Ultrafine and Fine Particulate Matter Inside and Outside of Mechanically Ventilated Buildings
Abstract
:1. Introduction
2. Materials and Methods
2.1. Testing Sites
2.2. Experimental Setup
2.3. Air Exchange Rates
3. Results and Discussion
3.1. Air Exchange Rates
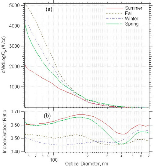
3.2. Concentrations and Indoor/Outdoor Ratio as Function of Particle Size
3.3. Seasonal, Weekly, and Daily Trends
3.4. Indoor-Outdoor Regression Analysis
3.5. Ammonium Nitrate Infiltration
4. Conclusions
Supplementary Materials
Acknowledgments
Author Contributions
Conflicts of Interest
References
- Colome, S.D.; Kado, N.Y.; Jaques, P.; Kleinman, M. Indoor Outdoor Air-Pollution Relations—Particulate Matter Less Than 10 μm in Aerodynamic Diameter (PM-10) in Homes of Asthmatics. Atmos. Environ. A Gen. Top. 1992, 26, 2173–2178. [Google Scholar] [CrossRef]
- Thornburg, J.; Ensor, D.S.; Rodes, C.E.; Lawless, P.A.; Sparks, L.E.; Mosley, R.B. Penetration of particles into buildings and associated physical factors. Part I: Model development and computer simulations. Aerosol Sci. Technol. 2001, 34, 284–296. [Google Scholar] [CrossRef]
- Jamriska, M.; Morawska, L.; Ensor, D.S. Control strategies for sub-micrometer particles indoors: Model study of air filtration and ventilation. Indoor Air 2003, 13, 96–105. [Google Scholar] [CrossRef] [PubMed]
- Turk, B.H.; Grimsrud, D.T.; Brown, J.T.; Geisling-Sobotka, K.L.; Harrison, J.; Prill, R.J. Commercial building ventilation rates and particle concentrations. ASHRAE Trans. 1989, 95, 422–433. [Google Scholar]
- Mehta, S.; Shin, H.; Burnett, R.; North, T.; Cohen, A.J. Ambient particulate air pollution and acute lower respiratory infections: A systematic review and implications for estimating the global burden of disease. Air Qual. Atmos. Health 2011, 6, 69–83. [Google Scholar] [CrossRef] [PubMed]
- Samet, J.M.; Dominici, F.; Curriero, F.C.; Coursac, I.; Zeger, S.L. Fine particulate air pollution and mortality in 20 US cities, 1987–1994. NEJM 2000, 343, 1742–1749. [Google Scholar] [CrossRef] [PubMed]
- Schwartz, J. Air-pollution and daily mortality—A review and meta analysis. Environ. Res. 1994, 64, 36–52. [Google Scholar] [CrossRef] [PubMed]
- Pope, C.A. Review: Epidemiological basis for particulate air pollution health standards. Aerosol Sci. Technol. 2000, 32, 4–14. [Google Scholar] [CrossRef]
- Zanobetti, A.; Schwartz, J. The effect of fine and coarse particulate air pollution on mortality: A national analysis. Environ. Health Perspect. 2009, 117, 898–903. [Google Scholar] [CrossRef] [PubMed]
- Wichmann, H.; Spix, C.; Tuch, T.; Wolke, G.; Peters, A.; Heinrich, J.; Kreyling, W.G.; Heyder, J. Daily mortality and fine and ultrafine particles in Erfurt, Germany part I: Role of particle number and particle mass. Res. Rep. Health Eff. Inst. 2000, 98, 5–86. [Google Scholar]
- Oberdörster, G. Pulmonary effects of inhaled ultrafine particles. Int. Arch. Occup. Environ. Health 2001, 74, 1–8. [Google Scholar] [CrossRef] [PubMed]
- Pekkanen, J.; Timonen, K.L.; Ruuskanen, J.; Reponen, A.; Mirme, A. Effects of ultrafine and fine particles in urban air on peak expiratory flow among children with asthmatic symptoms. Environ. Res. 1997, 74, 24–33. [Google Scholar] [CrossRef] [PubMed]
