Childhood Acute Respiratory Infections and Household Environment in an Eastern Indonesian Urban Setting
Abstract
:1. Introduction
2. Materials and Methods
2.1. Cross-Sectional Surveys
2.2. Preliminary Case-Control Study
2.3. Residential PM Measurement
2.4. Statistical Analysis
3. Results
3.1. Children’s Respiratory Status
3.2. Household Income
3.3. Maternal Characteristics
| Household Environment | Cross-Sectional | Preliminary Case-Control | ||
|---|---|---|---|---|
| Overall n = 459 | p-value (Coughing) | Overall n = 61 | p-value (Pneumonia) | |
| Household income | ||||
| Median, IDR | 1,950,000 | 0.62 | 2,000,000 | 0.50 |
| <IRD 1,520,000 | 209 (45.3) * | 0.47 | 19 (31.3) | 0.92 |
| <IRD 600,000 | 24 (5.2) | 0.78 | 3 (4.9) | 0.61 |
| Mother is primary caregiver | 368 (80.1) | 0.02 | 43 (70.5) | 0.52 |
| Exclusive breast feeding to an infant | 82 (18.6) | 0.06 | -- | -- |
| Mother’s education | ||||
| Less than elementary school | 15 (8.3) | 0.37 | 2 (3.4) | 1.00 |
| Less than junior high school | 46 (25.6) | 0.25 | 9 (15.5) | 1.00 |
| Energy for cooking | ||||
| Electricity | 55 (11.9) | 0.56 | 1 (1.6) | 1.00 |
| Propane | 418 (90.7) | <0.01 | 57 (93.4) | 1.00 |
| Kerosene | 59 (12.8) | 0.23 | 10 (16.4) | 0.51 |
| Wood | 19 (4.1) | 0.49 | 4 (6.6) | 0.61 |
| Someone smokes inside house | 299 (70.9) | 0.44 | 36 (60.0) | 0.11 |
| Parental smoking | ||||
| Mother | 4 (2.8) | 1.00 | 3 (5.5) | 0.61 |
| Father | 177 (70.5) | 0.79 | 2 (66.7) | 1.00 |
| Smoking | ||||
| Nearby a woman | 100 (56.5) | 0.14 | -- | -- |
| Nearby a pregnant woman | 55 (31.1) | 0.08 | -- | -- |
| Nearby a child | 73 (41.5) | 0.56 | -- | -- |
3.4. Source of Indoor Air Pollution
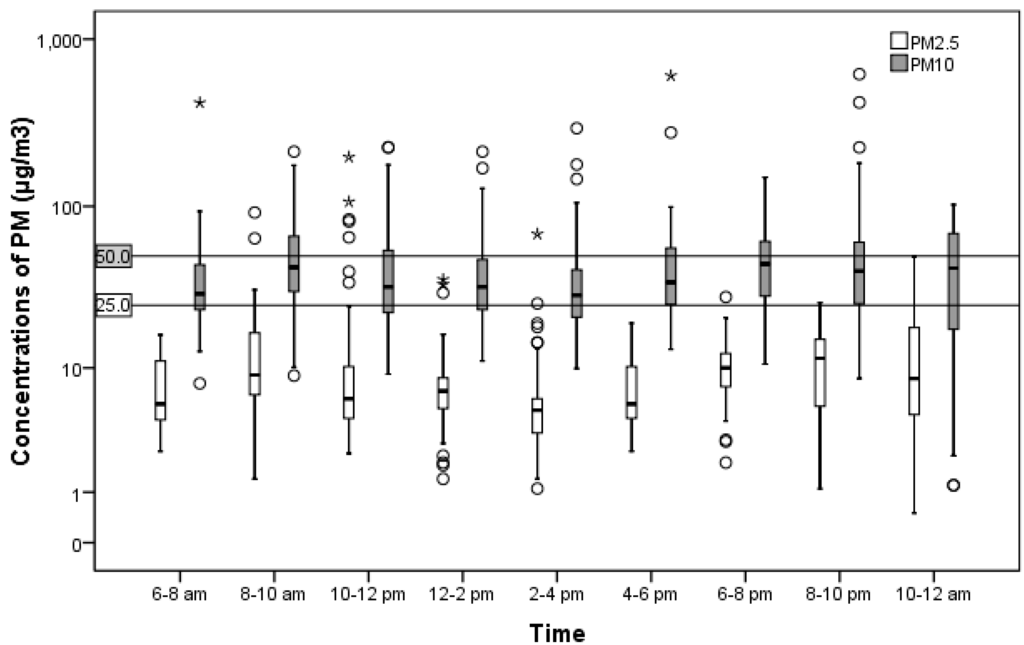
3.5. Residential PM Exposure
| PM | Overall PM (µg/m3) Range with an Average | Indoor PM (µg/m3) | Ambient PM (µg/m3) | p-value |
|---|---|---|---|---|
| PM2.5 (GS) | 0.5–35.7, x = 7.7 ± 4.9 | 7.9 ± 4.8 (n = 163) | 7.0 ± 5.0 (n = 55) | 0.23 |
| (HS) | 0.5–197, x = 10.4 ± 12.8 | 9.2 ± 10.1 (n = 538) | 9.6 ± 19.3 (n = 135) | 0.71 |
| PM10 (GS) | 7.7–576, x = 50.2 ± 45.1 | 49.2 ± 26.9 (n = 163) | 53.2 ± 77.5 (n = 55) | 0.57 |
| (HS) | 1.2–618, x = 48.8 ± 53.2 | 44.1 ± 53.8 (n = 538) | 40.7 ± 46.6 (n = 135) | 0.51 |
| PM | Average PM (µg/m3) | ||
|---|---|---|---|
| Case | Control | p-value | |
| PM2.5 (GS) | 7.7 ± 4.6 | 7.7 ± 5.1 | 0.94 |
| (HS) | 11.8 ± 14.8 | 7.8 ± 6.7 | <0.01 |
| PM10 (GS) | 46.3 ± 54.9 | 54.0 ± 32.7 | 0.21 |
| (HS) | 55.5 ± 62.2 | 36.0 ± 24.1 | <0.01 |

