Lead Emissions and Population Vulnerability in the Detroit (Michigan, USA) Metropolitan Area, 2006–2013: A Spatial and Temporal Analysis
Abstract
1. Introduction
2. Materials and Methods
2.1. Study Area and Population Vulnerability
2.2. Lead Emissions
2.3. Lead Emission Modeling
2.4. Childhood IQ Impacts
2.5. Segregation and Lead Concentrations
3. Results
3.1. Study Area and Population Vulnerability
3.2. Lead emissions-Counties of Changing and Highest Concentrations
3.3. Lead Emission Modeling
3.4. Childhood IQ Impacts
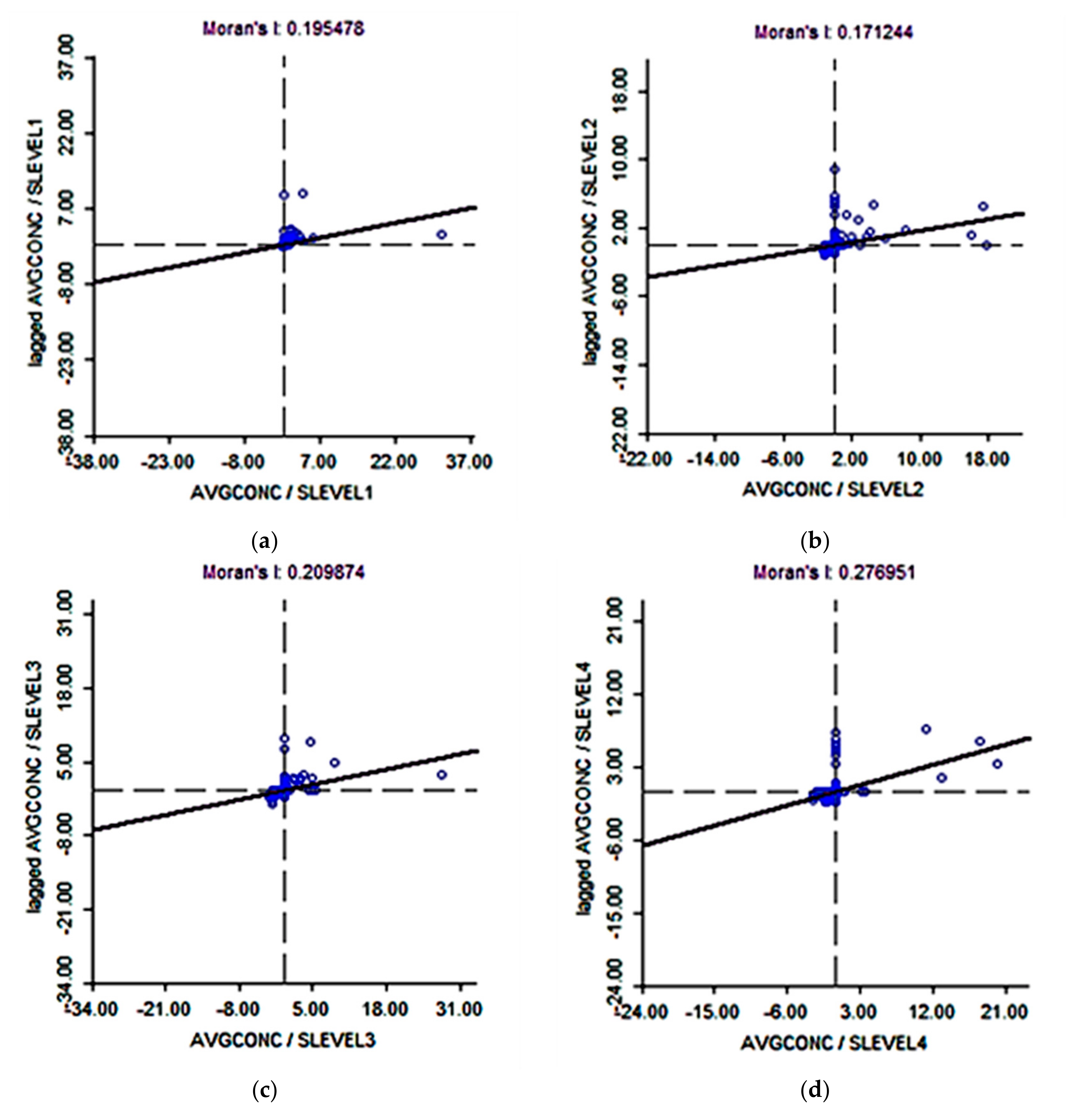
3.5. Segregation and Lead Concentrations
4. Discussion
Limitations
5. Conclusions
Acknowledgments
Authors Contributions
Conflicts of Interest
References
- Walker, G. Environmental Justice: Concepts, Evidence and Politics; Taylor and Francis Group: New York, NY, USA, 2012; pp. 1–119. [Google Scholar]
- Faser, D. The political economy of environmental justice. In The Routledge Handbook of Environmental Justice; Holifield, J., Chakraborty, J., Walker, G., Eds.; Routledge: New York, NY, USA, 2017; pp. 61–73. [Google Scholar]
- Mohai, P.; Bryant, B. Environmental racism: Reviewing the evidence. In Race and the Incidence of Environmental Hazards: A Time for Discourse; Bryant, B., Mohai, P., Eds.; Westview Press: Boulder, CO, USA, 1992; p. 163. [Google Scholar]
- Bullard, R.D.; Johnson, G.S.; Smith, S.L.; King, D.W. Living on the frontline of environmental assault: Lessons from the United States most vulnerable communities. Rev. Educ. Cienc. E Mater. 2014, 3, 33–61. [Google Scholar]
- Mohai, P.; Bryant, B. Is there a “race” effect on concern for environmental quality? Public Opin. Q. 1998, 62, 476–505. [Google Scholar] [CrossRef]
