Effects of Simulated Heat Waves on ApoE-/- Mice
Abstract
:1. Introduction
2. Experimental Section
2.1. Meteorological Environmental Simulation Chamber
2.2. Modeling and Grouping of Animals

2.3. Establishment of a Heat Wave Model
2.4. Experimental Scheme
2.5. Statistical Analysis
3. Results and Discussion
3.1. Results
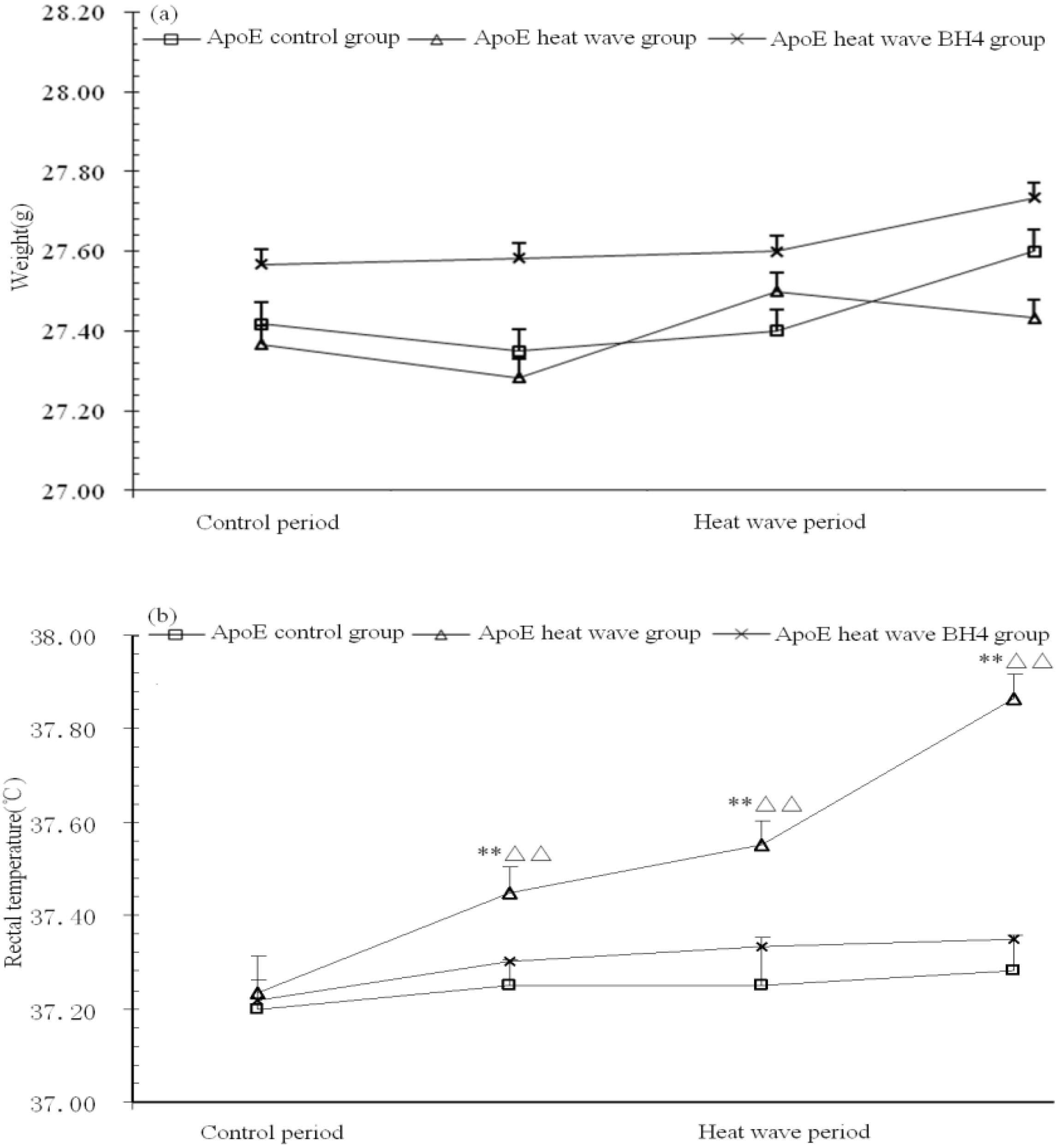
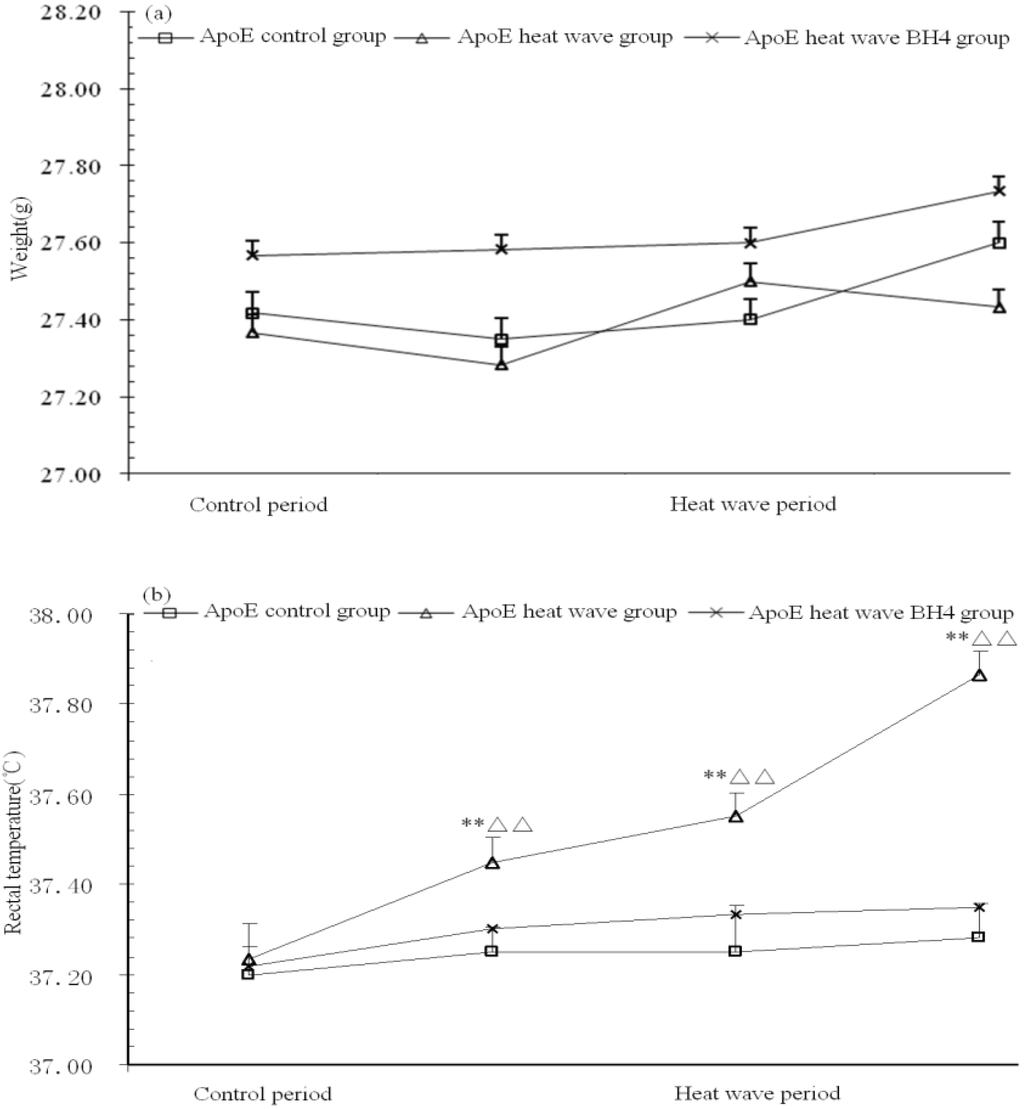
3.1.1. Body Weight and Rectal Temperature

3.1.2. SOD Activity

3.1.3. Levels of ET-1, NO, and ET-1/NO
| Group(s) | ET-1 (ng/L) | NO (μmol/L) | NO/ET-1 (%) | ||
|---|---|---|---|---|---|
| Mean ± SE | Control | 167.84 ± 8.59 | 52.17 ± 5.92 | 31.13 ± 3.57 | |
| Heat wave | 165.82 ± 8.77 | 62.53 ± 5.07 | 37.84 ± 4.22 | ||
| Heat wave BH4 | 166.93 ± 12.98 | 96.99 ± 6.45 | 58.32 ± 5.05 | ||
| P value | of ANOVA among | the all three groups | 0.945 | 0.000 | 0.000 |
| of post hoc test between | Control & heat wave | - | 0.008 | 0.017 | |
| Control & heat wave BH4 | - | 0.000 | 0.000 | ||
| Heat wave & heat wave BH4 | - | 0.000 | 0.000 | ||
3.2. Discussion
4. Conclusions
Acknowledgments
Author Contributions
Conflicts of Interest
References
- Zhang, S. Medical Meteorological Forecast, 1st ed.; China Meteorological Press: Beijing, China, 2010; pp. 46–47. [Google Scholar]
- Ye, D.; Yang, X.; Wu, G. Meteorological evaluating models of coronary heart disease incidence in Beijing area. Meteorol. Sci. Technol. 2005, 33, 565–569. [Google Scholar]
- Zhang, G.; Zha, L. Analysis on the future tendency of climate change in Nanjing in the last 50 years. J. Anhui Norm. Univ. 2008, 31, 580–584. [Google Scholar]
