Study on Microbial Deposition and Contamination onto Six Surfaces Commonly Used in Chemical and Microbiological Laboratories
Abstract
:1. Introduction
2. Experimental Section
2.1. Site and Worktop Surface Description
2.2. Surface Sampling
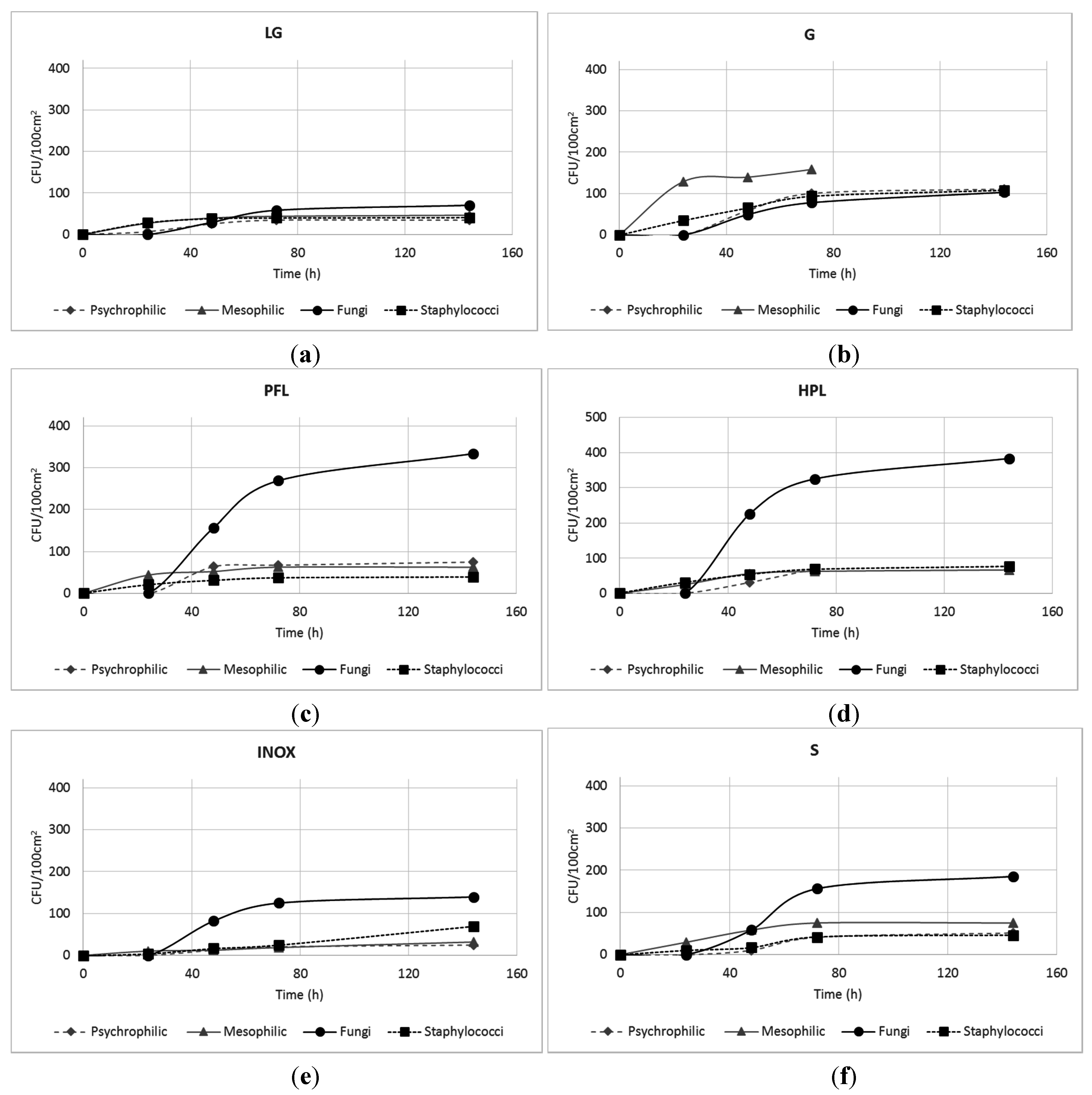
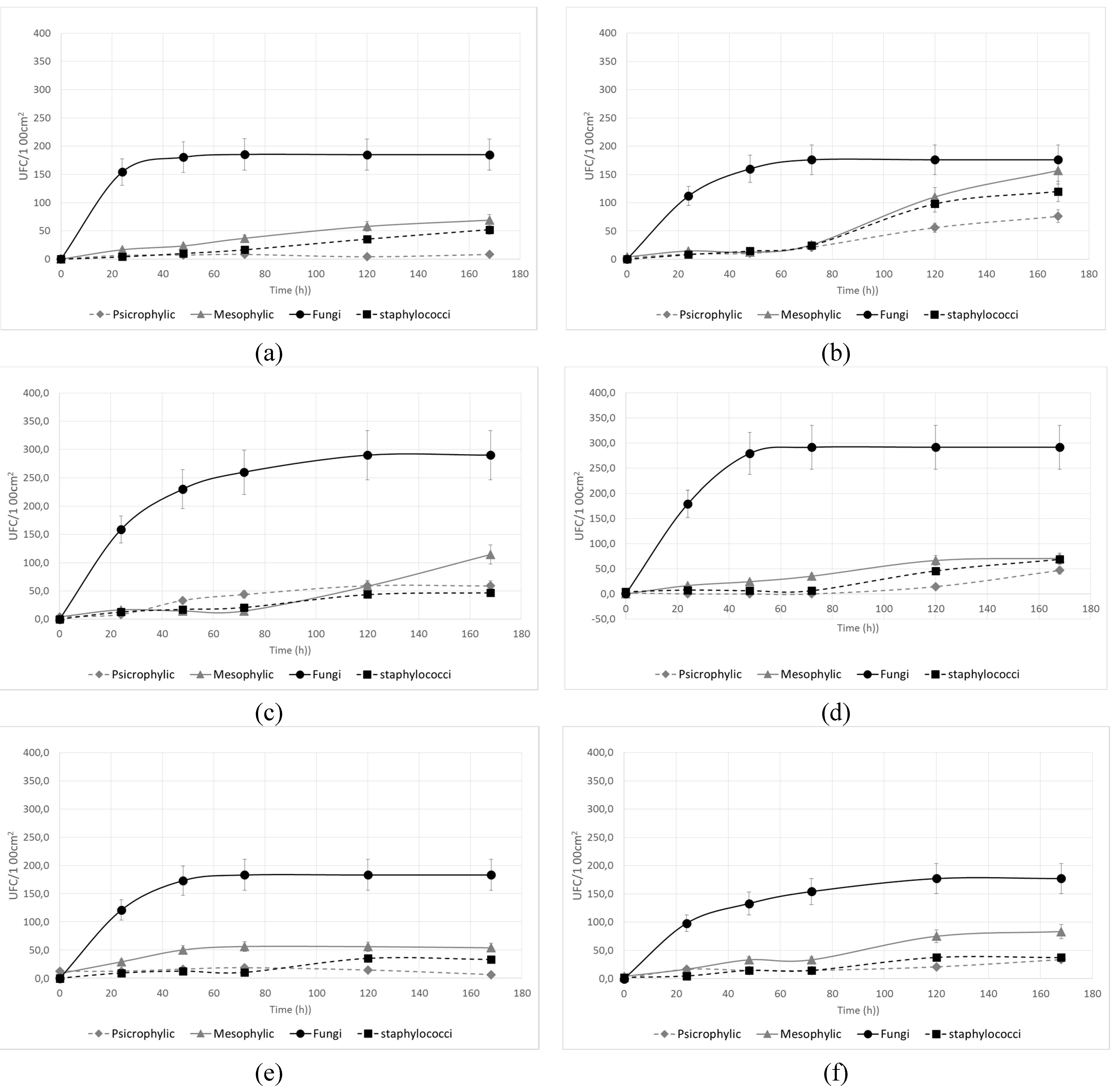
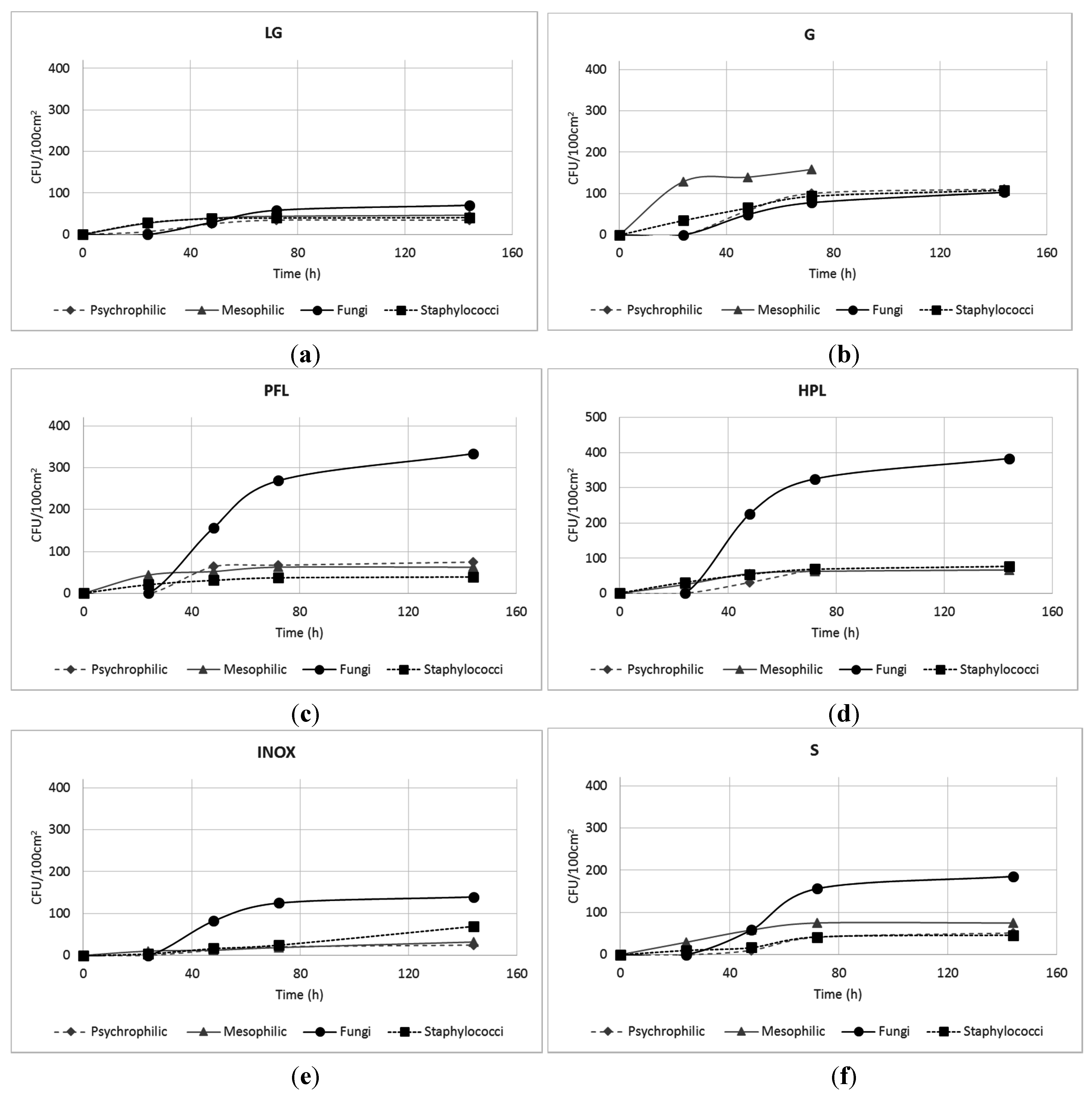
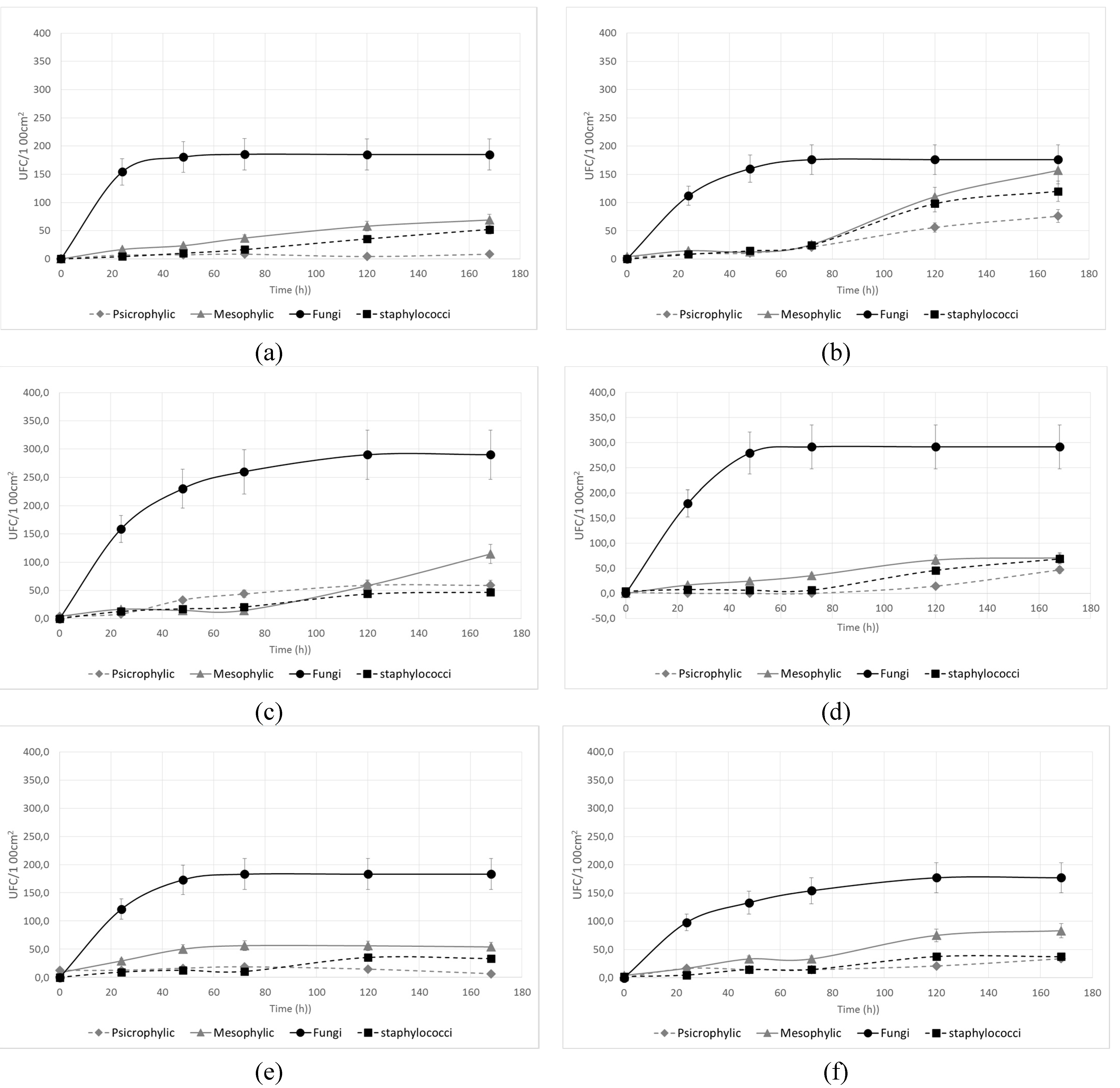
2.3. Re-Contamination Kinetics

2.4. Surface Roughness
3. Results and Discussion
3.1. Microbial Contamination of Surfaces


3.2. Microbial Re-Contamination of Surfaces after Cleaning Treatment

| Surface | Psychrophilic Bacteria | Mesophylic Bacteria | Fungi | Staphylococci | ||||
|---|---|---|---|---|---|---|---|---|
