn, Cu, and Zn on the Adsorption Capacities of BC400
3.3. Effects of Biochar on Heavy Metal Mobility in Contaminated Soil
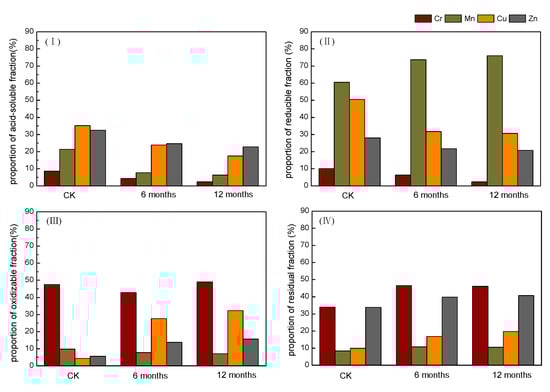
3.4. Effects of Biochar on Heavy Metal Speciation in Contaminated Soils
4. Conclusions
Acknowledgments
Author Contributions
Conflicts of Interest
References
- Liu, L.; Zhang, X.; Zhong, T. Pollution and health risk assessment of heavy metals in urban soil in China. Hum. Ecol. Risk Assess. 2016, 22, 424–434. [Google Scholar] [CrossRef]
- The Ministry of Environmental Protection, the Ministry of Land and Resources Report on the National Soil Contamination Survey. Available online: http://www.mep.gov.cn/gkml/hbb/qt/201404/t20140417_270670.htm (accessed on 27 August 2014).
- Monterroso, C.; Rodríguez, F.; Chaves, R.; Diez, J.; Becerra-Castro, C.; Kidd, P.S.; Macías, F. Heavy metal distribution in mine-soils and plants growing in a Pb/Zn-mining area in NW Spain. Appl. Geochem. 2014, 44, 3–11. [Google Scholar] [CrossRef]
- Zhao, F.J.; Ma, Y.; Zhu, Y.G.; Tang, Z.; McGrath, S.P. Soil contamination in China: Current status and mitigation strategies. Environ. Sci. Technol. 2015, 49, 750–759. [Google Scholar] [CrossRef] [PubMed]
- Alghanmi, S.I.; Al Sulami, A.F.; El-Zayat, T.A.; Alhogbi, B.G.; Salam, M.A. Acid leaching of heavy metals from contaminated soil collected from Jeddah, Saudi Arabia: Kinetic and thermodynamics studies. Int. Soil Water Conserv. Res. 2015, 3, 196–208. [Google Scholar] [CrossRef]
- Koptsik, G.N. Modern approaches to remediation of heavy metal polluted soils: A review. Eurasian Soil Sci. 2014, 47, 707–722. [Google Scholar] [CrossRef]
- Cui, H.; Ma, K.; Fan, Y.; Peng, X.; Mao, J.; Zhou, D.; Zhang, Z.; Zhou, J. Stability and heavy metal distribution of soil aggregates affected by application of apatite, lime, and charcoal. Environ. Sci. Pollut. Res. Int. 2016, 23, 10808–10817. [Google Scholar] [CrossRef] [PubMed]
- Puga, A.P.; Melo, L.C.A.; de Abreu, C.A.; Coscione, A.R.; Paz-Ferreiro, J. Leaching and fractionation of heavy metals in mining soils amended with biochar. Soil Tillage Res. 2016, 164, 25–33. [Google Scholar] [CrossRef]
- Wang, B.; Li, C.; Liang, H. Bioleaching of heavy metal from woody biochar using Acidithiobacillus ferrooxidans and activation for adsorption. Bioresour. Technol. 2013, 146, 803–806. [Google Scholar] [CrossRef] [PubMed]
- Chen, T.; Zhou, Z.; Xu, S.; Wang, H.; Lu, W. Adsorption behavior comparison of trivalent and hexavalent chromium on biochar derived from municipal sludge. Bioresour. Technol. 2015, 190, 388–394. [Google Scholar] [CrossRef] [PubMed]
- Li, H.; Ye, X.; Geng, Z.; Zhou, H.; Guo, X.; Zhang, Y.; Zhao, H.; Wang, G. The influence of biochar type on long-term stabilization for Cd and Cu in contaminated paddy soils. J. Hazard. Mater. 2016, 304, 40–48. [Google Scholar] [CrossRef] [PubMed]