- Keeler, G.J.; Dvonch, T.; Yip, F.Y.; Parker, E.A.; Isreal, B.A.; Marsik, F.J.; Morishita, M.; Barres, J.A.; Robins, T.G.; Brakefield-Caldwell, W.; et al. Assessment of personal and community-level exposures to particulate matter among children with asthma in Detroit, Michigan, as part of Community Action Against Asthma (CAAA). Environ. Health Perspect. 2002, 110, 173–181. [Google Scholar] [CrossRef] [PubMed]
- Wu, Y.C.; Batterman, S. Proximity of schools in Detroit, Michigan to automobile and truck traffic. J. Expo. Sci. Environ. Epidemiol. 2006, 16, 457–470. [Google Scholar] [CrossRef] [PubMed]
- Downey, L. Environmental racial inequality in Detroit. Soc. Forces 2006, 85, 771–796. [Google Scholar] [CrossRef] [PubMed]
- Lee, S.; Mohai, P. Racial and socioeconomic assessments of neighborhoods adjacent to small-scale brownfield sites in the Detroit region. Environ. Pract. 2011, 13, 340–353. [Google Scholar] [CrossRef]
- Smith, C.L. Economic deprivation and environmental inequality in postindustrial Detroit. Organ. Environ. 2007, 20, 25–43. [Google Scholar] [CrossRef]
- Moody, H.; Darden, J.T.; Pigozzi, B.W. The racial gap in childhood blood lead levels related to socioeconomic position of residence in Metropolitan Detroit. Sociol. Race Ethn. 2015, 2, 1–19. [Google Scholar] [CrossRef]
- Moody, H.; Darden, J.T.; Pigozzi, B.W. The relationship of neighborhood socioeconomic differences and racial residential segregation to childhood blood lead levels in Metropolitan Detroit. J. Urban Health 2016, 93, 820–839. [Google Scholar] [CrossRef] [PubMed]
- U.S. Agency for Toxic Substances and Disease Registry (U.S. ATSDR). Tox Guide for Lead Pb CAS#7439-92-1. Public Health Service Agency for Toxic Substances and Disease Registry; U.S. Department of Health and Human Services: Atlanta, GA, USA, 2007; pp. 1–528.