| μ (h−1) | tg (h) | μ (h−1) | tg (h) | μ (h−1) | tg (h) | μ (h−1) | tg (h) | |
| Fine porcelain stoneware (LG) | 0.013 | 54.9 | 0.025 | 27.5 | 0.210 | 3.3 | 0.033 | 21.0 |
| Post-forming laminate (PFL) | 0.049 | 14.2 | 0.028 | 24.5 | 0.211 | 3.2 | 0.023 | 30.2 |
| Stainless steel (INOX) | 0.041 | 17.0 | 0.056 | 12.3 | 0.200 | 3.4 | 0.030 | 23.3 |
| Glass (G) | 0.056 | 12.4 | 0.065 | 10.6 | 0.197 | 3.5 | 0.064 | 10.8 |
| High-performing laminate (HPL) | 0.040 | 17.2 | 0.035 | 19.8 | 0.216 | 3.2 | 0.044 | 15.7 |
| Enamel steel (S) | 0.021 | 33.0 | 0.026 | 26.3 | 0.191 | 3.6 | 0.030 | 22.8 |
3.3. Effect of Surface Roughness on Microbial Deposition


| Surface | TBC (UFC/100 cm2) | TFC (UFC/100 cm2) | TMC (UFC/100 cm2) | Ra (Micron) | Rt (Micron) |
