Using a Hybrid Model to Forecast the Prevalence of Schistosomiasis in Humans
Abstract
:1. Introduction
2. Methodology
2.1. Data Sources
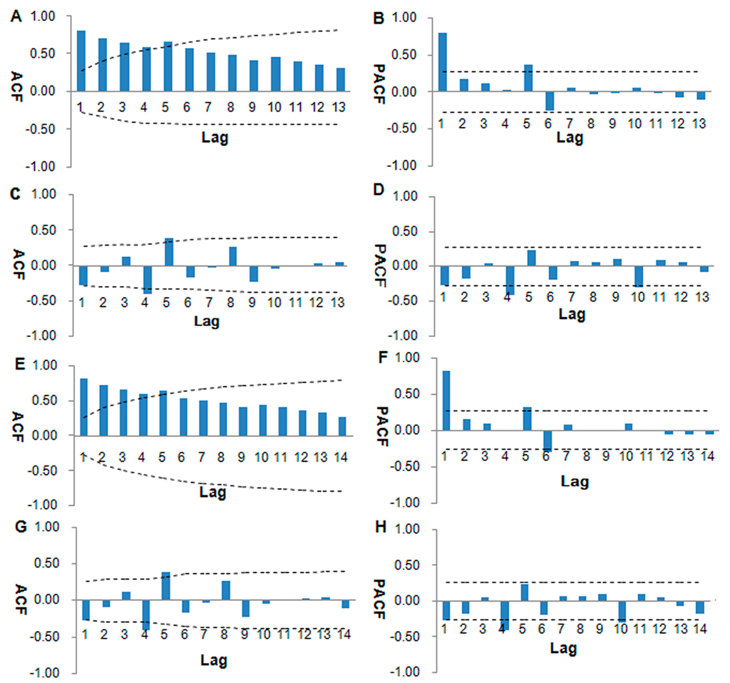
2.2. The ARIMA Model
2.3. The NARNN Model
2.4. Developing the Hybrid ARIMA-NARNN Model
2.5. Performance Statistics Index
3. Results
3.1. ARIMA Model Analysis
3.2. NARNN Model Analysis
3.3. ARIMA-NARNN Model Analysis
3.4. Comparison of Results from Forecasting Performance
4. Discussion
5. Conclusions
Supplementary Materials
Acknowledgments
Author Contributions
Conflicts of Interest
References
- 10 Facts about Schistosomiasis. Available online: http://www.who.int/features/factfiles/schistosomiasis/en/ (accessed on 2 December 2015).
- Zhou, X.N.; Guo, J.G.; Wu, X.H.; Jiang, Q.W.; Zheng, J.; Dang, H.; Wang, X.H.; Xu, J.; Zhu, H.Q.; Wu, G.L.; et al. Epidemiology of schistosomiasis in the People’s Republic of China, 2004. Emerg. Infect. Dis. 2007, 13, 1470–1476. [Google Scholar] [CrossRef] [PubMed]
- Liu, R.; Dong, H.F.; Jiang, M.S. The new national integrated strategy emphasizing infection sources control for schistosomiasis control in China has made remarkable achievements. Parasitol. Res. 2013, 112, 1483–1491. [Google Scholar] [CrossRef] [PubMed]
- Lei, Z.L.; Zheng, H.; Zhang, L.J.; Zhu, R.; Xu, Z.M.; Xu, J.; Fu, Q.; Wang, Q.; Li, S.Z.; Zhou, X.N. Endemic status of schistosomiasis in People’s Republic of China in 2013. Chin. J. Schistosomiasis Control 2014, 26, 591–597. (In Chinese) [Google Scholar]
- Hao, Y.; Zheng, H.; Zhu, R.; Guo, J.G.; Wang, L.Y.; Chen, Z.; Zhou, X.N. Schistosomiasis situation in People’s Republic of China in 2009. Chin. J. Schistosomiasis Control 2010, 22, 521–527. (In Chinese) [Google Scholar]
- China MohotPsRo. GB15976–2006 Criteria for Control and Elimination of Schistosomiasis; Beijing People’s Medical Publishing House: Beijing, China, 2007; pp. 1–6. [Google Scholar]
- Yan, W.; Xu, Y.; Yang, X.; Zhou, Y. A hybrid model for short-term bacillary dysentery prediction in Yichang City, China. Jpn. J. Infect. Dis. 2010, 63, 264–270. [Google Scholar] [PubMed]
- Ren, H.; Li, J.; Yuan, Z.A.; Hu, J.Y.; Yu, Y.; Lu, Y.H. The development of a combined mathematical model to forecast the incidence of hepatitis E in Shanghai, China. BMC Infect. Dis. 2013, 13, 421. [Google Scholar] [CrossRef] [PubMed]
- Zhang, G.; Huang, S.; Duan, Q.; Shu, W.; Hou, Y.; Zhu, S.; Miao, X.; Nie, S.; Wei, S.; Guo, N.; et al. Application of a hybrid model for predicting the incidence of tuberculosis in Hubei, China. PLoS ONE 2013, 8, e80969. [Google Scholar] [CrossRef] [PubMed]
- Yu, L.J.; Zhou, L.L.; Tan, L.; Jiang, H.B.; Wang, Y.; Wei, S.; Nie, S.F. Application of a new hybrid model with seasonal auto-regressive integrated moving average (ARIMA) and nonlinear auto-regressive neural network (ANRNN) in forecasting incidence cases of HFMD in Shenzen, China. PLoS ONE 2014, 9, e98241. [Google Scholar]
- Chen, M.P.; Shang, N.; Winston, C.A.; Becerra, J.E. A Bayesian analysis of the 2009 decline in tuberculosis morbidity in the United States. Stat. Med. 2012, 31, 3278–3284. [Google Scholar] [CrossRef] [PubMed]