- Yang, X.; Lu, K.; McGrouther, K.; Che, L.; Hu, G.; Wang, Q.; Liu, X.; Shen, L.; Huang, H.; Ye, Z.; Wang, H. Bioavailability of Cd and Zn in soils treated with biochars derived from tobacco stalk and dead pigs. J. Soils Sediments 2017, 17, 751–762. [Google Scholar] [CrossRef]
- Luo, L.; Xu, C.; Chen, Z.; Zhang, S. Properties of biomass-derived biochars: Combined effects of operating conditions and biomass types. Bioresour. Technol. 2015, 192, 83–89. [Google Scholar] [CrossRef] [PubMed]
- Keiluweit, M.; Nico, P.S.; Johnson, M.G.; Kleber, M. Dynamic molecular structure of plant biomass-derived black carbon(biochar). Environ. Sci. Technol. 2010, 44, 1247–1253. [Google Scholar] [CrossRef] [PubMed]
- Mukherjee, A.; Zimmerman, A.R.; Harris, W. Surface chemistry variations among a series of laboratory-produced biochars. Geoderma 2011, 163, 247–255. [Google Scholar] [CrossRef]
- Xu, X.; Cao, X.; Zhao, L. Comparison of rice husk- and dairy manure-derived biochars for simultaneously removing heavy metals from aqueous solutions: Role of mineral components in biochars. Chemosphere 2013, 92, 955–961. [Google Scholar] [CrossRef] [PubMed]
- Wang, Z.; Liu, G.; Zheng, H.; Li, F.; Ngo, H.H.; Guo, W.; Liu, C.; Chen, L.; Xing, B. Investigating the mechanisms of biochar's removal of lead from solution. Bioresour. Technol. 2015, 177, 308–317. [Google Scholar] [CrossRef] [PubMed]
- Fristak, V.; Pipiska, M.; Lesny, J.; Soja, G.; Friesl-Hanl, W.; Packová, A. Utilization of biochar sorbents for Cd2+, Zn2+, and Cu2+ ions separation from aqueous solutions: Comparative study. Environ. Monit. Assess. 2015, 187, 4093. [Google Scholar] [CrossRef] [PubMed]
- Shaaban, A.; Se, S.-M.; Mitan, N.M.M.; Dimin, M.F. Characterization of Biochar Derived from Rubber Wood Sawdust through Slow Pyrolysis on Surface Porosities and Functional Groups. Procedia Eng. 2013, 68, 365–371. [Google Scholar] [CrossRef]
- Fu, P.; Hu, S.; Xiang, J.; Sun, L.; Su, S.; Wang, J. Evaluation of the porous structure development of chars from pyrolysis of rice straw: Effects of pyrolysis temperature and heating rate. J. Anal. Appl. Pyrolysis 2012, 98, 177–183. [Google Scholar] [CrossRef]
- Yuan, H.; Lu, T.; Huang, H.; Zhao, D.; Kobayashi, N.; Chen, Y. Influence of pyrolysis temperature on physical and chemical properties of biochar made from sewage sludge. J. Anal. Appl. Pyrolysis 2015, 112, 284–289. [Google Scholar] [CrossRef]
- Kim, W.K.; Shim, T.; Kim, Y.S.; Hyun, S.; Ryu, C.; Park, Y.-K.; Jung, J. Characterization of cadmium removal from aqueous solution by biochar produced from a giant Miscanthus at different pyrolytic temperatures. Bioresour. Technol. 2013, 138, 266–270. [Google Scholar] [CrossRef] [PubMed]
- Chen, T.; Zhang, Y.; Wang, H.; Lu, W.; Zhou, Z.; Zhang, Y.; Ren, L. Influence of pyrolysis temperature on characteristics and heavy metal adsorptive performance of biochar derived from municipal sewage sludge. Bioresour. Technol. 2014, 164, 47–54. [Google Scholar] [CrossRef] [PubMed]