|---|---|---|---|---|---|
| Fine porcelain stoneware (LG) | 96.89 ± 15.23 | 70.30 ± 20.12 | 167.19 ± 32.96 | 0.102 ± 0.004 | 1.813 ± 0.186 |
| Post-forming laminate (PFL) | 177.43 ± 25.56 | 333.35 ± 45.58 | 510.82 ± 47.00 | 1.660 ± 0.108 | 3.030 ± 0.735 |
| Stainless steel (INOX) | 94.20 ± 18.52 | 139.58 ± 33.69 | 233.78 ± 45.56 | 0.160 ± 0.008 | 13.556 ± 1.850 |
| Glass (G) | 377.05 ± 45.78 | 103.02 ± 17.56 | 480.05 ± 57.55 | 0.00020 ± 1.09E-05 | 0.019 ± 0.006 |
| High-performing laminate (HPL) | 214.15 ± 35.41 | 383.33 ± 54.50 | 597.48 ± 77.68 | 2.337 ± 0.074 | 20.075 ± 2.605 |
| Enamel steel (S) | 122.00 ± 19.12 | 185.41 ± 34.89 | 303.87 ± 38.22 | 0.197 ± 0.051 | 4.220 ± 1.225 |
4. Conclusions
Acknowledgments
Author Contributions
Conflicts of Interest
References
- Cherrie, J.; Howie, R.; Semple, S. Monitoring for Health Hazards at Work, 4th ed.; Wiley-Blackwell Ltd: Oxford, UK, 2010; pp. 1–12. [Google Scholar]
- Bernstein, J.A.; Alexis, N.; Bacchus, H.; Bernstein, I.L.; Fritz, P.; Horner, E.; Tarlo, S.M. The health effects of nonindustrial indoor air pollution. J. Allergy Clin. Immun. 2008, 121, 585–591. [Google Scholar] [CrossRef] [PubMed]
- Jones, A.P. Indoor air quality and health. Atmos. Environ. 1999, 33, 4535–4564. [Google Scholar] [CrossRef]
- Jurado, S.R.; Bankoff, A.D.P.; Sanchez, A. Indoor air quality in Brasilian universities. Int. J. Environ. Res. Public Health 2014, 11, 7081–7093. [Google Scholar] [CrossRef] [PubMed]
- Bouillard, L.; Michel, O.; Dramaix, M.; Devleeschouwer, M. Bacterial contamination of indoor air, surfaces and settled dust and related dust endotoxins concentration in healthy offices buildings. Ann. Agr. Env. Med. 2005, 12, 187–192. [Google Scholar]
- Burge, H. Bioaerosol-prevalence and health effects in the indoor environment. J. Allergy Clin. Immun. 1990, 86, 687–701. [Google Scholar] [CrossRef]
- Mandal, J.; Brandl, H. Bioaerosols in Indoor Environment—A Review with Special Reference to Residential and Occupational Locations. Available online: http://www.researchgate.net/publication/215792301_Bioaerosols_in_Indoor_Environment_-_A_Review_with_Special_Reference_to_Residential_and_Occupational_Locations (accessed on 15 July 2015).
