A Novel and Native Microcystin-Degrading Bacterium of Sphingopyxis sp. Isolated from Lake Taihu
Abstract
:1. Introduction
2. Experimental Section
2.1. Collection, Domestication, Isolation, and Culture of MC-Degrading Bacteria
2.2. Identification of 16S rDNA from MC-Degrading Bacteria
2.2.1. Amplification of 16S rDNA
2.2.2. Determination of 16S rDNA Sequence and Construction of Phylogenetic Tree
2.3. Cloning of Degrading Enzyme Genes from MC-Degrading Bacteria a7
2.4. Collection, Domestication, Isolation, and Culture of MC-Degrading Bacteria
3. Results
3.1. Isolation of MC-LR-Degrading Bacterium
3.2. Identification of MC-Degrading Bacterium by 16S rDNA Sequence Analysis
3.3. Cloning and Sequencing of the Key Genes of Degrading Enzyme from MC-Degrading Bacterium a7
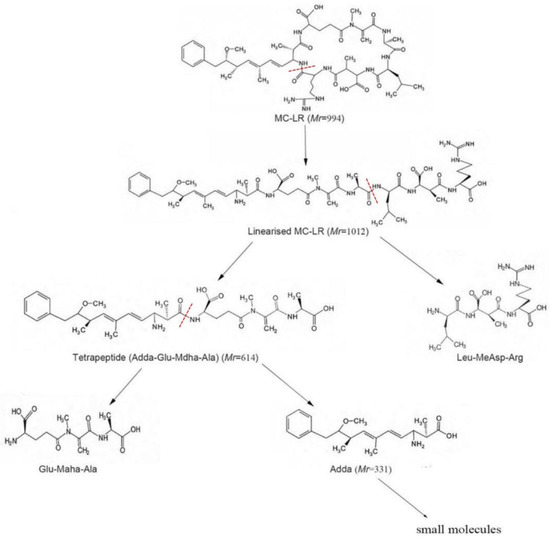
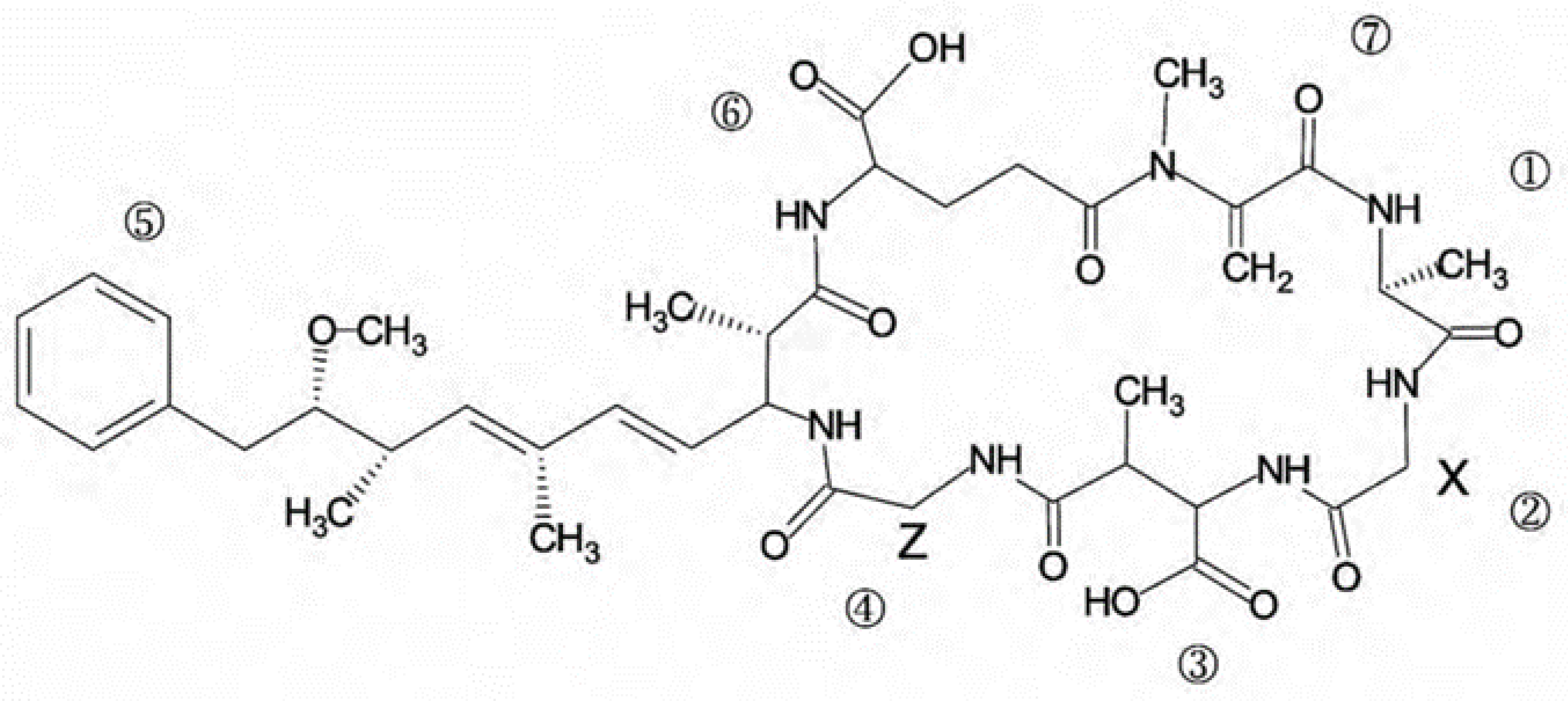
3.4. Biodegradation of MC-LR by Strain a7 and Analysis of Main Degradation Products
4. Discussion
5. Conclusions
Acknowledgments
Author Contributions
Conflicts of Interest
References
- Dawson, R.M. The toxicology of microcystins. Toxicon 1998, 36, 953–962. [Google Scholar] [CrossRef]
- Agha, R.; Cires, S.; Wormer, L.; Quesada, A. Limited stability of microcystins in oligopeptide compositions of Microcystis aeruginosa (Cyanobacteria): Implications in the definition of chemotypes. Toxins 2013, 5, 1089–1104. [Google Scholar] [CrossRef] [PubMed]
- Falconer, I.R. Quality and Treatment of Drinking Water II: The Handbook of Environmental Chemistry; Springer: Berlin, Germany, 1998; pp. 53–82. [Google Scholar]
- Humpage, A.R.; Hardy, S.J.; Moore, E.J.; Froscio, S.M.; Falconer, I.R. Microcystins (Cyanobacterial toxins) in drinking water enhance the growth of aberrant crypt foci in the mouse colon. J. Toxicol. Environ. Health A 2000, 61, 155–165. [Google Scholar] [PubMed]
- Codd, G.; Bell, S.; Kaya, K.; Ward, C.; Beattie, K.; Metcalf, J. Cyanobacterial toxins, exposure routes and human health. Eur. J. Phycol. 1999, 34, 405–415. [Google Scholar] [CrossRef]