- Tian, H.; Cheng, K.; Wang, Y.; Zhao, D.; Lu, L.; Jia, W.; Hao, J. Temporal and spatial variation characteristics of atmospheric emissions of Cd, Cr, and Pb from coal in China. Atmos. Environ. 2012, 50, 157–163. [Google Scholar] [CrossRef]
- Cao, S.; Duan, X.; Zhao, X.; Wang, B.; Ma, J.; Fan, D.; Sun, C.; He, B.; Wei, F.; Jiang, G. Isotopic ratio based source apportionment of children’s blood lead around coking plant area. Environ. Int. 2014, 73, 158–166. [Google Scholar] [CrossRef] [PubMed]
- Pacyna, J.M.; Pacyna, E.G.; Aas, W. Changes of emissions and atmospheric deposition of mercury, lead, and cadmium. Atmos. Environ. 2009, 43, 117–127. [Google Scholar] [CrossRef]
- United Nations Economic Commission for Europe (UNECE). Executive Body for the Convention on Long-Range Transboundary Air Pollution; Guidance Document on Best Available Techniques for Controlling Emissions of Heavy Metals and Their Compounds from the Source Categories Listed in Annex II to the Protocol on Heavy Metals; UNECE: Geneva, Switzerland, 2013; pp. 1–33. [Google Scholar]
- O’Rourke, D.; Connolly, S. Just oil? The distribution of environmental and social impacts of oil production and consumption. Ann. Rev. Environ. Resour. 2003, 28, 587–617. [Google Scholar] [CrossRef]
- Taylor, M.P.; Davies, P.J.; Kristensen, L.J.; Csavina, J.L. Licensed to pollute but not to poison: The ineffectiveness of regulatory authorities at protecting public health from atmospheric arsenic, lead and other contaminants resulting from mining and smelting operations. Aeolian Res. 2014, 14, 35–52. [Google Scholar] [CrossRef]
- Sullivan, M. Reducing lead in air and preventing childhood exposure near lead smelters learning from the U.S. experience. New Solut. 2015, 25, 78–101. [Google Scholar] [CrossRef] [PubMed]
- Mohai, P.; Pellow, D.; Roberts, J.T. Environmental justice. Ann. Rev. Environ. Resour. 2009, 34, 405–430. [Google Scholar] [CrossRef]
- Kuehn, R.R. Remedying the unequal enforcement of environmental laws. J. Civ. Rights Econ. Dev. 2012, 9, 25. [Google Scholar]
- Abel, T.D.; Salazar, D.J.; Robert, P. States of environmental justice: Redistributive politics across the United States, 1993–2004. Rev. Policy Res. 2015, 32, 200–225. [Google Scholar] [CrossRef]
- Laidlaw, M.A.S.; Zahran, S.; Mielke, H.W.; Taylor, M.P.; Filippelli, G.M. Re-suspension of lead contaminated urban soil as dominant source of atmospheric lead in Birmingham, Chicago, Detroit and Pittsburgh, USA. Atmos. Environ. 2011, 49, 302–310. [Google Scholar] [CrossRef]
- Zahran, S.; Laidlaw, M.A.S.; McElmurry, S.P.; Filippelli, G.M.; Taylor, M. Linking source and effect: Resuspended soil lead, air lead, and children’s blood lead levels in Detroit, Michigan. Environ. Sci. Technol. 2013, 47, 2839–2845. [Google Scholar] [CrossRef] [PubMed]
- Laidlaw, M.A.S.; Filippelli, G.M. Resuspension of urban soils as a persistent source of lead poisoning in children: A review and new directions. Appl. Geochem. 2008, 23, 2021–2039. [Google Scholar] [CrossRef]
- Laidlaw, M.A.S.; Zahran, S.; Pingitore, N.; Clague, J.; Devlin, G.; Taylor, M.P. Identification of lead sources in residential environments: Sydney Australia. Environ. Pollut. 2014, 184, 238–246. [Google Scholar] [CrossRef] [PubMed]
- Williams, R. New Permits Loosen Standards for Two of State’s Biggest Polluters. Available online: http://michiganradio.org/post/new-permits-loosen-standards-two-states-biggest-polluters (accessed on 15 May 2014).