- Melo, L.C.A.; Coscione, A.R.; Abreu, C.A.; Puga, A.P.; Camargo, O.A. Influence of pyrolysis temperature on cadmium and zine sorption capacity of suhar cane straw derived biochar. Bioresources 2013, 8, 4992–5004. [Google Scholar] [CrossRef]
- Zhang, W.; Mao, S.; Chen, H.; Huang, L.; Qiu, R. Pb(II) and Cr(VI) sorption by biochars pyrolyzed from the municipal wastewater sludge under different heating conditions. Bioresour. Technol. 2013, 147, 545–552. [Google Scholar] [CrossRef] [PubMed]
- Fang, S.; Tsang, D.C.; Zhou, F.; Qiu, R. Stabilization of cationic and anionic metal species in contaminated soils using sludge-derived biochar. Chemosphere 2016, 149, 263–271. [Google Scholar] [CrossRef] [PubMed]
- Agrafioti, E.; Bouras, G.; Kalderis, D.; Diamadopoulos, E. Biochar production by sewage sludge pyrolysis. J. Anal. Appl. Pyrolysis 2013, 101, 72–78. [Google Scholar] [CrossRef]
- Ahmad, M.; Rajapaksha, A.U.; Lim, J.E.; Zhang, M.; Bolan, N.; Mohan, D.; Vithanage, M.; Lee, S.S.; Ok, Y.S. Biochar as a sorbent for contaminant management in soil and water: A review. Chemosphere 2014, 99, 19–33. [Google Scholar] [CrossRef] [PubMed]
- Xie, T.; Reddy, K.R.; Wang, C.; Yargicoglu, E.; Spokas, K. Characteristics and Applications of Biochar for Environmental Remediation: A Review. Crit. Rev. Environ. Sci. Technol. 2015, 45, 939–969. [Google Scholar] [CrossRef]
- Paz-Ferreiro, J.; Lu, H.; Fu, S.; Méndez, A.; Gascó, G. Use of phytoremediation and biochar to remediate heavy metal polluted soils: A review. Solid Earth 2014, 5, 65–75. [Google Scholar] [CrossRef]
- Lu, H.; Li, Z.; Fu, S.; Méndez, A.; Gascó, G.; Paz-Ferreiro, J. Effect of Biochar in Cadmium Availability and Soil Biological Activity in an Anthrosol Following Acid Rain Deposition and Aging. Water Air Soil Pollut. 2015, 226, 164. [Google Scholar] [CrossRef]
- Mendez, A.; Gomez, A.; Paz-Ferreiro, J.; Gascó, G. Effects of sewage sludge biochar on plant metal availability after application to a Mediterranean soil. Chemosphere 2012, 89, 1354–1359. [Google Scholar] [CrossRef] [PubMed]
- Zhao, A.; Zhao, X.M. Approximate-correlation study of soil types in Jiangxi province between China’s soil taxonomic classification system(1978) and the FAO-UNESCO revised legend of the Word Soil Map(1990). Acta Agric. Univ. Jiangxiensis 1998, 20, 521–527. [Google Scholar]
- Fang, N.G. Determination of Soil Organic Matter Content. Mod. Agric. Sci. Technol. 2016, 0, 207–208. (In Chinese) [Google Scholar]
- Lu, K.; Yang, X.; Shen, J.; Robinson, B.; Huang, H.; Liu, D.; Bolan, N.; Pei, J.; Wang, H. Effect of bamboo and rice straw biochars on the bioavailability of Cd, Cu, Pb and Zn to Sedum plumbizincicola. Agric. Ecosyst. Environ. 2014, 191, 124–132. [Google Scholar] [CrossRef]
- United States Environmental Protection Agency (EPA). Microwave assisted acid digestion of siliceous and organically based matrices. In EPA Method 3052, Test Methods for Evaluating Solid Waste, 3rd ed.; USEPA: Chicago, IL, USA, 1994. [Google Scholar]