- Imanishi, S.; Kato, H.; Mizuno, M.; Tsuji, K.; Harada, K. Bacterial degradation of Microcystins and Nodularin. Chem. Res. Toxicol. 2005, 18, 591–598. [Google Scholar] [CrossRef] [PubMed]
- Shimizu, K.; Maseda, H.; Okano, K.; Kurashima, T.; Kawauchi, Y.; Xue, Q.; Utsumi, M.; Zhang, Z.; Sugiura, N. Enzymatic pathway for biodegrading Microcystin LR in Sphingopyxis sp. C-1. J. Biosci. Bioeng. 2012, 114, 630–634. [Google Scholar] [CrossRef] [PubMed]
- Hashimoto, E.H.; Kato, H.; Kawasaki, Y.; Nozawa, Y.; Tsuji, K.; Hirooka, E.Y.; Harada, K. Further investigation of microbial degradation of microcystin using the advanced Marfey method. Chem. Res. Toxicol. 2009, 22, 391–398. [Google Scholar] [CrossRef] [PubMed]
- Gurbuz, F.; Uzunmehmetoglu, O.Y.; Diler, O.; Metcalf, J.S.; Codd, G.A. Occurrence of Microcystins in water, bloom, sediment and fish from a public water supply. Sci. Total Environ. 2016, 562, 860–868. [Google Scholar] [CrossRef] [PubMed]
- Paerl, H.W.; Huisman, J. Climate change: A catalyst for global expansion of harmful Cyanobacterial blooms. Environ. Microbiol. Rep. 2009, 1, 27–37. [Google Scholar] [CrossRef] [PubMed]
- Yu, S.Z. Drinking water and primary liver cancer. In Primary Liver Cancer; Tang, Z.Y., Wu, M.C., Xia, S.S., Eds.; Springer-Verlag: Beijing, China, 1989; pp. 30–37. [Google Scholar]
- Ueno, Y.; Nagata, S.; Tsutsumi, T.; Hasegawa, A.; Watanabe, M.F.; Park, H.D.; Chen, G.C.; Chen, G.; Yu, S.Z. Detection of Microcystins, a blue-green algal Hepatotoxin, in drinking water sampled in Haimen and Fusui, endemic areas of primary liver cancer in China, by highly sensitive immunoassay. Carcinogenesis 1996, 17, 1317–1321. [Google Scholar] [CrossRef] [PubMed]
- World Health Organization. Cyanobacterial Toxins: Microcystin-LR in Drinking-Water. Background Document for Development of WHO Guidelines for Drinking-Water Quality, 2nd ed.; World Health Organization: Geneva, Switzerland, 2003. [Google Scholar]