- Severstal Dearborn, LLC Permit to Install Application 182-05C. Permit to Install Application 182-05C for Updates to PTI 182-05B Pursuant to the February 1, 2013 Extension Agreement; Department of Environmental Quality Air Quality Division: Lansing, MI, USA, 2013. [Google Scholar]
- Matheny, K. Did State Agency Lobby to Bend Rules on Pollutants at Dearborn Steel Mill; Detroit Free Press: Detroit, MI, USA, 2014. [Google Scholar]
- Dearborn Public Schools. Dearborn Public Schools Official Website. Available online: http://dearbornschools.org (accessed on 13 February 2016).
- U.S. Department of Justice, Office of Public Affairs. AK Steel to Pay $1.3 Million Civil Penalty as Part of Settlement with United States and Michigan for Air Violations at Dearborn Steel Plant. Available online: http://www.justice.gov/enrd/Consent_Decrees.html (accessed on 20 May 2015).
- Matheny, K. Severstal Steel Plant Gets Approval for Revised Emissions Permit; Detroit Free Press: Detroit, MI, USA, 2014. [Google Scholar]
- Askari, E.; Lam, T. Repair Money Squandered While Children Face Danger; Detroit Free Press: Detroit, MI, USA, 2003. [Google Scholar]
- Lam, T.; Windsor, S. Families in Danger from Smelter Fallout and High Lead Levels Found in Sample; Detroit Free Press: Detroit, MI, USA, 2003. [Google Scholar]
- Department of Health and Human Services Public Health Services, Agency for Toxic Substances and Disease Registry, Division of Health Assessment and Consultation. Heath Consultation. Available online: http://www.atsdr.cdc.gov/HAC/pha/MasterMetals030205-MI/MasterMetals030205-MI.pdf (accessed on 13 February 2014).
- Wendland-Bowyer, W. Hazards Lurking in Soil as Children Play; Detroit Free Press: Detroit, MI, USA, 2003. [Google Scholar]
- Lanphear, B.P.; Dietrich, K.; Auinger, P.; Cox, C. Cognitive deficits associated with blood lead concentrations <10 microg/dL in U.S. children and adolescents. Public Health Rep. 2000, 115, 521–529. [Google Scholar] [CrossRef] [PubMed]
- Schnaas, L.; Rothenberg, S.J.; Perrom, E.; Martinez, S.; Hernandez, C.; Hernandez, R.M. Temporal pattern in the effect of postnatal blood lead level on intellectual development of young children. Neurotoxicol. Teratol. 2000, 22, 805–810. [Google Scholar] [CrossRef]
- Lidsky, T.I.; Schneider, J.S. Lead neurotoxicity in children: Basic mechanisms and clinical correlates. Brain 2003, 126, 5–19. [Google Scholar] [CrossRef] [PubMed]
- Canfield, R.L.; Henderson, C.R.; Cory-Slechta, D.A.; Cox, C.; Jusko, T.A.; Lanphear, B.P. Intellectual impairment in children with blood lead concentrations below 10 μg per deciliter. N. Engl. J. Med. 2003, 348, 1517–1526. [Google Scholar] [CrossRef] [PubMed]
- Chiodo, L.M.; Jacobson, S.W.; Jacobson, J.L. Neurodevelopmental effects of postnatal lead exposure at very low levels. Neurotoxicol. Teratol. 2004, 26, 359–371. [Google Scholar] [CrossRef] [PubMed]
- Téllez-Rojo, M.M.; Bellinger, D.C.; Arroyo-Quiroz, C.; Lamadrid-Figueroa, H.; Mercado-Garcia, A.; Schnaas-Arrieta, L.; Wright, R.O.; Hernández-Avila, M.; Hu, H. Longitudinal associations between blood lead concentrations lower than 10 μg/dL and neurobehavioral development in environmentally exposed children in Mexico City. Pediatrics 2006, 118, 323–330. [Google Scholar] [CrossRef] [PubMed]