- Belleudi, V.; Faustini, A.; Stafoggia, M.; Cattani, G.; Marconi, A.; Perucci, C.A.; Forastiere, F. Impact of fine and ultrafine particles on emergency hospital admissions for cardiac and respiratory diseases. Epidemiology 2010, 21, 414–423. [Google Scholar] [CrossRef] [PubMed]
- Wu, X.M.; Apte, M.G.; Bennett, D.H. Indoor particle levels in small- and medium-sized commercial buildings in California. Environ. Sci. Technol. 2012, 46, 12355–12363. [Google Scholar] [CrossRef] [PubMed]
- Persily, A.K. Myths about building envelopes. ASHRAE J. 1999, 41, 39–48. [Google Scholar]
- Liu, D.-L.; Nazaroff, W.W. Particle penetration through building cracks. Aerosol Sci. Technol. 2003, 37, 565–573. [Google Scholar] [CrossRef]
- American Society of Heating, Refrigerating and Air-Conditioning Engineers, Inc. Report of Presidential Ad-Hoc Committee for Building Health and Safety under Extraordinary Incidents on Risk Management Guidance for Health, Safety and Environmental Security under Extraordinary Incidents; American Society of Heating, Refrigerating and Air-Conditioning Engineers, Inc.: Atlanta, GA, USA, 2003. [Google Scholar]
- American Society of Heating, Refrigerating and Air-Conditioning Engineers, Inc. ASHRAE Standard 52.2-2007, Method of Testing General Ventilation Air-Cleaning Devices for Removal Efficiency by Particle Size; American Society of Heating, Refrigerating and Air-Conditioning Engineers, Inc.: Atlanta, GA, USA, 2007. [Google Scholar]
- Lefcoe, N.M.; Inculet, I.I. Particulates in Domestic Premises. II. Ambient Levels and Indoor-Outdoor Relationships. Arch. Environ. Health 1975, 30, 565–570. [Google Scholar] [CrossRef] [PubMed]
- Thatcher, T.L.; Layton, D.W. Deposition, Resuspension, and Penetration of Particles within a Residence. Atmos. Environ. 1995, 29, 1487–1497. [Google Scholar] [CrossRef]
- Miller, S.L.; Facciola, N.; Toohey, D.; Zhai, J. Identification, Classification, and Correlation of Ultrafine Indoor Airborne Particulate Matter with Outdoor Values; Final Report, ASHRAE Research Project 1281-RP; American Society of Heating, Refrigerating and Air-Conditioning Engineers, Inc.: Atlanta, GA, USA, 2008. [Google Scholar]
- American Society of Heating, Refrigerating and Air-Conditioning Engineers, Inc. ASHRAE Standard 52.1-1992, Gravimetric and Dust-Spot Procedures for Testing Air-Cleaning Devices Used in General Ventilation for Removing Particle Matter; American Society of Heating, Refrigerating and Air-Conditioning Engineers, Inc.: Atlanta, GA, USA, 1992. [Google Scholar]
- Jayne, J.T.; Leard, D.C.; Zhang, X.F.; Davidovits, P.; Smith, K.A.; Kolb, C.E.; Worsnop, D.R. Development of an Aerosol Mass Spectrometer for Size and Composition Analysis of Submicron Particles. Aerosol Sci. Technol. 2000, 33, 49–70. [Google Scholar] [CrossRef]
- Johnson, A.M.; Waring, M.S.; DeCarlo, P.F. Real-time transformation of outdoor aerosol components upon transport indoors measured with aerosol mass spectrometry. Indoor Air 2017, 27, 230–240. [Google Scholar] [CrossRef] [PubMed]