- Xu, X.; Zheng, Y.; Yin, J.; Wu, R. Characteristics of high temperature and heat wave in Nanjing City and their impacts on human health. Chin. J. Ecol. 2011, 30, 2815–2820. [Google Scholar]
- Zheng, Y.; Ding, X.; Wu, R.; Yin, J. Temporal and spatial feature analyses of summer high temperature and heat wave in Jiangsu Province in past 50 years. J. Natur. Disast. 2012, 21, 43–50. [Google Scholar]
- Cheng, J.; Li, J.; Tian, Z.; Hu, H. Observation on blood-lipoid and histopathological changes of aortic root in apolipoprotein-E knockout mice and C57BL/6J mice fed with feed rich in fat. Lab. Animal Sci. 2008, 25, 4–6. [Google Scholar]
- Pan, Y.; Hu, J.; Li, D.; Pan, Z.; Wang, Y. Effects of ApoE polymorphism on plasma lipid levels and coronary disease. J. Clin. Intern. Med. 2001, 18, 267–269. [Google Scholar]
- Li, X.; Mao, W.; Wu, H.; Chen, Q. Experimental study on the effect of “Denglao Guanxin Capsule” on atherosclerotic plaque. Prac. Pharm. Clin. Remed. 2012, 15, 616–617. [Google Scholar]
- Zhu, B. Tetrahydrobiopterin and cardiovascular disease. Med. Recapitul. 2009, 15, 511–513. [Google Scholar]
- Zhu, W.; Zhang, S.; Tian, Y.; Luo, B.; Wang, B. Effects of heat wave on ET-1, NO and body temperature in ApoE-deficient mice. Sci. Technol. Eng. 2013, 13, 4626–4630. [Google Scholar]
- Tian, Y.; Zhang, S.; Zhu, W.; Luo, B.; Wang, B. Effects of heat wave mice and the on body temperature in protection of BH4. Sci. Technol. Eng. 2013, 13, 6564–6568. [Google Scholar]
- Li, Z.; Zhao, A. Clinical investigation of fluctuation of CNP, ET, NO in blood of old male patients with CHD. J. Prac. Med. Tech. 2008, 15, 976–977. [Google Scholar]