- Surkan, P.J.; Zhang, A.; Trachtenberg, F.; Daniel, D.B.; McKinlay, S.; Bellinger, D.C. Neuropsychological function in children with blood lead levels <10 μg/dL. NeuroToxicology 2007, 28, 1170–1177. [Google Scholar] [CrossRef] [PubMed]
- Miranda, M.L.; Kim, D.; Galeano, M.A.O.; Paul, C.J.; Hull, A.P.; Morgan, S.P. The relationship between early childhood blood lead levels and performance on end-of-grade tests. Environ. Health Perspect. 2007, 115, 1242–1247. [Google Scholar] [CrossRef] [PubMed]
- Grandjean, P.; Landrigan, P.J. Neurobehavioural effects of developmental toxicity. Lancet Neurol. 2014, 13, 330–338. [Google Scholar] [CrossRef]
- U.S. Census Bureau. American Community Survey 2009–2013. In 5-Year Estimate Census of Population and Housing (SF3): Michigan; Data User Services: Washington, DC, USA, 2016. [Google Scholar]
- U.S. Census Bureau. Quick Facts. Available online: http://www.census.gov/quickfacts/table/PST045215/2622000 (accessed on 20 May 2016).
- Logan, J.R.; Stults, F. The Persistence of Segregation in the Metropolis: New Findings from the 2010 Census. Available online: http://www.s4.brown.edu/us2010 (accessed on 4 March 2016).
- Massey, D.S.; Brodmann, S. Spheres of Influence: The Social Ecology of Racial and Class Inequality; Russell Sage Foundation: New York, NY, USA, 2014; pp. 1–351. [Google Scholar]
- Massey, D.S.; Tannen, J. A research note on trends in Black hypersegregation. Demography 2015, 52, 1025–1034. [Google Scholar] [CrossRef] [PubMed]
- Leckie, G.; Pillinger, R.; Jones, K.; Goldstein, H. Multilevel modeling of social segregation. J. Educ. Behav. Stat. 2012, 37, 3–30. [Google Scholar] [CrossRef]
- Pillinger, R. Modelling Ethnic Segregation Using MLwiN; Learning materials Centre for Multilevel Modelling: Bristol, UK, 2017; pp. 1–43. [Google Scholar]
- Trammer, M.; Steel, D.G. Ignoring a level in a multilevel model: Evidence from UK census data. Environ. Plan. A 2013, 33, 941–948. [Google Scholar] [CrossRef]
- Massey, D.; Denton, N.A. The dimensions of residential segregation. Soc. Forces 1998, 67, 281–315. [Google Scholar] [CrossRef]
- U.S. Census Bureau 2010. Summary File 1. American FactFinder. Available online: https://www.factfindercensus.gov/faces/nav/jsf/pages/index.xhtml (accessed on 20 May 2016).
- Centre for Multilevel Modelling University of Bristol. MLwiN Version 2.23. Available online: http://www.bristol.ac.uk/cmm/software/mlwin/ (accessed on 24 May 2016).
- Environmental Systems Research Institute (ESRI). ArcGIS Desktop: Release 10.1; ESRI: Redlands, CA, USA, 2015. [Google Scholar]
- Michigan Department of Environmental Quality (MDEQ). 2014 Michigan Air Emissions Reporting System (MAERS) Introduction; Department of Environmental Quality: Lansing, MI, USA, 2014. [Google Scholar]
- Michigan Department of Environmental Quality (MDEQ). Calculating Air Emissions for the Michigan Air Emissions Reporting System (MAERS); Clean Air Assistance Program Environmental Science and Services Division; Michigan Department of Environmental Quality: Lansing, MI, USA, 2004. [Google Scholar]
- Cimorelli, A.J.; Perry, S.G.; Venkatram, A.; Weil, J.C.; Paine, R.J.; Wilson, R.B.; Lee, R.F.; Peters, W.D.; Brode, R.W.; Paumier, J.O.; et al. AERMOD: Description of Model Formulation. Available online: https://www3.epa.gov/scram001/7thconf/aermod/aermod_mfd.pdf (accessed on 19 May 2015).
