Do Quiet Areas Afford Greater Health-Related Quality of Life than Noisy Areas?
Abstract
:1. Introduction
2. Methods
2.1. Participants
2.2. Study Areas
- Quiet Rural (n = 158): residences were in a semi-rural (i.e., greenbelt) area located ten kilometres from New Zealand’s capital city, Wellington, with high social deprivation characteristics, selected for its rural nature and geographic and socioeconomic matching to the Noisy Rural area. Houses were at least eight kilometres from identifiable noise generators.
- Noisy Rural (n = 39): residences were located in the Makara Valley, a region located eight kilometres west of Wellington. This area hosts sixty-six 125-metre-high wind turbines, and residences selected for inclusion were within two kilometres of a wind turbine. Wind turbines can be considered noise generators as they are reliably judged as annoying [28] and lacking tranquility [29].
- Noisy City (n = 373): residences were located within 50 metres of one of three major motorways as determined by satellite images, or below the flight path of Auckland International Airport’s main runway. These areas were middle-to-high social deprivation areas, with median estimated street noise levels of approximately 76 dB(A) LDN (day and night sound level) near the motorways [26] and between 60 and 65 dB(A) LDN near the airport [30].
- Quiet City (n = 253) residences in two areas within Auckland City, with houses at least two kilometres from any motorway, other main roads, or other major sources of environmental noise (e.g., industry). As with the noisy city area, houses in this area could be considered suburban, and were socioeconomically matched to the Noisy City areas. Median estimated street noise levels were approximately 55 dB(A) LDN [26].
2.3. Instruments
| Variables | Rural (Quiet) | Rural (Noise) | City (Noise) | City (Quiet) | |
|---|---|---|---|---|---|
| n * (%) | n * (%) | n * (%) | n * (%) | ||