- Lawton, L.A.; Robertson, P. Physico-chemical treatment methods for the removal of Microcystins (Cyanobacterial Hepatotoxins) from potable waters. Chem. Soc. Rev. 1999, 28, 217–224. [Google Scholar] [CrossRef]
- Saitou, T.; Sugiura, N.; Itayama, T.; Inamori, Y.; Matsumura, M. Degradation characteristics of Microcystins by isolated bacteria from Lake Kasumigaura. J. Water Supply Res. Technol.–AQUA 2003, 52, 13–18. [Google Scholar]
- Bourne, D.G.; Jones, G.J.; Blakeley, R.L.; Jones, A.; Negri, A.P.; Riddles, P. Enzymatic pathway for the bacterial degradation of the Cyanobacterial cyclic peptide toxin Microcystin LR. Appl. Environ. Microbiol. 1996, 62, 4086–4094. [Google Scholar] [PubMed]
- Chen, J.; Hu, L.B.; Zhou, W.; Yan, S.H.; Yang, J.D.; Xue, Y.F.; Shi, Z.Q. Degradation of Microcystin-LR and RR by a Stenotrophomonas sp. strain EMS isolated from Lake Taihu, China. Int. J. Mol. Sci. 2010, 11, 896–911. [Google Scholar] [CrossRef] [PubMed]
- Gagala, I.; Mankiewicz-Boczek, J. The natural degradation of Microcystins (Cyanobacterial Hepatotoxins) in fresh water—The future of modern treatment systems and water quality improvement. Pol. J. Environ. Stud. 2012, 21, 1125–1139. [Google Scholar]
- Jones, G.J.; Bourne, D.G.; Blakeley, R.L.; Doelle, H. Degradation of the Cyanobacterial Hepatotoxin Microcystin by aquatic bacteria. Nat. Toxins 1994, 2, 228–235. [Google Scholar] [CrossRef] [PubMed]
- Okano, K.; Shimizu, K.; Kawauchi, Y.; Maseda, H.; Utsumi, M.; Zhang, Z.; Neilan, B.A.; Sugiura, N. Characteristics of a Microcystin-degrading bacterium under Alkaline environmental conditions. J. Toxicol. 2009, 2009, 1–8. [Google Scholar] [CrossRef] [PubMed]
- Kazuya, S.; Kunihiro, O.; Hideaki, M.; Tomoaki, I.; Yukio, K. Finding of Microcystin-Degrading Bacterium and Elucidation of Its Degradation Mechanism. Available online: https://www.pref.ibaraki.jp/soshiki/seikatsukankyo/kasumigauraesc/04_kenkyu/kaigi/docments/kosyou/13/2009wlc_SU.pdf (accessed on 28 September 2017).