- Whyte, W. In support of settle plates. J. Pharma. Sci. Tech. 1996, 50, 201–204. [Google Scholar]
- Pasquarella, C.; Pitzurra, O.; Savino, C. The index of microbial air contamination. J. Hosp. Infect. 2000, 46, 241–256. [Google Scholar] [CrossRef] [PubMed]
- Friberg, B.; Friberg, S.; Burman, L.G. Coorelation between surface and air counts of particles carrying aerobic bacteria in operating rooms with turbulent ventilation: An experimental study. J. Hosp. Infect. 1999, 42, 61–68. [Google Scholar] [CrossRef] [PubMed]
- Mitchell, C.S.; Zhang, J.J.; Sigsgaard, T.; Jantunen, M.; Lioy, P.J.; Samson, R.; Karol, M.H. Current state of the science: Health effects and indoor environmental quality. Environ. Health Persp. 2007, 115, 958–964. [Google Scholar] [CrossRef] [PubMed]
- Tufenkji, N.; Redman, J.A.; Elimelech, A. Interpreting Deposition Patterns of Microbial Particles in Laboratory-Scale column Experiments. Environ. Sci. Technol. 2003, 37, 616–623. [Google Scholar]
- Bruce, N.; Perez-Padilla, R.; Albalak, R. Indoor air pollution in developing countries: A major environmental and public health challenge. B. World Health Org. 2000, 78, 1078–1092. [Google Scholar]
- Lai, A.C.; Nazaroff, W.W. Modeling indoor particle deposition from turbulent flow onto smooth surfaces. J. Aerosol Sci. 2000, 31, 463–476. [Google Scholar] [CrossRef]
- Ismaïl, R.; Aviat, F.; Michel, V.; Le Bayon, I.; Gay-Perret, P.; Kutnik, M.; Fédérighi, M. Methods for Recovering Microorganisms from Solid Surfaces Used in the Food Industry: A Review of the Literature. Int. J. Environ. Res. Public Health 2013, 10, 6169–6183. [Google Scholar] [CrossRef] [PubMed]
- Mendell, M.J.; Heath, G.A. Do indoor pollutants and thermal conditions in schools influence student performance? A critical review of the literature. Indoor Air 2004, 15, 27–52. [Google Scholar] [CrossRef] [PubMed]
- Sansone, E.B. Redispersion of Indoor Surface Contamination and Its Implications. In Treatise on clean surface technology; Springer-Verlag: New York, NY, USA, 1987; Volume 1, pp. 261–290. [Google Scholar]
- Sturm, R. Modeling the deposition of bioaerosols with variable size and shape in the human respiratory tract–A review. J. Adv. Res. 2012, 3, 295–304. [Google Scholar] [CrossRef]
- ISO 9000—Quality management. Available online: www.iso.org/iso/iso_9000 (accessed on 20 May 2015).
- Li, X.; Dunn, P.F.; Brach, R.M. Lycopodium spore impacts onto surfaces. Atmos. Environ. 2000, 34, 1575–1581. [Google Scholar] [CrossRef]
- Kalogerakis, N.; Paschali, D.; Lekaditis, V.; Pantidou, A.; Eleftheriadis, K.; Lazaridis, M. Indoor air quality—Bioaerosol measurements in domestic and office premises. J. Aerosol Sci. 2005, 36, 751–761. [Google Scholar] [CrossRef]
- OECD Guideline for Testing of Chemicals. Available online: http://www.oecd.org/chemicalsafety/testing/oecdguidelinesforthetestingofchemicals.htm (accessed on 29 April 2015).
- Lee, S.A.; Grinshpun, D.; Martuzevicius, A.; Adhikari, C.M.; Crawford, J. Relationship between indoor and outdoor bioaerosols collected with a button inhalable aerosol sampler in urban homes. Indoor Air 2006, 16, 37–47. [Google Scholar] [CrossRef] [PubMed]
- Dacarro, C.; Picco, A.M.; Grisoli, P.; Rodolfi, M. Determination of aerial microbiological contamination in scholastic sports environments. J. Appl. Microbiol. 2003, 95, 904–912. [Google Scholar] [CrossRef] [PubMed]
- Pirt, S.J. A kinetic study of the mode of growth of surface colonies of bacteria and fungi. J. Gen. Microbiol. 1967, 47, 181–197. [Google Scholar] [CrossRef] [PubMed]
- Sercombe, J.K.; Green, B.J.; Tovey, E.R. Recovery and identification of fungal spores from the nasal cavity. J. Allergy Clin. Immun. 2004, 113. [Google Scholar] [CrossRef]