4. Discussion
4.1. Household Income
4.2. Maternal Characteristics
4.3. Sources of Indoor Air Pollution
4.4. Residential PM Exposure
5. Conclusions
Acknowledgments
Author Contributions
Conflicts of Interest
References
- Rudan, I.; Boschi-Pinto, C.; Biloglav, Z.; Mulholland, K.; Cambell, H. Epidemiology and etiology of childhood pneumonia. Bull. WHO 2008, 86, 408–416. [Google Scholar] [PubMed]
- World Health Organization (WHO). Children: Reducing Mortality; WHO Media Centre: Geneva, Switzerland, 2013. [Google Scholar]
- World Health Organization (WHO). Pneumonia: Factsheet; WHO Media Centre: Geneva, Switzerland, 2013. [Google Scholar]
- Ghimire, M.; Bhattacharya, S.K.; Narain, J.P. Pneumonia in South-East Asia Region: Public health perspective. Indian J. Med. Res. 2012, 135, 459–468. [Google Scholar] [PubMed]
- World Health Organization (WHO). Household Air Pollution and Health; WHO Media Centre: Geneva, Switzerland, 2014. [Google Scholar]
- Gurley, E.S.; Homaira, N.; Salje, H.; Ram, P.K.; Haque, R.; Petri, W.; Bresee, J.; Moss, W.J.; Breysse, P.; Luby, S.P.; et al. Indoor exposure to particulate matter and the incidence of acute lower respiratory infections among children: A birth cohort study in urban bangladesh. Indoor Air 2013, 23. [Google Scholar] [CrossRef]
- Gurley, E.S.; Salje, H.; Homaira, N.; Ram, P.K.; Haque, R.; Petri, W.A., Jr.; Bresee, J.; Moss, W.J.; Luby, S.P.; Breysse, P.; et al. Indoor exposure to particulate matter and age at first acute lower respiratory infection in a low-income urban community in Bangladesh. Amer. J. Epidemiol. 2014, 179. [Google Scholar] [CrossRef]
- Breysse, P.N.; Diette, G.B.; Matsui, E.C.; Butz, A.M.; Nansel, N.N. Indoor air pollution and asthma in children. Proc. Am. Thorac. Soc. 2010, 7, 102–106. [Google Scholar] [CrossRef] [PubMed]
- McCormack, M.C.; Breysse, P.N.; Matsui, E.C.; Hansel, N.N.; Williams, D.; Curtin-Brosnan, J.; Eggleston, P.; Diette, G.B. In-home particulate matter concentrations and childhood asthma morbidity. Environ. Health Perspect. 2009, 117. [Google Scholar] [CrossRef]
- Zuurbier, M.; Hoek, G.; Oldenwening, M.; Meliefste, K.; Krop, E.; van den Hazel, P.; Brunekreef, B. In-traffic air pollution exposure and CC16, blood coagulation, and inflammation markers in healthy adults. Environ. Health Perspect. 2011, 119. [Google Scholar] [CrossRef] [PubMed]
- U.S. Environmental Protection Agency (EPA). Particulate Matter (PM) U.S.; EPA: Washington DC, USA, 2013.