- Kumar, V.; Mangal, A.; Panesar, S.; Yadav, G.; Talwar, R.; Raut, D.; Singh, S. Forecasting malaria cases using climatic factors in Delhi, India: A time series analysis. Malar. Res. Treat. 2014, 2014, 482851. [Google Scholar] [CrossRef] [PubMed]
- Akhtar, S.; Rozi, S. An autoregressive integrated moving average model for short-term prediction of hepatitis C virus seropositivity among male volunteer blood donors in Karachi, Pakistan. World J. Gastroenterol. 2009, 15, 1607–1612. [Google Scholar] [CrossRef] [PubMed]
- Li, Q.; Guo, N.N.; Han, Z.Y.; Zhang, Y.B.; Qi, S.X.; Xu, Y.G.; Wei, Y.M.; Han, X.; Liu, Y.Y. Application of an autoregressive integrated moving average model for predicting the incidence of hemorrhagic fever with renal syndrome. Am. J. Trop. Med. Hyg. 2012, 87, 364–370. [Google Scholar] [CrossRef] [PubMed]
- Gharbi, M.; Quenel, P.; Gustave, J.; Cassadou, S.; La Ruche, G.; Girdary, L.; Marrama, L. Time series analysis of dengue incidence in Guadeloupe, French West Indies: Forecasting models using climate variables as predictors. BMC Infect. Dis. 2011, 11, 166. [Google Scholar] [CrossRef] [PubMed]
- Zhu, M.; Zu, R.Q.; Huo, X.; Bao, C.J.; Zhao, Y.; Peng, Z.H.; Yu, R.B.; Shen, H.B.; Chen, F. The application of time series analysis in predicting the influenza incidence and early warning. Chin. J. Prevent. Med. 2011, 45, 1108–1111. (In Chinese) [Google Scholar]
- Babu, C.N.; Reddy, B.E. A moving-average-filter-based hybrid ARIMA–ANN model for forecasting time series data. Appl. Soft Comput. 2014, 23, 27–38. [Google Scholar] [CrossRef]
- Guan, P.; Huang, D.S.; Zhou, B.S. Forecasting model for the incidence of hepatitis A based on artificial neural network. World J. Gastroenterol. 2004, 10, 3579–3582. [Google Scholar] [CrossRef] [PubMed]
- Montano Moreno, J.J.; Palmer Pol, A.; Munoz Gracia, P. Artificial neural networks applied to forecasting time series. Psicothema 2011, 23, 322–329. [Google Scholar] [PubMed]
- Paschalidou, A.K.; Karakitsios, S.; Kleanthous, S.; Kassomenos, P.A. Forecasting hourly PM(10) concentration in Cyprus through artificial neural networks and multiple regression models: Implications to local environmental management. Environ. Sci. Pollut. Res. Int. 2011, 18, 316–327. [Google Scholar] [CrossRef] [PubMed]
- Park, M. Comment on “Short-term acoustic forecasting via artificial neural networks for neonatal intensive care units”. J. Acoust. Soc. Am. 2013, 134, 5–8. [Google Scholar] [CrossRef] [PubMed]
- Hornik, K.; Stinchcombe, M.; White, H. Multilayer feedforward networks are universal approximators. Neural Netw. 1989, 2, 359–366. [Google Scholar] [CrossRef]
- Cross, S.S.; Harrison, R.F.; Kennedy, R.L. Introduction to neural networks. Lancet 1995, 346, 1075–1079. [Google Scholar] [CrossRef]
- Zhou, L.L.; Yu, L.J.; Wang, Y.; Lu, Z.; Tian, L.; Tan, L.; Shi, Y.; Nie, S.F.; Liu, L. A hybrid model for predicting the prevalence of schistosomiasis in humans of Qianjiang City, China. PLoS ONE 2014, 9, e104875. [Google Scholar] [CrossRef] [PubMed]
- National Surveillance Scheme of Schistosomiasis. Available online: http://www.chinacdc.cn/gwswxx/jkyjb/201107/t20110719_49203.htm (accessed on 2 December 2015).