- Yang, F.; Zhou, Y.; Sun, R.; Wei, H.; Li, Y.; Yin, L.; Pu, Y. Biodegradation of microcystin-LR and-RR by a novel microcystin-degrading bacterium isolated from Lake Taihu. Biodegradation 2014, 25, 447–457. [Google Scholar] [CrossRef] [PubMed]
- Ho, L.; Hoefel, D.; Saint, C.P.; Newcombe, G. Isolation and identification of a novel Microcystin-degrading bacterium from a biological sand filter. Water Res. 2007, 41, 4685–4695. [Google Scholar] [CrossRef] [PubMed]
- Phujomjai, Y.; Somdee, A.; Somdee, T. Biodegradation of microcystin [Dha(7)]MC-LR by a novel microcystin-degrading bacterium in an internal airlift loop bioreactor. Water Sci. Technol. 2016, 73, 267–274. [Google Scholar] [CrossRef] [PubMed]
- Kormas, K.A.; Lymperopoulou, D.S. Cyanobacterial Toxin Degrading Bacteria: Who Are They? Biomed. Res. Int. 2013, 6, 463894. [Google Scholar] [CrossRef] [PubMed]
- Berg, K.A.; Lyra, C.; Sivonen, K.; Paulin, L.; Suomalainen, S.; Tuomi, P.; Rapala, J. High diversity of cultivable heterotrophic bacteria in association with Cyanobacterial water blooms. ISME J. 2009, 3, 314–325. [Google Scholar] [CrossRef] [PubMed]
- Zhang, D.; Xie, P.; Liu, Y.; Chen, J.; Liang, G. Bioaccumulation of the hepatotoxic Microcystins in various organs of a freshwater snail from a subtropical Chinese lake, Taihu Lake, with dense toxic Microcystis blooms. Environ. Toxicol. Chem. 2007, 26, 171–176. [Google Scholar] [CrossRef] [PubMed]
- Yang, F.; Zhou, Y.; Yin, L.; Zhu, G.; Liang, G.; Pu, Y. Microcystin-degrading activity of an indigenous bacterial strain Stenotrophomonas acidaminiphila MC-LTH2 isolated from Lake Taihu. PLoS ONE 2014, 9, e86216. [Google Scholar] [CrossRef] [PubMed]
- Li, H.; Ai, H.N.; Kang, L.; Sun, X.F.; He, Q. Simultaneous Microcystis algicidal and Microcystin degrading capability by a single Acinetobacter bacterial strain. Environ. Sci. Technol. 2016, 50, 11903–11911. [Google Scholar] [CrossRef] [PubMed]
- Somdee, T.; Thunders, M.; Ruck, J.; Lys, I.; Allison, M.; Page, R. Degradation of [Dha(7)]MC-LR by a microcystin degrading bacterium isolated from Lake Rotoiti, New Zealand. ISRN Microbiol. 2013, 2013, 1–8. [Google Scholar] [CrossRef] [PubMed]
- Yang, F.; Wei, H.Y.; Li, X.Q.; Li, Y.H.; Li, X.B.; Yin, L.H.; Pu, Y.P. Isolation and characterization of an algicidal bacterium indigenous to lake Taihu with a red pigment able to lyse Microcystis aeruginosa. Biomed. Environ. Sci. 2013, 26, 148–154. [Google Scholar] [PubMed]
- Tamura, K.; Peterson, D.; Peterson, N.; Stecher, G.; Nei, M.; Kumar, S. MEGA5: Molecular evolutionary genetics analysis using maximum likelihood, evolutionary distance, and maximum parsimony methods. Mol. Biol. Evol. 2011, 28, 2731–2739. [Google Scholar] [CrossRef] [PubMed]
- Saito, T.; Okano, K.; Park, H.D.; Itayama, T.; Inamori, Y.; Neilan, B.A.; Burns, B.P.; Sugiura, N. Detection and sequencing of the microcystin LR-degrading gene, mlrA, from new bacteria isolated from Japanese lakes. FEMS Microbiol. Lett. 2003, 229, 271–276. [Google Scholar] [CrossRef]
- Shimizu, K.; Maseda, H.; Okano, K.; Itayama, T.; Kawauchi, Y.; Chen, R.; Utsumi, M.; Zhang, Z.; Sugiura, N. How Microcystin-degrading bacteria express Microcystin degradation activity. Lakes Reserv. Res. Manag. 2011, 16, 169–178. [Google Scholar] [CrossRef]