- Hamara, G.B.; Huha, N.; Cohen, A.; Laden, F.; Raaschou-Nielsen, O.; Samer, J.M.; Vineis, P.; Forastiere, F.; Saldiva, P.; Yorifuji, T.; et al. Outdoor particulate matter exposure and lung cancer: A systematic review and meta-analysis. Environ. Health Perspect. 2014, 122. [Google Scholar] [CrossRef]
- World Bank Group. Indonesia. 2014. Available online: http://data.worldbank.org/country/indonesia (accessed on 1 September 2014).
- World Health Organization (WHO). Indonesia: Health Profile; WHO Media Centre: Geneva, Switzerland, 2014. [Google Scholar]
- Watson, L.; Shibata, T.; Ansariadi; Maidin, A.; Nikitin, I.; Wilson, J. Understanding modifiable risk factors associated with childhood diarrhea in eastern Indonesian urban setting. Int. J. Health Promot. Educ. 2014. [Google Scholar] [CrossRef]
- IBM SPSS Statistics for Windows, Version 21.0. Armonk; IBM Corp.: New York, NY, USA, 2012.
- Makassar District Health Office (MDHS). Notifiable Infectious Diseases Surveillance Report; Makassar: South Sulawesi, Indonesia, 2011. [Google Scholar]
- Socio Economic Survey 05 (PSE-05); Indonesian Central Statistics Bureau (ICSB): Jakarta, Indonesia, 2005.
- Kramer, M.S.; Kakuma, R. The Optimal Duration of Exclusive Breastfeeding, a Systematic Review; Department of Nutrition for Health and Development, Department of Child and Adolescent Health and Development, World Health Organization (WHO): Geneva, Switzerland, 2002. [Google Scholar]
- WHO Air Quality Guideline for Particulate Matter, Ozone, Nitrogen Dioxide and Sulfur Dioxide: Global Update 2005 Summary of Risk Assessment; World Health Organization (WHO): Geneva, Switzerland, 2006.
- Thӧrn, L.K.; Minamisava, R.; Nouer, S.S.; Ribeiro, L.H.; Andrade, A.L. Pneumonia and poverty: A prospective population-based study among children in Brazil. BMC Infect Dis. 2011, 11. [Google Scholar] [CrossRef] [PubMed]
- Van Ginneken, J.K.; Lob-Levyt, J.; Gove, S. Potential interventions for preventing pneumonia among young children in developing countries: Promoting maternal education. Trop. Med. Int. Health 1996, 1, 283–294. [Google Scholar] [CrossRef] [PubMed]
- Suk, W.A.; Ruchirawat, K.M.; Balakrishnan, K.; Berger, M.; Carpenter, D.; Damstra, T.; de Garbino, J.P.; Koh, D.; Landrigan, P.J.; Makalinao, I.; et al. Environmental threats to children’s health in Southeast Asia and the Western Pacific. Environ. Health Perspect. 2003, 111, 1340–1347. [Google Scholar] [CrossRef] [PubMed]
- Rehfuess, E.; Mehta, S.; Prüss-Üstün, A. Assessing household solid fuel use: Implications for the millennium development goals. Environ. Health Perspect. 2006, 114, 373–378. [Google Scholar] [CrossRef] [PubMed]
- Dherani, M.; Pope, D.; Mascarenhas, M.; Smith, K.R.; Weber, M.; Bruce, N. Indoor air pollution from unprocessed solid fuel use and pneumonia risk in children age under five years: A systematic review and meta-analysis. Bull. WHO 2008, 86, 390–398. [Google Scholar] [PubMed]
- Fullerton, D.G.; Bruce, N.; Gordon, S.B. Indoor air pollution from biomass fuel smoke is a major health concern in the developing world. Trans. R. Soc. Med. Hyg. 2008, 102, 843–851. [Google Scholar] [CrossRef]
- Fuentes-Leonarte, V.; Ballester, F.; Tenias, J.M. Sources of indoor air pollution and respiratory health in preschool children. J. Environ. Public Health 2009. [Google Scholar] [CrossRef]
- Keil, C.; Kassa, H.; Brown, A.; Kumie, A.; Tefera, W. Inhalation exposures to particulate matter and carbon monoxide during Ethiopian coffee ceremonies in Addis Ababa: A pilot study. J. Environ. Public Health 2010. [Google Scholar] [CrossRef]