- Hinds, W.C. Aerosol Technology: Properties, Behavior, and Measurement of Airborne Particles, 2nd ed.; John Wiley & Sons, Inc.: New York, NY, USA, 1999. [Google Scholar]
- Shaughnessy, R.J.; Sextro, R.G. What is an Effective Portable Air Cleaner? J. Occup. Environ. Hyg. 2006, 3, 169–181. [Google Scholar]
- Rogge, W.F.; Mazurek, M.A.; Hildemann, L.M.; Cass, G.R.; Simoneit, B.R. Quantification of urban organic aerosols at a molecular level: Identification, abundance and seasonal variation. Atmos. Environ. A Gen. Top. 1993, 27, 1309–1330. [Google Scholar] [CrossRef]
- Zhu, Y.; Hinds, W.C.; Shen, S.; Sioutas, C. Seasonal trends of concentration and size distribution of ultrafine particles near major highways in Los Angeles Special Issue of Aerosol Science and Technology on Findings from the Fine Particulate Matter Supersites program. Aerosol Sci. Technol. 2004, 38 (Suppl. S1), 5–13. [Google Scholar] [CrossRef]
- Dutton, S.J.; Williams, D.E.; Garcia, J.K.; Vedal, S.; Hannigan, M.P. PM2.5 characterization for time series studies: Organic molecular marker speciation methods and observations from daily measurements in Denver. Atmos. Environ. 2009, 43, 2018–2030. [Google Scholar] [CrossRef] [PubMed]
- Ott, W.; Wallace, L.; Mage, D. Predicting Particulate (PM10) Personal Exposure Distributions Using a Random Component Superposition Statistical Model. JAWMA 2000, 50, 1390–1406. [Google Scholar]
- Jimenez, J.L.; Jayne, J.T.; Shi, Q.; Kolb, C.E.; Worsnop, D.R.; Yourshaw, I.; Seinfeld, J.H.; Flagan, R.C.; Zhang, X.; Smith, K.A.; et al. Ambient aerosol sampling using the aerodyne aerosol mass spectrometer. JGR Atmos. 2003, 108, 8425. [Google Scholar] [CrossRef]
- Aiken, A.C.; Salcedo, D.; Cubison, M.J.; Huffman, J.A.; DeCarlo, P.F.; Ulbrich, I.M.; Docherty, K.S.; Sueper, D.; Kimmel, J.R.; Worsnop, D.R.; et al. Mexico City aerosol analysis during MILAGRO using high resolution aerosol mass spectrometry at the urban supersite (T0)—Part 1: Fine particle composition and organic source apportionment. Atmos. Chem. Phys. 2009, 9, 6633–6653. [Google Scholar] [CrossRef]
- Lunden, M.M.; Revzan, K.L.; Fischer, M.L.; Thatcher, T.L.; Littlejohn, D.; Hering, S.V.; Brown, N.J. The Transformation of Outdoor Ammonium Nitrate Aerosols in the Indoor Environment. Atmos. Environ. 2003, 37, 5633–5644. [Google Scholar] [CrossRef]









| Building Type | Location | Air-Handling Unit Type * | Supply Capacity (m3/h) | Filter Type | Rated Efficiency ** | MERV *** |
|---|---|---|---|---|---|---|
| School | Denver | Variable Air Volume | 54,400 (32,000 CFM) | 10 cm (4 inch) pleated polyester pads | 35% | NA |
| Office | Denver | Dual-duct | NA | 5 cm (2 inch) pleated, pinch frame | 30%–35% | 8 |
| School | Boulder | Constant Volume | 28,000 (16,450 CFM) | 5 cm (2 inch) pleated, high capacity | 25%–30% | 7 |
| University | Boulder | Variable Air Volume | 82,000 (48,300 CFM) | 5 cm (2 inch) pleated, high capacity | 30%–35% | 8 |
| Building Type | Summer 2005 | Fall 2005 | Winter 2006 | Spring 2006 |
|---|---|---|---|---|
| School Denver | 11–17 August | 26 October–4 November | 19–25 January | 12–19 April |
| 17–22 August * | ||||