- U.S. Environmental Protection Agency (U.S. EPA). Federal Register. Revision to the Guideline on Air Quality Models: Enhancement to the AERMOD Dispersion Modeling System and Incorporation of Approaches to Address Ozone and Fine Particulate Matter; Proposed Rule, Office of Air Quality Planning and Standards: Research Triangle Park, NC, USA, 2015.
- U.S. Environmental Protection Agency (U.S. EPA). AERMOD Implementation Guide; Office of Air Quality Planning and Standards, Air Quality Assessment Division, Research Triangle Park: Durham, NC, USA, 2015.
- U.S. Environmental Protection Agency (U.S. EPA). AERMOD Implementation Guide Model Supporting Documents: AERMOD Deposition Algorithms— Science Document (Revised Draft) 2004; Office of Air Quality Planning and Standards, Air Quality Assessment Division, Research Triangle Park: Durham, NC, USA, 2004.
- U.S. Environmental Protection Agency (U.S. EPA). Lead: Human Exposure and Health Risk Assessments for Selected Case Studies; Volume I. Human Exposure and Health Risk Assessments—Full-Scale and Volume II. Appendices. EPA-452/R-07-014a and EPA-452/R-07-014b; Office of Air Quality Planning and Standards, Research Triangle Park: Durham, NC, USA, 2007.
- U.S. Environmental Protection Agency (U.S. EPA). Air-Related IQ Loss Evidence-Based Framework and Estimates from Quantitative Risk Assessment. Lead NAAQS Review Docket (OAR-2006-0735); Office of Air Quality Planning and Standards, Research Triangle Park: Durham, NC, USA, 2006.
- Chari, R.; Burke, T.A.; White, R.H.; Fox, M.A. Integrating susceptibility into environmental policy: An analysis of the national ambient air quality standard for lead. Int. J. Environ. Res. Public Health 2012, 9, 1077–1096. [Google Scholar] [CrossRef] [PubMed]
- Jacobs, A.J. The auto industry and the manufacturing sector. In Michigan Geography and Geology; Schaetzl, R., Darden, J., Brandt, D.S., Eds.; Pearson Custom Publishing: New York, NY, USA, 2009; pp. 474–486. [Google Scholar]
- Darden, J.T. Race matters in Metropolitan Detroit. In Michigan Geography and Geology; Schaetzl, R., Darden, J., Brandt, D.S., Eds.; Pearson Custom Publishing: New York, NY, USA, 2009; pp. 508–520. [Google Scholar]
- Pizzol, M.; Thomsen, M.; Frohn, L.; Anderson, M. External costs of atmospheric Pb emissions: Valuation of neurotoxic impacts due to inhalation. Environ. Health 2010, 9, 1–9. [Google Scholar] [CrossRef] [PubMed]
- Grady, S.; Darden, J. Spatial methods to study local racial residential segregation and infant health in Detroit, Michigan. Ann. Assoc. Am. Geogr. 2012, 102, 922–931. [Google Scholar] [CrossRef]
- Grady, S. Sociospatial epidemiology: Segregation. In Handbook of Spatial Epidemiology; Lawson, A.B., Banerjee, S., Haining, R.P., Ugarte, M.D., Eds.; CRC Press: New York, NY, USA, 2016; pp. 609–626. [Google Scholar]