- Xu, H.; Wang, H.; Xu, Q.; Lv, L.; Yin, C.; Liu, X.; Du, H.; Yan, H. Pathway for biodegrading microcystin-YR by Sphingopyxis sp. USTB-05. PLoS ONE 2015, 10, e124425. [Google Scholar] [CrossRef] [PubMed]
- Zhang, M.; Pan, G.; Yan, H. Microbial biodegradation of Microcystin-RR by bacterium Sphingopyxis sp. USTB-05. J. Environ. Sci. 2010, 22, 168–175. [Google Scholar] [CrossRef]
- Bourne, D.G.; Riddles, P.; Jones, G.J.; Smith, W.; Blakeley, R.L. Characterisation of a gene cluster involved in bacterial degradation of the Cyanobacterial toxin Microcystin LR. Environ. Toxicol. 2001, 16, 523–534. [Google Scholar] [CrossRef] [PubMed]
- Jones, G.J.; Orr, P.T. Release and degradation of Microcystin following algicide treatment of a Microcystis-aeruginosa bloom in a recreational lake, as determined by HPLC and protein phosphatase inhibition assay. Water Res. 1994, 28, 871–876. [Google Scholar] [CrossRef]
- Chen, X.G.; Yang, X.; Yang, L.L.; Xiao, B.D.; Wu, X.Q.; Wang, J.T.; Wan, H.G. An effective pathway for the removal of Microcystin LR via anoxic biodegradation in lake sediment. Water Res. 2010, 44, 1884–1892. [Google Scholar] [CrossRef] [PubMed]
- Ho, L.; Hoefel, D.; Palazot, S.; Sawade, E.; Newcombe, G.; Saint, C.P.; Brooks, J.D. Investigations into the biodegradation of Microcystin-LR in wastewaters. J. Hazard. Mater. 2010, 180, 628–633. [Google Scholar] [CrossRef] [PubMed]
- Eleuterio, L.; Batista, J.R. Biodegradation studies and sequencing of Microcystin-LR degrading bacteria isolated from a drinking water biofilter and a fresh water lake. Toxicon 2010, 55, 1434–1442. [Google Scholar] [CrossRef] [PubMed]
- Yan, H.; Wang, J.; Chen, J.; Wei, W.; Wang, H.; Wang, H. Characterization of the first step involved in enzymatic pathway for Microcystin-RR biodegraded by Sphingopyxis sp. USTB-05. Chemosphere 2012, 87, 12–18. [Google Scholar] [CrossRef] [PubMed]
- Valeria, A.M.; Ricardo, E.J.; Stephan, P.; Alberto, W.D. Degradation of Microcystin-RR by Sphingomonas sp. CBA4 isolated from San Roque reservoir (Córdoba–Argentina). Biodegradation 2006, 17, 447–455. [Google Scholar] [CrossRef] [PubMed]
- Ishii, H.; Nishijima, M.; Abe, T. Characterization of degradation process of Cyanobacterial Hepatotoxins by a gram-negative aerobic bacterium. Water Res. 2004, 38, 2667–2676. [Google Scholar] [CrossRef] [PubMed]
- Tsuji, K.; Asakawa, M.; Anzai, Y.; Sumino, T.; Harada, K. Degradation of Microcystins using immobilized microorganism isolated in an eutrophic lake. Chemosphere 2006, 65, 117–124. [Google Scholar] [CrossRef] [PubMed]
- Jiang, Y.; Shao, J.; Wu, X.; Xu, Y.; Li, R. Active and silent members in the mlr gene cluster of a Microcystin-degrading bacterium isolated from Lake Taihu, China. FEMS Microbiol. Lett. 2011, 322, 108–114. [Google Scholar] [CrossRef] [PubMed]
- Hu, L.B.; Yang, J.D.; Zhou, W.; Yin, Y.F.; Chen, J.; Shi, Z.Q. Isolation of a Methylobacillus sp. that degrades microcystin toxins associated with cyanobacteria. New Biotechnol. 2009, 26, 205–211. [Google Scholar] [CrossRef] [PubMed]
- Lemes, G.F.; Kersanach, R.; Da, S.; Pinto, L.; Dellagostin, O.A.; Yunes, J.S.; Matthiensen, A. Biodegradation of microcystins by aquatic Burkholderia sp. from a South Brazilian coastal lagoon. Ecotoxicol. Environ. Saf. 2008, 69, 358–365. [Google Scholar] [CrossRef] [PubMed]
