The Impact of Out-of-Pocket Payments on Health Care Inequity: The Case of National Health Insurance in South Korea
Abstract
:1. Introduction
| Institutional Structure | Contents |
|---|---|
| Financing resources and organization | Compulsory social health insurance based contribution (80%) |
| Population Coverage | About 97% of total population |
| Benefit coverage | Most curative services and drugs |
| Out-of-pocket payments (e.g., As of 2009, direct OOPs accounted for about 35% of total treatment cost at the use of health care service which comprised 22% as the full payment for of non-covered service and 13% as copayments for covered service) | Covered services: copayment rates and total cost
Non-covered services
Some protection measures from high OOPs
|
| Health care provider payment mechanism | Fee for service payments (in principal) Prospective payments based on the Diagnostic Related Group (DRG) for several diseases, voluntary participation of hospitals |
| Health care delivery systems | About 90% of health care services provided by private sector No gatekeeper system for the coordination among providers Patients’ unconstrained freedom in choose providers & competitive settings |
2. Methods
2.1. Data Source
2.2. Measurement & Statistics
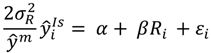
2.2.1. Differences in Health Care Utilization among Income Groups
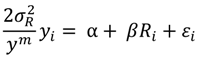
2.2.2. Differences in OOPs per Clinic Visit and per Inpatient Day among Income Groups
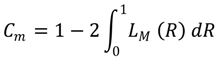
2.2.3. Catastrophic Health Care Expenditure and Impoverishment that Results from Paying for Health Care
3. Results
3.1. Differences in Health Care Service Use among Income Groups
| Survey | Year | Sample Size | Response Rate (%) | Inclusion Criteria | Survey Content |
|---|---|---|---|---|---|
| Fourth National Health and Nutrition Examination Survey (KNHNES-IV) | 2007 | 4594 (individual) | 71.2 | Individuals aged 20 and over except for dental clinic or hospital admission | Demographic characteristics Socioeconomic characteristics Self-rated health status |
| Frequency of visit to physician’s offices, clinics or outpatient clinics at hospitals in the previous two weeks (self-reported) | |||||
| Frequency of admission to an acute hospital in the previous year (self-reported) | |||||
| Direct out-of-pocket health care payments for the use of outpatient and inpatient services | |||||
| Korean Household Income and Expenditure Survey (KHIES) | 2007 | 8700 (households) | 80 | Households in urban areas and with family numbers of two or more | Household status with the number of family members, occupation and industry of the head of household and the spouse, the type of dwelling, etc. |
| Household income related items Household expenditure related items including food and medical service |
| Service Category | Outpatient | Inpatient | ||||
|---|---|---|---|---|---|---|
| Average Frequency of Clinic Visits or Hospital Admissions) | 0.549 | 0.113 | ||||
| Parameters | Estimates | 95% CI | Estimates | 95% CI | ||
| Cm (actual use) | −0.114 | −0.134 | −0.094 | −0.073 | −0.104 | −0.042 |
| Cn (need-expected use) | −0.106 | −0.111 | −0.102 | −0.079 | −0.083 | −0.076 |
| HIwv ( use after standardizing the differences in need and others *) | −0.006 | −0.025 | 0.014 | 0.007 | −0.024 | 0.037 |
3.2. Differences in OOPs per Outpatient Visit and per Inpatient Day among Income Groups
| Service Category | Outpatient | |||||
|---|---|---|---|---|---|---|
| Income Group | No. | Mean | SD | Median | Ratio | 95% CI |
| V | 728 | 7.74 | 8.94 | 3.96 | 1.00 | |
| IV | 679 | 6.90 | 8.17 | 3.66 | 0.89 | 0.79–1.00 |
| III | 755 | 6.43 | 7.25 | 3.76 | 0.93 | 0.82–1.05 |
| II | 803 | 5.63 | 6.80 | 3.41 | 0.83 | 0.74–0.94 |
| I | 990 | 4.73 | 6.57 | 2.03 | 0.75 | 0.66–0.85 |
| Total | 3955 | 6.16 | 7.58 | 3.49 | ||
| Service category | Inpatient | |||||
| Income Group | No. | Mean | SD | Median | Ratio | 95% CI |
| V | 270 | 193.52 | 317.55 | 126.67 | 1.00 | |
| IV | 279 | 178.78 | 255.15 | 123.33 | 1.00 | 0.85–1.19 |
| III | 243 | 158.12 | 186.51 | 101.16 | 0.87 | 0.73–1.04 |
| II | 251 | 147.75 | 188.82 | 97.43 | 0.91 | 0.76–1.08 |
| I | 294 | 181.57 | 460.79 | 76.67 | 0.59 | 0.51–0.68 |
| Total | 1337 | 172.79 | 306.53 | 101.25 | ||
3.3. Distribution of Households with Catastrophic Health Expenditure across Income Groups


4. Discussion and Conclusions
Acknowledgments
Author Contributions
Conflicts of Interest
References
- Busse, R.; Schlette, S. Health Policy Developments Issue 7/8. In Focus on Prevention, Health and Aging, New Health Professions; Verlag Bertelsmann Stiftung: Gütersloh, German, 2007; pp. 71–94. [Google Scholar]
- World Health Organization. What is Universal Coverage? Available online: http://www.who.int/health_financing/universal_coverage_definition/en/ (accessed on 18 May 2014).