- Gusiatin, Z.M.; Kurkowski, R.; Brym, S.; Wiśniewski, D. Properties of biochars from conventional and alternative feedstocks and their suitability for metal immobilization in industrial soil. Environ. Sci. Pollut. Res. Int. 2016, 23, 21249–21261. [Google Scholar] [CrossRef] [PubMed]
- American Society for Testing and Materials (ASTM). ASTM D2867-09: Standard Test Methods for Moisture in Activated Carbon; ASTM: West Conshohocken, PA, USA, 2014. [Google Scholar]
- American Society for Testing and Materials (ASTM). ASTM D2866-11: Standard Test Method for Total Ash Content of Activated Carbon; ASTM: West Conshohocken, PA, USA, 2011. [Google Scholar]
- Chen, T.; Zhou, Z.; Han, R.; Meng, R.; Wang, H.; Lu, W. Adsorption of cadmium by biochar derived from municipal sewage sludge: Impact factors and adsorption mechanism. Chemosphere 2015, 134, 286–293. [Google Scholar] [CrossRef] [PubMed]
- Sungur, A.; Soylak, M.; Yilmaz, E.; Yilmaz, S.; Ozcan, H. Characterization of Heavy Metal Fractions in Agricultural Soils by Sequential Extraction Procedure: The Relationship Between Soil Properties and Heavy Metal Fractions. Soil Sediment Contam. 2014, 24, 1–15. [Google Scholar] [CrossRef]
- Tessier, A.; Campbell, P.G.; Bisson, M. Sequential extraction procedure for the speciation of particulate trace metals. Anal. Chem. 1979, 51, 844–851. [Google Scholar] [CrossRef]
- Mengcheng, C.; Yingjun, H.; Li, X.; Feng, X. Concrete neutralization depth and compressive strength research under acid rain environment. Concrete 2015, 9–12. [Google Scholar] [CrossRef]
- Chen, X.; Chen, G.; Chen, L.; Chen, Y.; Lehmann, J.; McBride, M.B.; Hay, A.G. Adsorption of copper and zinc by biochars produced from pyrolysis of hardwood and corn straw in aqueous solution. Bioresour. Technol. 2011, 102, 8877–8884. [Google Scholar] [CrossRef] [PubMed]
- Peruchi, L.M.; Fostier, A.H.; Rath, S. Sorption of norfloxacin in soils: Analytical method, kinetics and Freundlich isotherms. Chemosphere 2015, 119, 310–317. [Google Scholar] [CrossRef] [PubMed]
- Jnr, M.H.; Spiff, A.I. Equilibrium Sorption Study of Al3+, Co2+, and Ag+ in Aqueous Solutions by Fluted Pumpkin (Telfairia Occidentalis HOOK f) Waste Biomass. Acta Chim. Slov. 2005, 52, 174–181. [Google Scholar]
- Houben, D.; Evrard, L.; Sonnet, P. Mobility, bioavailability and pH-dependent leaching of cadmium, zinc and lead in a contaminated soil amended with biochar. Chemosphere 2013, 92, 1450–1457. [Google Scholar] [CrossRef] [PubMed]
- Bogusz, A.; Oleszczuk, P.; Dobrowolski, R. Application of laboratory prepared and commercially available biochars to adsorption of cadmium, copper and zinc ions from water. Bioresour. Technol. 2015, 196, 540–549. [Google Scholar] [CrossRef] [PubMed]