- Box, G.E.P.; Jenkins, G.M.; Reinsel, G.C. Time Series Analysis, Forecasting and Control, 4th ed.; Wiley: New York, NY, USA, 2008; pp. 55–86, 196–220, 231–232, 280–294. [Google Scholar]
- Connor, J.T.; Martin, R.D.; Atlas, L.E. Recurrent neural networks and robust time series prediction. IEEE Trans. Neural Netw. 1994, 5, 240–254. [Google Scholar] [CrossRef] [PubMed]
- Xianyi, C.; Liying, W.; Jiming, C.; Xiaonong, Z.; Jiang, Z.; Jiagang, G.; Xiaohua, W.; Engels, D.; Minggang, C. Schistosomiasis control in China: The impact of a 10-year World Bank Loan Project (1992–2001). Bull. World Health Organ. 2005, 83, 43–48. [Google Scholar] [PubMed]
- Zhou, X.N.; Wang, L.Y.; Chen, M.G.; Wu, X.H.; Jiang, Q.W.; Chen, X.Y.; Zheng, J.; Utzinger, J. The public health significance and control of schistosomiasis in China—Then and now. Acta Trop. 2005, 96, 97–105. [Google Scholar] [CrossRef] [PubMed]
- Yang, G.J.; Vounatsou, P.; Zhou, X.N.; Tanner, M.; Utzinger, J. A potential impact of climate change and water resource development on the transmission of Schistosoma japonicum in China. Parassitologia 2005, 47, 127–134. [Google Scholar] [PubMed]
- McManus, D.P.; Gray, D.J.; Li, Y.; Feng, Z.; Williams, G.M.; Stewart, D.; Rey-Ladino, J.; Ross, A.G. Schistosomiasis in the People’s Republic of China: The era of the Three Gorges Dam. Clin. Microbiol. Rev. 2010, 23, 442–466. [Google Scholar] [CrossRef] [PubMed]
- Collins, C.; Xu, J.; Tang, S. Schistosomiasis control and the health system in P.R. China. Infect. Dis. Poverty 2012, 1, 1–8. [Google Scholar] [CrossRef] [PubMed]
- Pai, P.F.; Lin, C.S. A hybrid ARIMA and support vector machines model in stock price forecasting. Omega 2005, 33, 497–505. [Google Scholar] [CrossRef]
- Khashei, M.; Bijari, M. A novel hybridization of artificial neural networks and ARIMA models for time series forecasting. Appl. Soft Comput. 2011, 11, 2664–2675. [Google Scholar] [CrossRef]
- Firmino, P.R.; de Mattos Neto, P.S.; Ferreira, T.A. Correcting and combining time series forecasters. Neural Netw. 2014, 50, 1–11. [Google Scholar] [CrossRef] [PubMed]
- De Mattos Neto, P.S.G.; Cavalcanti, G.D.; Madeiro, F.; Ferreira, T.A.E. An approach to improve the performance of PM forecasters. PLoS ONE 2015, 10, e0138507. [Google Scholar]
- Firmino, P.R.A.; de Mattos Neto, P.S.G.; Ferreira, T.A.E. Error modeling approach to improve time series forecasters. Neurocomputing 2015, 153, 242–254. [Google Scholar] [CrossRef]
- Roy, A.; Govil, S.; Miranda, R. A neural-network learning theory and a polynomial time RBF algorithm. IEEE Trans. Neural Netw. 1997, 8, 1301–1313. [Google Scholar] [CrossRef] [PubMed]
- Yu, B.; Ding, C.; Wei, S.B.; Chen, B.H.; Liu, P.L.; Luo, T.Y.; Wang, J.G.; Pan, Z.W.; Lu, J.A. Early warning on measles through the neural networks. Chin. J. Epidemiol. 2011, 32, 73–76. (In Chinese) [Google Scholar]
- Torres, R.; Pereira, E.; Vasconcelos, V.; Teles, L.O. Forecasting of cyanobacterial density in Torrao reservoir using artificial neural networks. J. Environ. Monit. 2011, 13, 1761–1767. [Google Scholar] [CrossRef] [PubMed]
- Zhou, Y.B.; Liang, S.; Jiang, Q.W. Factors impacting on progress towards elimination of transmission of schistosomiasis japonica in China. Parasit. Vectors 2012, 5, 1–7. [Google Scholar] [CrossRef] [PubMed]