- Lemes, G.; Kist, L.W.; Bogo, M.R.; Yunes, J.S. Biodegradation of [D-Leu(1)]microcystin-LR by a bacterium isolated from sediment of Patos Lagoon estuary, Brazil. J. Venomanim. Toxins 2015, 21, 1–8. [Google Scholar]
- Dziga, D.; Lisznianska, M.; Wladyka, B. Bioreactor study employing bacteria with enhanced activity toward Cyanobacterial toxins Microcystins. Toxins 2014, 6, 2379–2392. [Google Scholar] [CrossRef] [PubMed]
- Takenaka, S.; Watanabe, M.F. Microcystin LR degradation by Pseudomonas aeruginosa alkaline protease. Chemosphere 1997, 34, 749–757. [Google Scholar] [CrossRef]
- Zhang, J.; Shi, H.; Liu, A.; Cao, Z.; Hao, J.; Gong, R. Identification of a new Microcystin-degrading bacterium isolated from lake Chaohu, China. Bull. Environ. Contam. Toxicol. 2015, 94, 661–666. [Google Scholar] [CrossRef] [PubMed]
- Hu, L.; Zhang, F.; Liu, C.; Wang, M. Biodegradation of Microcystins by Bacillus sp. strain EMB. Energy Procedia 2012, 16, 2054–2059. [Google Scholar] [CrossRef]
- Nybom, S.K.; Dziga, D.; Heikkilä, J.E.; Kull, T.J.; Salminen, S.J.; Meriluoto, J.O. Characterization of Microcystin-LR removal process in the presence of probiotic bacteria. Toxicon 2012, 59, 171–181. [Google Scholar] [CrossRef] [PubMed]
- Alamri, S.A. Biodegradation of Microcystin-RR by Bacillus flexus isolated from a Saudi freshwater lake. Saudi J. Biol. Sci. 2012, 19, 435–440. [Google Scholar] [CrossRef] [PubMed]
- Ramani, A.; Rein, K.; Shetty, K.G.; Jayachandran, K. Microbial degradation of Microcystin in Florida’s freshwaters. Biodegradation 2012, 23, 35–45. [Google Scholar] [CrossRef] [PubMed]
- Manage, P.M.; Edwards, C.; Singh, B.K.; Lawton, L.A. Isolation and identification of novel microcystin-degrading bacteria. Appl. Environ. Microbiol. 2009, 75, 6924–6928. [Google Scholar] [CrossRef] [PubMed]








| Primers | Sequence | References |
|---|---|---|
| mlrA-Forward | 5′-GACCCGATGTTCAAGATACT-3′ | [33] |
| mlrA-Reverse | 5′-CTCCTCCCACAAATCAGGAC-3′ | |
| mlrB-Forward | 5′-CTCGATGCGGTATTTGCTG-3′ | [34] |
| mlrB-Reverse | 5′-TCCAACGACCATCCCTTCTG-3′ | |
| mlrC-Forward | 5′-CGAAGGCGAAAGGTGCAAC-3′ | [35] |
| mlrC-Reverse | 5′-GAGCGCTTGTGATAGTGACG-3′ | |
| mlrD-Forward | 5′-GTTCCTCGGCGTAGCCT-3′ | [24] |
| mlrD-Reverse | 5′-GCGACGAAGATCGTTGCT-3′ |
| Bacteria | Source | 16S rRNA GenBank Accession Number | Degradable Microcystin Analogues | Degradation Rate μg/(L·d) | References |
|---|---|---|---|---|---|
| α-Proteobacteria | |||||
| Sphingopyxis sp. USTB-05 | - | EF607053 | MC-RR; MC-YR | 101,520; 35,520 | [35,36,42] |
| Sphingopyxis sp. LH21 | Torrens Lake in South Australia | DQ112242 | MC-LR; MC-LA | 2.08; 2.50 | [24] |
| Sphingomonas sp. CBA4 | San Roque reservoir | AY920497 | MC-RR | 130 | [43] |
| Sphingomonas sp. 7CY | Surface water sample of Lake Suwa | AB076083 | MC-LR; MC-RR | 1500; 1000 | [44] |
| Sphingomonas sp. Y2 | A hypertrophic lake | NR_040927/AB084247 | MC-LR; MC-RR; MC-YR | 5400; 13,000; - | [37] |
| Sphingomonas sp. ACM-3962 | Surface water, Australia | AF411072 | MC-LR; MC-RR | 12,100 #; 12,100 # | [16,38] |