- Han, Y.; Boateng, A.A.; Qi, P.X.; Lima, I.M.; Chang, J. Heavy metal and phenol adsorptive properties of biochars from pyrolyzed switchgrass and woody biomass in correlation with surface properties. J. Environ. Manag. 2013, 118, 196–204. [Google Scholar] [CrossRef] [PubMed]
- Tong, X.J.; Li, J.Y.; Yuan, J.H.; Xu, R.K. Adsorption of Cu(II) by biochars generated from three crop straws. Chem. Eng. J. 2011, 172, 828–834. [Google Scholar] [CrossRef]
- Lu, H.; Zhang, W.; Yang, Y.; Huang, X.; Wang, S.; Qiu, R. Relative distribution of Pb2+ sorption mechanisms by sludge-derived biochar. Water Res. 2012, 46, 854–862. [Google Scholar] [CrossRef] [PubMed]
- Chia, C.H.; Gong, B.; Joseph, S.D.; Marjo, C.E.; Munroe, P.; Rich, A.M. Imaging of mineral-enriched biochar by FTIR, Raman and SEM–EDX. Vib. Spectrosc. 2012, 62, 248–257. [Google Scholar] [CrossRef]
- Cui, X.; Hao, H.; Zhang, C.; He, Z.; Yang, X. Capacity and mechanisms of ammonium and cadmium sorption on different wetland-plant derived biochars. Sci. Total Environ. 2016, 539, 566–575. [Google Scholar] [CrossRef] [PubMed]
- Fan, S.; Tang, J.; Wang, Y.; Li, H.; Zhang, H.; Tang, J.; Wang, Z.; Li, X. Biochar prepared from co-pyrolysis of municipal sewage sludge and tea waste for the adsorption of methylene blue from aqueous solutions: Kinetics, isotherm, thermodynamic and mechanism. J. Mol. Liq. 2016, 220, 432–441. [Google Scholar] [CrossRef]
- Sun, Y.; Yang, S.; Chen, Y.; Ding, C.; Cheng, W.; Wang, X. Adsorption and desorption of U(VI) on functionalized graphene oxides: A combined experimental and theoretical study. Environ. Sci. Technol. 2015, 49, 4255–4262. [Google Scholar] [CrossRef] [PubMed]
- Silva, T.L.; Ronix, A.; Pezoti, O.; Souza, L.S.; Leandro, P.K.; Bedin, K.C.; Beltrame, K.K.; Cazetta, A.L.; Almeida, V.C. Mesoporous activated carbon from industrial laundry sewage sludge: Adsorption studies of reactive dye Remazol Brilliant Blue R. Chem. Eng. J. 2016, 303, 467–476. [Google Scholar] [CrossRef]
- Park, J.H.; Ok, Y.S.; Kim, S.H.; Cho, J.S.; Heo, J.S.; Delaune, R.D.; Seo, D.C. Competitive adsorption of heavy metals onto sesame straw biochar in aqueous solutions. Chemosphere 2016, 142, 77–83. [Google Scholar] [CrossRef] [PubMed]
- Xue, Y.; Gao, B.; Yao, Y.; Inyang, M.; Zhang, M.; Zimmerman, A.R.; Ro, K.S. Hydrogen peroxide modification enhances the ability of biochar (hydrochar) produced from hydrothermal carbonization of peanut hull to remove aqueous heavy metals: Batch and column tests. Chem. Eng. J. 2012, 200–202, 673–680. [Google Scholar] [CrossRef]
- Inyang, M.; Gao, B.; Yao, Y.; Xue, Y.; Zimmerman, A.R.; Pullammanappallil, P.; Cao, X. Removal of heavy metals from aqueous solution by biochars derived from anaerobically digested biomass. Bioresour. Technol. 2012, 110, 50–56. [Google Scholar] [CrossRef] [PubMed]
- Uchimiya, M.; Lima, I.M.; Klasson, K.T.; Chang, S.; Wartelle, L.H.; Rodgers, J.E. Immobilization of heavy metal ions (Cu(II), Cd(II), Ni(II), and Pb(II) by broiler litter-derived biochars in water and soil. J. Agric. Food Chem. 2010, 58, 5538–5544. [Google Scholar] [CrossRef] [PubMed]