- The World Health Report 2008: Primary Health Care—Now More than Ever; World Health Orgainzation: Geneva, Switzerland, 2008; Chapter 2; pp. 23–40.
- The World Health Report: Health Systems Financing: The Path to Universal Coverage; World Health Organization: Geneva, Switzerland, 2010; Chapter 1; pp. 1–17.
- Savedoff, W.D.; de Frerranti, D.; Smith, A.L.; Fan, V. Political and economic aspects of the transition to universal health coverage. Lancet 2012, 380, 924–932. [Google Scholar] [CrossRef]
- Mills, A. Literature Review of Health Systems Knowledge Network: Strategies to Achieve Universal Coverage: Are There Lessons from Middle Income Countries. Available online: http://www.who.int/social_determinants/resources/csdh_media/universal_coverage_2007_en.pdf (accessed on 13 February 2014).
- United Nations Millennium Project. A Practical Plan to Achieve the Millennium Development Goals; The United Nations: New York, NY, USA, 2005; Chapter 5; p. 66. [Google Scholar]
- Feldstein, M.S. The welfare loss of excess health insurance. J. Polit. Econ. 1973, 81, 251–280. [Google Scholar]
- Aron-Dine, A.; Einav, L.; Finkelstein, A. The RAND health insurance experiment, three decades later. J. Econ. Perspect. 2013, 27, 197–222. [Google Scholar] [CrossRef]
- Maldovsky, P.; Srivastava, D.; Cylus, J.; Karanikolos, M.; Evetovits, T.; Thomson, S.; Mckee, M. Health Policy Responses to the Finacial Crisis in Europe. Available online: http://www.euro.who.int/en/what-we-do/data-and-evidence/evidenceinformed-policymaking/publications/2012/health-policy-responses-to-the-financial-crisis-in-europe (accessed on 13 January 2014).
- Carrin, G.; James, C. Social health insurance: Key factors affecting the transition towards univesal coverage. Int. Soc. Secur. Rev. 2005, 58, 45–64. [Google Scholar] [CrossRef]
- OECD Health Data 2012; OECD: Paris, France, 2012.
- National Health Insurance Corporation & Health Insurance Review Agency. 2012 Natioinal Health Insurance Statistical Yearbook; National Health Insurance Corporation: Seoul, South Korea, 2013. [Google Scholar]
- Survey of Out-of-Pocket Payment of Patients in 2011; National Health Insurance Corporation: Seoul, South Korea, 2013; pp. 55–56.
- Income-Related Inequality in the Use of Medical Care in 21 OECD Countries; Van Doorslaer, E.; Masseria, C. (Eds.) OECD: Paris, France, 2004; pp. 8–12.
- Wagstaff, A.; van Doorslaer, E. Measuring and testing for inequity in the delivery of health care. J. Hum. Resour. 2000, 35, 716–733. [Google Scholar] [CrossRef]
- Wagstaff, A.; van Doorslaer, E. Catastrophe and impoverishement in paying for health care: With applications to Vietnam 1993–1998. Health Economics 2003, 12, 921–934. [Google Scholar] [CrossRef]
- Devaux, M.; de Looper, M. Income-Related Inequalities in Health Service Utilisation in 19 OECD Countries, 2008–2009. Available online: http://dx.doi.org/10.1787/5k95xd6stnxt-en (accessed on 6 May 2014).