- Yang, H.; Qu, X.; Chen, G. Clinical study of relationship between chronic cardiac insufficiency and lipoid superoxide. Mil. Med. J. South China 2004, 18, 9–11. [Google Scholar]
- Fu, L.; Li, L.; Jia, L.; Ji, S.; Huang, J.; Jia, S.; Liu, W. Relationship of nitric oxide, activities of antioxidase and atherosclerosis. Henan Med. Res. 2001, 10, 301–305. [Google Scholar]
- Li, J.; Zhu, G. The relationship of hyperthermy to the SOD and LPO. Modern Prev. Med. 1993, 20, 97–98. [Google Scholar]
© 2014 by the authors; licensee MDPI, Basel, Switzerland. This article is an open access article distributed under the terms and conditions of the Creative Commons Attribution license (http://creativecommons.org/licenses/by/3.0/).
Share and Cite
Wang, C.; Zhang, S.; Tian, Y.; Wang, B.; Shen, S. Effects of Simulated Heat Waves on ApoE-/- Mice. Int. J. Environ. Res. Public Health 2014, 11, 1549-1556. https://doi.org/10.3390/ijerph110201549
Wang C, Zhang S, Tian Y, Wang B, Shen S. Effects of Simulated Heat Waves on ApoE-/- Mice. International Journal of Environmental Research and Public Health. 2014; 11(2):1549-1556. https://doi.org/10.3390/ijerph110201549
Chicago/Turabian StyleWang, Chunling, Shuyu Zhang, Ying Tian, Baojian Wang, and Shuanghe Shen. 2014. "Effects of Simulated Heat Waves on ApoE-/- Mice" International Journal of Environmental Research and Public Health 11, no. 2: 1549-1556. https://doi.org/10.3390/ijerph110201549
APA StyleWang, C., Zhang, S., Tian, Y., Wang, B., & Shen, S. (2014). Effects of Simulated Heat Waves on ApoE-/- Mice. International Journal of Environmental Research and Public Health, 11(2), 1549-1556. https://doi.org/10.3390/ijerph110201549