- Zhang, J.E.; Yu, J.; Ouyang, Y.; Xu, H. Impact of Simulated Acid Rain on Trace Metals and Aluminum Leaching in Latosol from Guangdong Province, China. Soil Sediment Contam. 2014, 23, 725–735. [Google Scholar] [CrossRef]
- Caporale, A.G.; Pigna, M.; Sommella, A.; Conte, P. Effect of pruning-derived biochar on heavy metals removal and water dynamics. Biol. Fertil. Soils 2014, 50, 1211–1222. [Google Scholar] [CrossRef]
- Hou, Y.W.; Zeng, Y.F.; An, Z.L. Effects of the Application of Biochar on the Chemical Fraction of Heavy Metals in Polluted Red Soil. J. Inn. Mong. Univ. 2011, 42, 460–466. [Google Scholar]
- Qiu, Q.; Wu, J.; Liang, G.; Liu, J.; Chu, G.; Zhou, G.; Zhang, D. Effects of simulated acid rain on soil and soil solution chemistry in a monsoon evergreen broad-leaved forest in southern China. Environ. Monit. Assess. 2015, 187, 272. [Google Scholar] [CrossRef] [PubMed]
- Mosley, L.M.; Willson, P.; Hamilton, B.; Butler, G.; Seaman, R. The capacity of biochar made from common reeds to neutralise pH and remove dissolved metals in acid drainage. Environ. Sci. Pollut. Res. Int. 2015, 22, 15113–15122. [Google Scholar] [CrossRef] [PubMed]
- Yang, W.W.; Zhang, C.L.; Cao, M.Z.; Yan, J.N.; Qin, X.; Liang, D.G. Immobilization and Remediation of Cadmium Contaminated Soil with Four Kinds of Biochars. J. Soil Water Conserv. 2015, 29, 239–243. [Google Scholar]
- Jiang, J.; Xu, R.K.; Jiang, T.Y.; Li, Z. Immobilization of Cu(II), Pb(II) and Cd(II) by the addition of rice straw derived biochar to a simulated polluted Ultisol. J. Hazard. Mater. 2012, 229–230, 145–150. [Google Scholar] [CrossRef] [PubMed]
- Hu, Y.; Chen, G.; Ma, W.; Yan, M.; Han, L. Distribution and Contamination Hazards of Heavy Metals in Solid Residues from the Pyrolysis and Gasification of Wastewater Sewage Sludge. J. Residuals Sci. Technol. 2016, 13, 259–268. [Google Scholar] [CrossRef]
- Li, F.B.; Wang, X.G.; Zhou, S.G.; Liu, C.S. Reviews on abiotic transformation of organchlorines on the interface of iron oxides and water in red soil colloids. Ecol. Environ. 2006, 15, 1343–1351. [Google Scholar]
- Li, J.; Jia, C.; Lu, Y.; Tang, S.; Shim, H. Multivariate analysis of heavy metal leaching from urban soils following simulated acid rain. Microchem. J. 2015, 122, 89–95. [Google Scholar] [CrossRef]
- Zhao, K.; Liu, X.; Xu, J.; Selim, H.M. Heavy metal contaminations in a soil–rice system: Identification of spatial dependence in relation to soil properties of paddy fields. J. Hazard. Mater. 2010, 181, 778–787. [Google Scholar] [CrossRef] [PubMed]









| Property | Soil | SS | BC400 |
|---|---|---|---|
| Sand (%) | 12 | - | - |
| Silt (%) | 56 | - | - |
| Clay (%) | 32 | - | - |
| pH (H2O) | 7.89 | 6.63 | 6.42 |
| Total C (wt %) | - | 17.67 | 11.79 |
| Total H (wt %) | - | 3.201 | 0.79 |
| Total O (wt %) | - | 21.79 | 8.04 |
| Total N (wt %) | - | 3.17 | 1.04 |