- Barraza-Lloréns, M.; Panopoulou, G.; Díaz, B.Y. Income-related inequalities and inequities in health and health care utilization in Mexico, 2000–2006. Pan Amer. J. Public Health 2013, 3, 122–130. [Google Scholar]
- Lu, J.R.; Leung, G.M.; Kwon, S.; Tin, Y.K.K.; van Doorslaer, E.; O’Donell, O. Horizontal equity in health care utilization evidence from three high-income Asian economies. Soc. Sci. Med. 2007, 64, 199–212. [Google Scholar] [CrossRef]
- Salinas, J.J.; Snih, A.S.; Markides, K.; Ray, L.A.; Angel, R.J. The rural-urban divide: Health service utilization among older Mexicans in Mexico. J. Rural Health 2010, 26, 333–341. [Google Scholar] [CrossRef]
- Schoen, C.; Osborn, R.; Squires, D.; Doty, M.M.; Pierson, R.; Applebaum, S. How health insurance design affects access to care and costs by income, in eleven countries. Health Affair. 2010, 29, 2323–2333. [Google Scholar] [CrossRef]
- Kim, C.W.; Lee, S.Y.; Hong, S.C. Equity in utilization of cancer inpatient services by income classes. Health Policy 2005, 72, 187–200. [Google Scholar] [CrossRef]
- Yoon, T.H.; Lee, S.Y.; Kim, C.W.; Kim, S.Y.; Jeong, B.G.; Park, H.K. Inequalities in medical care utilization by South Korean cancer patients according to income: A retrospective cohort study. Int. J. Health Serv. 2011, 41, 51–66. [Google Scholar] [CrossRef]
- Friesner, D.; Rosenman, R. The relationship between service intensity and the quality of health care: An exploratory data analysis. Health Serv. Manage. Res. 2005, 18, 41–52. [Google Scholar] [CrossRef]
- Hussey, P.S.; Wertheimer, S.; Mehrotra, A. The association between health care quality and cost. Ann. Intern. Med. 2013, 158, 27–34. [Google Scholar] [CrossRef]
- Jones, R.S. Health care reform in Korea. In Economics Department Working Papers, 797; OECD: Paris, France; pp. 25–26.
- Xu, K.; Jeon, H.S.; Saksena, P.; Shin, J.W.; Mathauer, I.; Evans, D. Financial Risk Protection of Nation Health Insurance in the Republic of Korea: 1995–2007. Available online: http://www.who.int/healthsystems/topics/financing/healthreport/23RepKorXU.pdf (accessed on 10 May 2014).
- James, C.D.; Hanson, K.; Mcpake, B.; Balabanova, D.; Gwatkin, D.; Hopwood, I.; Xu, K. To retain or remove user fees? Reflections on the current debate in low- and middle-income countries. Appl. Health Econ. Health Policy 2006, 5, 137–153. [Google Scholar] [CrossRef]
- Orem, J.N.; Mugisha, F.; Kirunga, C.; Macq, J.; Criel, B. Abolition of user fees: The Uganda paradox. Health Policy Plann. 2011, 26, 41–56. [Google Scholar]
- Chan, M. Opening Remarks at a WHO/World Bamk Ministerial-Level Meeting on Univeral Health Coverage, 2013. Available online: http://www.who.int/dg/speeches/2013/universal health coverage/en/ (accessed on 5 May 2014).
- Kakwani, N.; van Doorslaer, E.; Wagstaff, A. Socio-economic inequalities in health: Measurement, computation and statistical inference. J. Econ. 1997, 77, 87–104. [Google Scholar] [CrossRef]
Appendix
, where wi is the sampling weight, w0 = 0 and N is the sample size) and
is the weighted variance of Ri.. The rank of an individual out of the sample in the income distribution was determined by the equivalized income of his or her household using old OECD equivalence. This approach was used to assigns a value of 1 to the first household adult member, a value of 0.7 to each additional adult and a value of 0.5 to each child aged 14 or less.
© 2014 by the authors; licensee MDPI, Basel, Switzerland. This article is an open access article distributed under the terms and conditions of the Creative Commons Attribution license (http://creativecommons.org/licenses/by/3.0/).
Share and Cite
Lee, W.-Y.; Shaw, I. The Impact of Out-of-Pocket Payments on Health Care Inequity: The Case of National Health Insurance in South Korea. Int. J. Environ. Res. Public Health 2014, 11, 7304-7318. https://doi.org/10.3390/ijerph110707304
Lee W-Y, Shaw I. The Impact of Out-of-Pocket Payments on Health Care Inequity: The Case of National Health Insurance in South Korea. International Journal of Environmental Research and Public Health. 2014; 11(7):7304-7318. https://doi.org/10.3390/ijerph110707304
Chicago/Turabian StyleLee, Weon-Young, and Ian Shaw. 2014. "The Impact of Out-of-Pocket Payments on Health Care Inequity: The Case of National Health Insurance in South Korea" International Journal of Environmental Research and Public Health 11, no. 7: 7304-7318. https://doi.org/10.3390/ijerph110707304
APA StyleLee, W.-Y., & Shaw, I. (2014). The Impact of Out-of-Pocket Payments on Health Care Inequity: The Case of National Health Insurance in South Korea. International Journal of Environmental Research and Public Health, 11(7), 7304-7318. https://doi.org/10.3390/ijerph110707304