| Year | Emission Unit Stack Identifier | Process Identifier | USEPA Source Classification Code | Reported Annual Emissions Lead Pounds (kg) 2 | Release Point Stack Name ID | Release Point Orientation | Stack Height (ft) | Stack Diameter (ft) | Exit Gas Temp. (°F) | Exit Gas Flow Rate (ft3/min) | Exit Gas Velocity (ft/s) |
|---|---|---|---|---|---|---|---|---|---|---|---|
| 2006 | RG0096 | PR0001 | 10200602 | 0.05 (0.02) | SV0002 | Vertical | 250 | 10 | 380 | 5421.33 | 69 |
| RG0096 | PR0002 | 10200204 | 804.27 (364.81) | FUG001 | Fugitive | 32.81 | |||||
| 2007 | RG0096 | PR0001 | 10200602 | 0.05 (0.02) | SV0002 | Vertical | 250 | 10 | 380 | 5421.33 | 69 |
| RG0096 | PR0002 | 10200204 | 768.09 (348.40) | FUG001 | Fugitive | 32.81 | |||||
| 2008 | RG0096 | PR0001 | 10200602 | 0.01 (0.004) | SV0002 | Vertical | 250 | 10 | 380 | 5421.33 | 69 |
| RG0096 | PR0002 | 10200204 | 726.12 (329.36) | FUG001 | Fugitive | 32.81 | |||||
| 2009 | RG0096 | RGPOWERHOUSE | 10200204 | 436.51 (198.00) | SV043 | Vertical | 250 | 120 | 380 | 325,280.00 | 69.03 |
| RG0096 | RGPOWERHOUSE | 10200602 | 0.04 (0.02) | Non Listed | Non Listed | NA | NA | NA | NA | NA | |
| 2010 | RG0096 | RGPOWERHOUSE | 10200204 | 442.71 (200.81) | SV043 | Vertical | 250 | 120 | 380 | 325,280.00 | 69.03 |
| RG0096 | RGPOWERHOUSE | 10200602 | 0.04 (0.02) | Non Listed | Non Listed | NA | NA | NA | NA | NA | |
| 2011 | RG0096 | RGPOWERHOUSE | 10200204 | 435.37 (197.48) | SV043 | Vertical | 250 | 120 | 380 | 325,280.00 | 69.03 |
| RG0096 | RGPOWERHOUSE | 10200602 | 0.04 (0.02) | Non Listed | Non Listed | NA | NA | NA | NA | NA | |
| RG0126 | RGTEMPBOILERS | 10200602 | 0.002 (0.001) | ||||||||
| 2012 | RG0096 | RGPOWERHOUSE | 10200204 | 356.74 (161.81) | SV043 | Vertical | 250 | 120 | 380 | 325,280.00 | 69.03 |
| RG0096 | RGPOWERHOUSE | 10200602 | 0.04 (0.02) | Non Listed | Non Listed | NA | NA | NA | NA | NA | |
| 2013 | RG0096 | RGPOWERHOUSE | 10200204 | 439.40 (199.31) | SV043 | Vertical | 250 | 120 | 380 | 325,280.00 | 69.03 |
| RG0096 | RGPOWERHOUSE | 10200602 | 0.01 (0.004) | Non Listed | Non Listed | NA | NA | NA | NA | NA |
| Potential Level for Standard (g/m3) | Air-Related Population Mean IQ Loss (Points) for Children Exposed at Level of the Standard | |||||
|---|---|---|---|---|---|---|
| Air-to-Blood Ratio of 1:3 | Air-to-Blood Ratio of 1:5 | Air-to-Blood Ratio of 1 | ||||
| 1st Group of C-R Functions (From Lower Blood Pb Analyses) | 2nd Group of Functions (from Higher Blood Pb Analyses) | 1st Group of C-R Functions (From Lower Blood Pb Analyses) | 2nd Group of C-R Functions (From Higher Blood Pb Analyses) | 1st Group of Functions (From Lower Blood Pb Analyses) | 2nd Group of Functions (From Higher Blood Pb Analyses) | |
| 0.50 | 2.9–3.1 | 1.4 | 4.1–4.3 | 2.3 | 5.0–5.3 | 3.2 |
| 0.40 | 2.4–2.6 | 1.1 | 3.5–3.8 | 1.8 | 4.4–4.6 | 2.5 |
| 0.30 | 1.5–2.6 | 0.8 | 2.9–3.1 | 1.4 | 3.6–3.9 | 1.9 |
| 0.20 | 1.0–1 8 | 0.5 | 1.7–2.9 | 0.9 | 2.7–3.0 | 1.3 |
| 0.10 | 0.5–09 | 0.3 | 0.9–1.5 | 0.5 | 1.2–2.1 | 0.6 |
| 0.05 | 0.3–0.4 | 0.14 | 0.4–0.7 | 0.2 | 0.6–1.0 | 0.3 |
| 0.02 | 0.1–0.2 | 0.05 | 0.2–0.3 | 0.09 | 0.2–0.4 | 0.1 |