| H/C | - | 2.17 | 0.8 |
| O/C | - | 0.92 | 0.51 |
| Ash (wt %) | - | 56.81 | 73.39 |
| Yield (%, w/w) | - | - | 57.63 |
| organic matter (g·kg−1) | 20.396 | 50.31 | 11.32 |
| Moisture content (%) | 3.75 | 23.92 | 0.14 |
| Cation exchange capacity (cmol·cm3·kg−1) | 2.83 | 34.9 | 21.1 |
| BET Surface area (m2·g−1) | - | 1.9687 | 17.3589 |
| Average pore size (nm) | - | 13.39247 | 8.85609 |
| Pore volume (cm·g−1) | - | 0.006591 | 0.038433 |
| Micropore volume (cm3·g−1) | - | 0.000354 | 0.001471 |
| Total K (mg·kg−1) | 525.4 | 67.75 | 75.12 |
| Total Cr (mg·kg−1) | 217 | 36.9 | 40.25 |
| Total Mn (mg·kg−1) | 301.4 | 254.4 | 264.3 |
| Total Cu (mg·kg−1) | 54.7 | 100.1 | 101.6 |
| Total Zn (mg·kg−1) | 53.9 | 12.6 | 21.35 |
| Ions | SO42− | NO3− | F− | Cl− | NH4+ | Ca2+ | Mg2+ | Na+ | K+ |
|---|---|---|---|---|---|---|---|---|---|
| Average value of three years | 0.206 | 0.024 | 0.014 | 0.025 | 0.05 | 0.148 | 0.019 | 0.014 | 0.01 |
| Component | CaSO4·2H2O | MgSO4·7H2O | NaF | KCl | (NH4)2SO4 | NH4NO3 | HCl |
|---|---|---|---|---|---|---|---|
| Concentration | 25.456 | 4.674 | 0.588 | 0.745 | 5.07 | 0.869 | 0.548 |
| Heavy Metal | LM | FM | ||||
|---|---|---|---|---|---|---|
| b | qm | R2 | kF | n | R2 | |
| Cr | 0.0324 ± 0.014 | 5.724 ± 1.141 | 0.9402 | 0.321 ± 0.126 | 1.627 ± 0.290 | 0.9172 |
| Mn | 0.041 ± 0.013 | 5.681 ± 0.723 | 0.9727 | 0.475 ± 0.084 | 1.861 ± 0.170 | 0.9797 |
| Cu | 4.498 ± 1.599 | 5.342 ± 0.279 | 0.9554 | 2.671 ± 0.294 | 4.288 ± 0.650 | 0.9327 |
| Zn | 0.179 ± 0.127 | 5.905 ± 0.981 | 0.8908 | 1.441 ± 0.284 | 2.727 ± 0.456 | 0.9380 |
© 2017 by the authors. Licensee MDPI, Basel, Switzerland. This article is an open access article distributed under the terms and conditions of the Creative Commons Attribution (CC BY) license (http://creativecommons.org/licenses/by/4.0/).
Share and Cite
Zhou, D.; Liu, D.; Gao, F.; Li, M.; Luo, X. Effects of Biochar-Derived Sewage Sludge on Heavy Metal Adsorption and Immobilization in Soils. Int. J. Environ. Res. Public Health 2017, 14, 681. https://doi.org/10.3390/ijerph14070681
Zhou D, Liu D, Gao F, Li M, Luo X. Effects of Biochar-Derived Sewage Sludge on Heavy Metal Adsorption and Immobilization in Soils. International Journal of Environmental Research and Public Health. 2017; 14(7):681. https://doi.org/10.3390/ijerph14070681
Chicago/Turabian StyleZhou, Dan, Dan Liu, Fengxiang Gao, Mengke Li, and Xianping Luo. 2017. "Effects of Biochar-Derived Sewage Sludge on Heavy Metal Adsorption and Immobilization in Soils" International Journal of Environmental Research and Public Health 14, no. 7: 681. https://doi.org/10.3390/ijerph14070681
APA StyleZhou, D., Liu, D., Gao, F., Li, M., & Luo, X. (2017). Effects of Biochar-Derived Sewage Sludge on Heavy Metal Adsorption and Immobilization in Soils. International Journal of Environmental Research and Public Health, 14(7), 681. https://doi.org/10.3390/ijerph14070681