- Vasin, V.B.; Trofimov, V.I. The experimental study of microbial contamination of the space hardware. Adv. Space Res. 1995, 15, 273–276. [Google Scholar] [CrossRef]
- Moller, S.; Kristensen, C.S.; Poulsen, L.K.; Carstensen, J.M.; Molin, S. Bacterial growth on surfaces: Automated image analysis for quantification of growth rate-related parameters. Appl. Environ. Microb. 1995, 61, 741–748. [Google Scholar]
- Davies, D.; Chakrabarty, A.; Geesey, G. Exopolysaccharide production in biofilms: Substratum activation of alginate gene expression by Pseudomonas aeruginosa. Appl. Environ. Microb. 1993, 59, 1181–1186. [Google Scholar]
- Kanaani, H.; Hargreaves, M.; Ristovski, Z.; Morawska, L. Deposition rates of fungal spores in indoor environments, factors effecting them and comparison with non-biological aerosols. Atmos. Environ. 2008, 42, 7141–7154. [Google Scholar] [CrossRef]
- Hinds, W.C. Aerosol Technology, 2nd ed.; John Wiley & Sons: Hoboken, NJ, USA, 1982. [Google Scholar]
- Thatcher, T.L.; Layton, M.M.; Revzan, K.L.; Sextro, R.G.; Brown, N.G. A Concentration Rebound Method for Measuring Particle Penetration and Deposition in the Indoor Environment. Aerosol Sci. Tech. 2003, 37, 847–864. [Google Scholar]
- Oliveira, D.L. Physico-Chemical aspects of adhesion. In Biofilms Science and Technology; Melo, L.F., Bott, T.R., Fletcher, M., Eds.; Kluwer Academic Press: Dordrecht, The Netherlands, 1992; pp. 45–61. [Google Scholar]
- Anselme, K.; Ploux, L.; Ponche, A. Cell/Material Interfacies: Influence of Surface chemistry and surface topography on cell adhesion. In Surface and Interfacial Aspects of Cell Adhesion; Carrè, A., Mittal, K.L., Eds.; CRC Press: Boca Raton, FL, USA, 2011; pp. 43–65. [Google Scholar]
- Crawford, R.J.; Webb, H.K.; Truong, V.K.; Hasan, J.; Ivanova, E.P. Surface topographical factors influencing bacterial attachment. Adv. Colloid Interfac. 2012, 9, 179–182. [Google Scholar] [CrossRef] [PubMed]
- Palmer, J.; Flint, S.; Brooks, J. Bacterial cell attachment, the beginning of a biofilm. J. Ind. Microbial. Biot. 2007, 34, 577–588. [Google Scholar] [CrossRef] [PubMed]
- Hsu, L.C.; Fang, J.; Borca-Tasciuc, D.A.; Worobo, R.W.; Moraru, C.I. Effect of micro-and nanoscale topography on the adhesion of bacterial cells to solid surfaces. Appl. Environ. Microb. 2013, 79, 2703–2712. [Google Scholar] [CrossRef] [PubMed]
- Friedlander, R.S.; Vlamakis, H.; Kim, P.; Khan, M.; Kolter, R.; Aizenberg, J. Bacterial flagella explore microscale hummocks and hollows to increase adhesion. P. Natl. Acad. Sci.USA 2013, 110, 5624–5629. [Google Scholar] [CrossRef] [PubMed]
- Tuson, H.H.; Weibel, D.B. Bacteria–surface interactions. Soft matter 2013, 9, 4368–4380. [Google Scholar] [CrossRef] [PubMed]
- Elbah, M.; Yallese, M.A.; Aouici, H.; Mabrouki, T.; Rigal, J.F. Comparative assessment of wiper and conventional ceramic tools on surface roughness in hard turning AISI 4140 steel. Measurement 2013, 46, 3041–3056. [Google Scholar] [CrossRef]
- Kaufmann, K.; Wick, L.Y.; Wanner, O.; Harms, H. Influence of the surface topography of stainless steel on bacterial adhesion. Biofouling 2002, 18, 193–203. [Google Scholar]
- Verran, J.; Boyd, R.D. The relationship between substratum surface roughness and microbiological and organic soiling: A review. Biofouling 2001, 17, 59–71. [Google Scholar] [CrossRef]
- Whitehead, K.A.; Colligon, J.; Verran, J. Retention of microbial cells in substratum surface features of micrometer and sub-micrometer dimensions. Colloid. Surface. B. 2005, 41, 129–138. [Google Scholar] [CrossRef] [PubMed]
- Wiencek, K.M.; Fletcher, M. Effects of substratum wettability and molecular topography on initial adhesion of bacteria to chemically defined substrata. Biofouling 1997, 11, 293–311. [Google Scholar] [CrossRef]