| Facility | Lead Emissions (kg) 1 | County |
|---|---|---|
| General Motors Hamtramck, Hamtramck | 2000.11 | Wayne |
| Severstal Dearborn, L.L.C., Dearborn (AK Steel) | 889.60 | Wayne |
| Detroit Edison Co., Pontiac North, L.L.C., Pontiac | 741.95 | Oakland |
| Detroit Edison Co., Trenton Channel, Trenton | 639.76 | Wayne |
| Pontiac Wastewater Treatment Plant, Pontiac | 509.68 | Oakland |
| General Motors Corp., Orion Assembly, Lake Orion | 364.47 | Oakland |
| St. Mary’s Cement, Detroit | 239.40 | Wayne |
| Tony Angelo Cement Construction Co., Novi | 217.69 | Oakland |
| U.S. Steel Great Lakes Works, Ecorse | 215.43 | Wayne |
| Greater Detroit Resource Recovery, Detroit | 188.91 | Wayne |
| EES Coke Battery, L.L.C., River Rouge | 179.89 | Wayne |
| Detroit Edison River Rouge, River Rouge | 132.46 | Wayne |
| Detroit Wastewater Treatment Plant, Detroit | 103.36 | Wayne |
| Cadillac Asphalt Shelby Plant, Shelby | 65.93 | Macomb |
| ACE Asphalt & Paving Co. Inc., Davisburg | 41.79 | Oakland |
| Cadillac Asphalt, L.L.C., Clarkston | 36.48 | Oakland |
| Warren Waste Water Treatment Plant, Warren | 35.54 | Macomb |
| Ajax Materials Corp., Romulus | 9.87 | Wayne |
| Ajax Materials Corp., Warren | 8.82 | Macomb |
| Ajax Materials Corp., Rochester | 8.47 | Oakland |
| Ajax Materials Corp., Auburn Hills | 8.39 | Oakland |
| Ajax Materials Corp., New Haven | 8.26 | Macomb |
| Marathon Petroleum Company, LP, Detroit | 7.62 | Wayne |
| Ajax Materials Corp., Rockwood | 2.71 | Wayne |
| Ajax Metal Processing, Detroit | 0.28 | Wayne |
© 2017 by the authors. Licensee MDPI, Basel, Switzerland. This article is an open access article distributed under the terms and conditions of the Creative Commons Attribution (CC BY) license (http://creativecommons.org/licenses/by/4.0/).
Share and Cite
Moody, H.; Grady, S.C. Lead Emissions and Population Vulnerability in the Detroit (Michigan, USA) Metropolitan Area, 2006–2013: A Spatial and Temporal Analysis. Int. J. Environ. Res. Public Health 2017, 14, 1445. https://doi.org/10.3390/ijerph14121445
Moody H, Grady SC. Lead Emissions and Population Vulnerability in the Detroit (Michigan, USA) Metropolitan Area, 2006–2013: A Spatial and Temporal Analysis. International Journal of Environmental Research and Public Health. 2017; 14(12):1445. https://doi.org/10.3390/ijerph14121445
Chicago/Turabian StyleMoody, Heather, and Sue C. Grady. 2017. "Lead Emissions and Population Vulnerability in the Detroit (Michigan, USA) Metropolitan Area, 2006–2013: A Spatial and Temporal Analysis" International Journal of Environmental Research and Public Health 14, no. 12: 1445. https://doi.org/10.3390/ijerph14121445
APA StyleMoody, H., & Grady, S. C. (2017). Lead Emissions and Population Vulnerability in the Detroit (Michigan, USA) Metropolitan Area, 2006–2013: A Spatial and Temporal Analysis. International Journal of Environmental Research and Public Health, 14(12), 1445. https://doi.org/10.3390/ijerph14121445