- Smith, K.R.; Samet, J.M.; Romieu, I.; Bruce, N. Indoor air pollution in developing countries and acute lower respiratory infections in children. Thorax 2012, 55, 518–532. [Google Scholar] [CrossRef]
- Lam, N.L.; Smith, K.R.; Gauthier, A.; Bates, M.N. Kerosene: A review of household uses and their hazards in low- and middle-income countries. J. Toxicol. Environ. Health B Crit. Rev. 2012, 15, 396–432. [Google Scholar] [CrossRef] [PubMed]
- Baker, R.J.; Hertz-Picciotto, I.; Dostál, M.; Keller, J.A.; Nozicka, J.; Kotesovec, F.; Dejmek, J.; Loomis, D.; Srám, R.J. Coal home heating and environmental tobacco smoke in relation to lower respiratory illness in Czech children, from birth to 3 years of age. Environ. Health Perspect. 2006, 114, 1126–1132. [Google Scholar] [CrossRef] [PubMed]
- World Health Organization (WHO). WHO Report on the Global Tobacco Epidemic; Enforcing Bans on Tobacco Advertising, Promotion and Sponsorship; WHO: Geneva, Switzerland, 2013. [Google Scholar]
- Salo, P.M.; Xia, J.; Johnson, C.A.; Li, Y.; Kissling, G.E.; Avol, E.L.; Liu, C.; London, S.J. Respiratory symptoms in relation to residential coal burning and environmental tobacco smoking among early adolescents in Wuhan, China: A cross-sectional study. Environ. Health 2004, 3. [Google Scholar] [CrossRef]
- Tsai, C.H.; Huang, J.H.; Hwang, B.F.; Lee, Y.L. Household environmental tobacco smoke and risks of asthma, wheeze and bronchitis symptoms among children in Taiwan. Respir. Res. 2010. [Google Scholar] [CrossRef]
- Abdullah, A.S.; Hitchman, S.C.; Driezen, P.; Nargis, N.; Quah, A.C.K.; Fong, G.T. Socioeconomic difference in exposure to tobacco smoke pollution (TSP) in Bangladeshi households with children: Findings from the international tobacco control (ITC) Bangladesh survey. Int. J. Environ. Res. Public Health 2011, 8, 842–860. [Google Scholar] [CrossRef] [PubMed]
© 2014 by the authors; licensee MDPI, Basel, Switzerland. This article is an open access article distributed under the terms and conditions of the Creative Commons Attribution license (http://creativecommons.org/licenses/by/4.0/).
Share and Cite
Shibata, T.; Wilson, J.L.; Watson, L.M.; LeDuc, A.; Meng, C.; Ansariadi; La Ane, R.; Manyullei, S.; Maidin, A. Childhood Acute Respiratory Infections and Household Environment in an Eastern Indonesian Urban Setting. Int. J. Environ. Res. Public Health 2014, 11, 12190-12203. https://doi.org/10.3390/ijerph111212190
Shibata T, Wilson JL, Watson LM, LeDuc A, Meng C, Ansariadi, La Ane R, Manyullei S, Maidin A. Childhood Acute Respiratory Infections and Household Environment in an Eastern Indonesian Urban Setting. International Journal of Environmental Research and Public Health. 2014; 11(12):12190-12203. https://doi.org/10.3390/ijerph111212190
Chicago/Turabian StyleShibata, Tomoyuki, James L. Wilson, Lindsey M. Watson, Alyse LeDuc, Can Meng, Ansariadi, Ruslan La Ane, Syamsuar Manyullei, and Alimin Maidin. 2014. "Childhood Acute Respiratory Infections and Household Environment in an Eastern Indonesian Urban Setting" International Journal of Environmental Research and Public Health 11, no. 12: 12190-12203. https://doi.org/10.3390/ijerph111212190
APA StyleShibata, T., Wilson, J. L., Watson, L. M., LeDuc, A., Meng, C., Ansariadi, La Ane, R., Manyullei, S., & Maidin, A. (2014). Childhood Acute Respiratory Infections and Household Environment in an Eastern Indonesian Urban Setting. International Journal of Environmental Research and Public Health, 11(12), 12190-12203. https://doi.org/10.3390/ijerph111212190