| Office Denver | 22–29 August | 30 November–5 December | 25–30 January | 19–25 April |
| School Boulder | 29 August–6 September ** | 21–30 November | 30 January–6 February | 25 April–2 May |
| University Boulder | 27 July–2 August | 19–26 October | 12–18 January | 5–12 April |
| 3–10 August * | ||||
| Denver Temperature (°C) | 21.6 (5.4) | 6.9 (8.2) | 1.1 (5.6) | 13.2 (8.0) |
| Boulder Temperature (°C) | 22.1 (5.6) | 8.9 (5.9) | 4.4 (4.3) | 12.6 (6.1) |
| Sample Location | Air Exchange Rate (1/h) | Air Supply Airflow Rate (actual m3/h) | Interior Volume (m3) |
|---|---|---|---|
| School Denver | 1.3–3.4 | 878 | 260 |
| Office Denver | 3.3–5.5 | 313 | 57 |
| School Boulder (teacher’s lounge) | 16–28 | 2450 | 88 |
| School Boulder (music room during the day) | 2.9–8.8 | 1800 | 204 |
| School Boulder (music room at night) | 0.114 | - | 204 |
| University Boulder | 4.0 | 34,700 | 8660 |
| Y-Intercept (#/cm3) | Weekday | Weekend | ||
|---|---|---|---|---|
| Day | Night | Day | Night | |
| Ultrafine | 50 (5) | 101 (8) | 43 (11) | 143 (7) |
| Fine | 48 (2) | 62 (2) | 46 (5) | 90 (3) |
| Y-Intercept (#/cm3) | University | School Denver | Office | School Boulder |
|---|---|---|---|---|
| Weekday Daytime | 28 (5) | 81 (8) | 20 (9) | 79 (5) |
| Weekend Nighttime | 40 (11) | 70 (10) | 240 (10) | 190 (10) |
| Linear Least-Square Fit Slopes | Summer | Fall | Winter | Spring |
|---|---|---|---|---|
| Ultrafine | 0.55 | 0.50 | 0.41 | 0.53 |
| Fine | 0.58 | 0.42 | 0.31 | 0.41 |
| Fine, School Denver | 0.78 | 0.52 | 0.30 | 0.64 |
| Fine, Office | 0.45 | 0.46 | 0.32 | 0.48 |
| Fine, University | 0.59 | 0.18 | 0.38 | 0.38 |
| Fine, School Boulder | N/A | 0.28 | 0.24 | 0.32 |
| Linear Least-Square Fit Slopes | HVAC System on | HVAC System off |
|---|---|---|
| Ultrafine | 0.52 | 0.40 |
| Fine | 0.38 | 0.26 |
© 2017 by the authors. Licensee MDPI, Basel, Switzerland. This article is an open access article distributed under the terms and conditions of the Creative Commons Attribution (CC BY) license ( http://creativecommons.org/licenses/by/4.0/).
Share and Cite
Miller, S.L.; Facciola, N.A.; Toohey, D.; Zhai, J. Ultrafine and Fine Particulate Matter Inside and Outside of Mechanically Ventilated Buildings. Int. J. Environ. Res. Public Health 2017, 14, 128. https://doi.org/10.3390/ijerph14020128
Miller SL, Facciola NA, Toohey D, Zhai J. Ultrafine and Fine Particulate Matter Inside and Outside of Mechanically Ventilated Buildings. International Journal of Environmental Research and Public Health. 2017; 14(2):128. https://doi.org/10.3390/ijerph14020128
Chicago/Turabian StyleMiller, Shelly L., Nick A. Facciola, Darin Toohey, and John Zhai. 2017. "Ultrafine and Fine Particulate Matter Inside and Outside of Mechanically Ventilated Buildings" International Journal of Environmental Research and Public Health 14, no. 2: 128. https://doi.org/10.3390/ijerph14020128
APA StyleMiller, S. L., Facciola, N. A., Toohey, D., & Zhai, J. (2017). Ultrafine and Fine Particulate Matter Inside and Outside of Mechanically Ventilated Buildings. International Journal of Environmental Research and Public Health, 14(2), 128. https://doi.org/10.3390/ijerph14020128