- Lampin, M.; Warocquier-Clérout, R.; Legris, C.; Degrange, M.; Sigot-Luizard, M.F. Correlation between substratum roughness and wettability, cell adhesion, and cell migration. J. Biomed. Mater. Res. 1997, 36, 99–108. [Google Scholar] [CrossRef]
- Zhang, X.; Wang, L.; Levänen, E. Superhydrophobic surfaces for the reduction of bacterial adhesion. RSC Adv. 2013, 3, 12003–12020. [Google Scholar] [CrossRef]
- Whitehead, K.A.; Olivier, S.; Benson, P.S.; Arneborg, N.; Verran, J.; Kelly, P. The effect of surface properties of polycrystalline, single phase metal coatings on bacterial retention. Int. J. Food Microbiol. 2015, 197, 92–97. [Google Scholar] [CrossRef] [PubMed]
- Adamczyk, Z.; Weronski, P. Application of the DLVO theory for particle deposition problems. Adv. Colloid Interfac. 1999, 83, 137–226. [Google Scholar]
- Katsikogianni, M.; Missirlis, Y.F. Concise review of mechanisms of bacterial adhesion to biomaterials and of techniques used in estimating bacteria-material interactions. Eur. Cells Mater. 2004, 8, 37–57. [Google Scholar]
- Boulané-Petermann, L. Processes of bioadhesion on stainless steel surfaces and cleanability: A review with special reference to the food industry. Biofouling 1996, 10, 275–300. [Google Scholar] [CrossRef] [PubMed]
- Flint, S.H.; Brooks, J.D.; Bremer, P.J. Properties of the stainless steel substrate, influencing the adhesion of thermo-resistant streptococci. J. Food Eng. 2000, 43, 235–242. [Google Scholar] [CrossRef]
- Díaz, C.; Cortizo, M.; Schilardi, P.; Gomez de Saravia, S.; Fernández Lorenzo de Mele, M.A. Influence of the Nano-micro structure of the surface on bacterial adhesion. Mater. Res. 2007, 10, 11–14. [Google Scholar] [CrossRef]
- Olsson, C.O.A.; Landolt, D. Passive films on stainless steels chemistry, structure and growth. Electrochimica Acta 2003, 48, 1093–1104. [Google Scholar] [CrossRef]
- McCafferty, E. Relationship between the isoelectric point (pHpzc) and the potential of zero charge (Epzc) for passive metals. Electrochimica Acta 2010, 55, 1630–1637. [Google Scholar] [CrossRef]
- Governance. Available online: www.who.int/governance (accessed on 29 April 2015).
© 2015 by the authors; licensee MDPI, Basel, Switzerland. This article is an open access article distributed under the terms and conditions of the Creative Commons Attribution license (http://creativecommons.org/licenses/by/4.0/).
Share and Cite
Tamburini, E.; Donegà, V.; Marchetti, M.G.; Pedrini, P.; Monticelli, C.; Balbo, A. Study on Microbial Deposition and Contamination onto Six Surfaces Commonly Used in Chemical and Microbiological Laboratories. Int. J. Environ. Res. Public Health 2015, 12, 8295-8311. https://doi.org/10.3390/ijerph120708295
Tamburini E, Donegà V, Marchetti MG, Pedrini P, Monticelli C, Balbo A. Study on Microbial Deposition and Contamination onto Six Surfaces Commonly Used in Chemical and Microbiological Laboratories. International Journal of Environmental Research and Public Health. 2015; 12(7):8295-8311. https://doi.org/10.3390/ijerph120708295
Chicago/Turabian StyleTamburini, Elena, Valentina Donegà, Maria Gabriella Marchetti, Paola Pedrini, Cecilia Monticelli, and Andrea Balbo. 2015. "Study on Microbial Deposition and Contamination onto Six Surfaces Commonly Used in Chemical and Microbiological Laboratories" International Journal of Environmental Research and Public Health 12, no. 7: 8295-8311. https://doi.org/10.3390/ijerph120708295
APA StyleTamburini, E., Donegà, V., Marchetti, M. G., Pedrini, P., Monticelli, C., & Balbo, A. (2015). Study on Microbial Deposition and Contamination onto Six Surfaces Commonly Used in Chemical and Microbiological Laboratories. International Journal of Environmental Research and Public Health, 12(7), 8295-8311. https://doi.org/10.3390/ijerph120708295