- Wang, W.; Dai, J.R.; Liang, Y.S. Apropos: Factors impacting on progress towards elimination of transmission of schistosomiasis japonica in China. Parasit. Vectors 2014, 7, 408. [Google Scholar] [CrossRef] [PubMed]




| Type | Lag | 1956–2008 | 1956–2012 | ||
|---|---|---|---|---|---|
| t | p a | t | p a | ||
| Zero Mean | 0 | −9.39 | <0.0001 | −9.73 | <0.0001 |
| 1 | −6.74 | <0.0001 | −6.98 | <0.0001 | |
| Single Mean | 0 | −9.60 | 0.0001 | −9.98 | 0.0001 |
| 1 | −7.04 | 0.0001 | −7.32 | 0.0001 | |
| Trend | 0 | −9.54 | <0.0001 | −9.92 | <0.0001 |
| 1 | −6.98 | <0.0001 | −7.27 | <0.0001 | |
| Modeling Set | Parameter | Estimate | Standard Error | t | p a | Lag |
|---|---|---|---|---|---|---|
| 1956–2008 | AR1,1 | −0.33659 | 0.13474 | −2.50 | 0.0158 | 4 |
| MA1,1 | −0.59063 | 0.11667 | −5.06 | <0.0001 | 5 | |
| 1956–2012 | AR1,1 | −0.33529 | 0.12856 | −2.61 | 0.0118 | 4 |
| MA1,1 | −0.58920 | 0.11144 | −5.29 | <0.0001 | 5 |
| Lag | 1956–2008 | 1956–2012 | ||
|---|---|---|---|---|
| χ2 | p a | χ2 | p a | |
| 6 | 7.19 | 0.1262 | 7.66 | 0.1050 |
| 12 | 13.27 | 0.2090 | 13.96 | 0.1747 |
| 18 | 15.04 | 0.5219 | 15.77 | 0.4691 |
| 24 | 16.92 | 0.7679 | 17.66 | 0.7261 |
| Year | Original Values (%) | Pridicted Values (%) | ||
|---|---|---|---|---|
| ARIMA | NARNN | ARIMA-NARNN | ||
| 2009 | 1.13 | 0.40 | 1.75 | 1.55 |
| 2010 | 0.65 | 1.00 | 1.44 | 0.09 |
| 2011 | 0.42 | 0.62 | 1.01 | 0.34 |
| 2012 | 0.39 | −0.96 | 0.80 | 0.38 |
| Error | ||||
| Modeling | MSE(×10 -4) | 2.8272 | 2.1089 | 0.7381 |
| MAE | 0.0123 | 0.0095 | 0.0059 | |
| MAPE | 0.1223 | 0.1056 | 0.0678 | |
| Testing | MSE(×10 -4) | 0.6267 | 0.3816 | 0.1237 |
| MAE | 0.0066 | 0.0060 | 0.0027 | |
| MAPE | 1.2791 | 1.0570 | 0.3629 | |
| Target Series a | Hidden Units | Delays | MSE b (×10−4) | R c | ||
|---|---|---|---|---|---|---|
| Training | Validation | Testing | ||||
| OS | 16 | 5 | 1.2671 | 4.0469 | 4.4604 | 0.9838 |
| RS | 14 | 6 | 0.5022 | 1.6596 | 1.8805 | 0.8828 |
| NRS | 14 | 5 | 0.3911 | 0.4463 | 0.8199 | 0.9579 |
© 2016 by the authors; licensee MDPI, Basel, Switzerland. This article is an open access article distributed under the terms and conditions of the Creative Commons by Attribution (CC-BY) license (http://creativecommons.org/licenses/by/4.0/).
Share and Cite
Zhou, L.; Xia, J.; Yu, L.; Wang, Y.; Shi, Y.; Cai, S.; Nie, S. Using a Hybrid Model to Forecast the Prevalence of Schistosomiasis in Humans. Int. J. Environ. Res. Public Health 2016, 13, 355. https://doi.org/10.3390/ijerph13040355
Zhou L, Xia J, Yu L, Wang Y, Shi Y, Cai S, Nie S. Using a Hybrid Model to Forecast the Prevalence of Schistosomiasis in Humans. International Journal of Environmental Research and Public Health. 2016; 13(4):355. https://doi.org/10.3390/ijerph13040355
Chicago/Turabian StyleZhou, Lingling, Jing Xia, Lijing Yu, Ying Wang, Yun Shi, Shunxiang Cai, and Shaofa Nie. 2016. "Using a Hybrid Model to Forecast the Prevalence of Schistosomiasis in Humans" International Journal of Environmental Research and Public Health 13, no. 4: 355. https://doi.org/10.3390/ijerph13040355
APA StyleZhou, L., Xia, J., Yu, L., Wang, Y., Shi, Y., Cai, S., & Nie, S. (2016). Using a Hybrid Model to Forecast the Prevalence of Schistosomiasis in Humans. International Journal of Environmental Research and Public Health, 13(4), 355. https://doi.org/10.3390/ijerph13040355