| Sphingomonas sp. B9 | Tsukui lake | AB159609 | MC-LR; MC-RR | 25; 75 | [45] |
| Sphingomonas stygia | Natural lakes | - | MC-LR; MC-RR; MC-YR | 660; 1900; 1250 | [15] |
| Novosphingobium sp. THN1 | Lake Taihu | HQ664117 | MC-LR | 2700 | [46] |
| β-Proteobacteria | |||||
| Bordetella sp. MCYF11 | Lake Taihu | KC734882 | MC-LR; MC-RR | 7440;4080 | [22] |
| Methylobacillus sp. J10 | Lake Taihu | FJ4185 | MC-LR; MC-RR | 4940; 6350 | [47] |
| Burkholderia sp. UPC-BI05 | A South Brazilian coastal lagoon surface water | DQ459360 | MC-LR | 50 | [48] |
| γ-Proteobacteria | |||||
| Pseudomonas aeruginosa. DMxS | Patos Lagoon estuary | HQ890467 | MC-LR | 0.06 | [49] |
| Stenotrophomonas acidaminiphila YF-S2 | Lake Taihu | KF305533 | MC-LR; MC-RR | 3000; 5600 | [28] |
| Escherichia coli | - | - | MC-LR | 5270 | [50] |
| Pseudomonas aeruginosa | Reservoir surface water | - | MC-LR | 2500 | [51] |
| Morganella morganii C25216 | Las Vegas Bay of Lake Mead | - | MC-LR | 4.75 | [42] |
| Stenotrophomonas sp. EMS | Lake Taihu | - | MC-LR; MC-RR | 700; 1700 | [30] |
| Firmicutes | |||||
| Bacillus sp. JZ-2013 | Lake Chaohu | KF841622 | MC-LR | 1330 | [52] |
| Bacillus sp. EMB | Lake Taihu | FJ526332 | MC-LR; MC-RR | 2150; 2990 | [53] |
| Lactobacillus rhamnosus GG and LC-705 | Probiotic strains | - | MC-LR | 65 and 55 | [54] |
| Bacillus flexus SSZ01 | a Saudi eutrophic lake | - | MC-RR | 2500 | [55] |
| Actinobacteria | |||||
| Microbacterium sp. DC8 | Lake Okeechobee | - | MC-LR | 8.60 | [56] |
| Bifidobacterium longum 46 | Probiotic strains | - | MC-LR | 70 | [54] |
| Rhodococcus sp. C1,C3 | Scottish water bodies | FN392688, FN392689 | MC-LR | 4,000 | [57] |
| Arthrobacter sp. C6, F7, F10, R1, R1, R6 and R9 | Scottish water bodies | FN392690, FN392692-FN392697 | MC-LR | 5000, 5000, 4000, 5000, 5000, 5000, and 5000 | [57] |
| Brevibacterium sp. F10 | Scottish water bodies | FN392691 | MC-LR | 5000 | [57] |
© 2017 by the authors. Licensee MDPI, Basel, Switzerland. This article is an open access article distributed under the terms and conditions of the Creative Commons Attribution (CC BY) license (http://creativecommons.org/licenses/by/4.0/).
Share and Cite
Zhang, J.; Lu, Q.; Ding, Q.; Yin, L.; Pu, Y. A Novel and Native Microcystin-Degrading Bacterium of Sphingopyxis sp. Isolated from Lake Taihu. Int. J. Environ. Res. Public Health 2017, 14, 1187. https://doi.org/10.3390/ijerph14101187
Zhang J, Lu Q, Ding Q, Yin L, Pu Y. A Novel and Native Microcystin-Degrading Bacterium of Sphingopyxis sp. Isolated from Lake Taihu. International Journal of Environmental Research and Public Health. 2017; 14(10):1187. https://doi.org/10.3390/ijerph14101187
Chicago/Turabian StyleZhang, Juan, Qingqing Lu, Qin Ding, Lihong Yin, and Yuepu Pu. 2017. "A Novel and Native Microcystin-Degrading Bacterium of Sphingopyxis sp. Isolated from Lake Taihu" International Journal of Environmental Research and Public Health 14, no. 10: 1187. https://doi.org/10.3390/ijerph14101187
APA StyleZhang, J., Lu, Q., Ding, Q., Yin, L., & Pu, Y. (2017). A Novel and Native Microcystin-Degrading Bacterium of Sphingopyxis sp. Isolated from Lake Taihu. International Journal of Environmental Research and Public Health, 14(10), 1187. https://doi.org/10.3390/ijerph14101187