| Response (rate) | 158 (32) | 39 (34) | 373 (32) | 253 (49) | |
| Sex (χ2(3) = 3.488, p = 0.322) | |||||
| Male | 63 (41) | 16 (41) | 117 (31.4) | 105 (41.5) | |
| Female | 91 (58) | 23 (59) | 236 (59.6) | 140 (55.3) | |
| Age group, years (F(3,809) = 1.982, p = 0.115) | |||||
| 18–20 | 2 (1.2) | 1 (2.6) | 10 (2.6) | 4 (1.6) | |
| 21–30 | 1 (0.5) | 1 (2.6) | 35 (9.4) | 14 (5.5) | |
| 31–40 | 22 (13.9) | 5 (12.8) | 64 (17.2) | 67 (26.5) | |
| 41–50 | 53 (33.5) | 10 (25.6) | 68 (18.2) | 55 (21.7) | |
| 51–60 | 44 (27.8) | 11 (28.2) | 73 (19.6) | 40 (15.8) | |
| 61–70 | 27 (17.1) | 7 (17.9) | 48 (12.9) | 42 (16.6) | |
| ≥71 | 9 (5.6) | 3 (7.7) | 50 (13.4) | 21 (8.3) | |
| Education (χ2(3) = 12.27, p = 0.056) | |||||
| High School | 55 (34.8) | 11 (28.2) | 171 (45.8) | 83 (32.8) | |
| Polytechnic | 48 (30.3) | 11 (28.2) | 95 (25.6) | 73 (28.9) | |
| University | 54 (34.2) | 17 (43.6) | 88 (23.6) | 84 (33.2) | |
| Employment status (χ2(3) = 29.141, p = 0.111) | |||||
| Full time | 83 (52.5) | 21 (53.8) | 170 (45.6) | 126 (49.8) | |
| Part time | 3 (1.8) | 0 (0) | 47 (12.6) | 45 (17.8) | |
| Unpaid work/Study | 3 (1.8) | 1 (2.6) | 43 (11.5) | 24 (9.5) | |
| Unemployed | 27 (17.1) | 6 (15.3) | 26 (7.0) | 12 (4.7) | |
| Retired | 40 (25.3) | 10 (25.6) | 71 (19.0) | 38 (15) | |
| Noise sensitivity (χ2(6) = 2.401, p = 0.879) | |||||
| None | 60 (37.9) | 13 (33.3) | 98 (26.3) | 94 (37.2) | |
| Moderate | 76 (48.1) | 21 (55.3) | 211 (56.6) | 122 (48.2) | |
| Severe | 20 (12.7) | 5 (12.8) | 41 (10.9) | 25 (9.9) | |
| Current illness† (χ2 (3) = 3.79, p = 0.285) | |||||
| Yes | 50 (31.6) | 10 (27) | 97 (36.2) † | 74 (29.2) | |
| No | 104 (65.8) | 27 (69.2) | 155 (57.8) † | 170 (67.2) | |
| Years of residence (F(3,781) = 0.503, p = 0.680) | |||||
| Mean | 11.1 (9.9) | 12.3 (11.1) | 12.6 (12.1) | 11.5 (12.5) | |
2.4. Procedure
2.5. Analysis
3. Results
3.1. Analysis of Annoyance Ratings




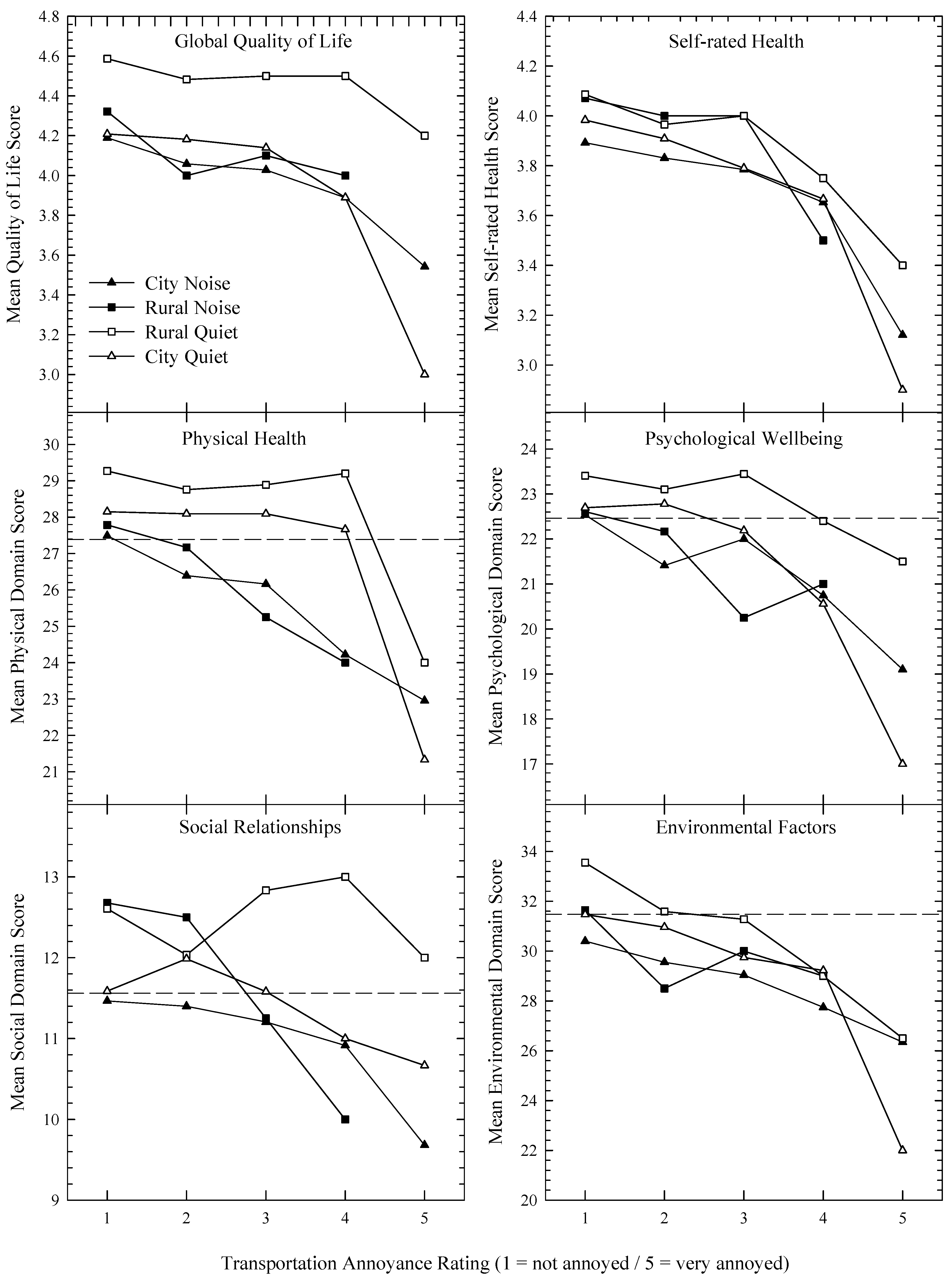
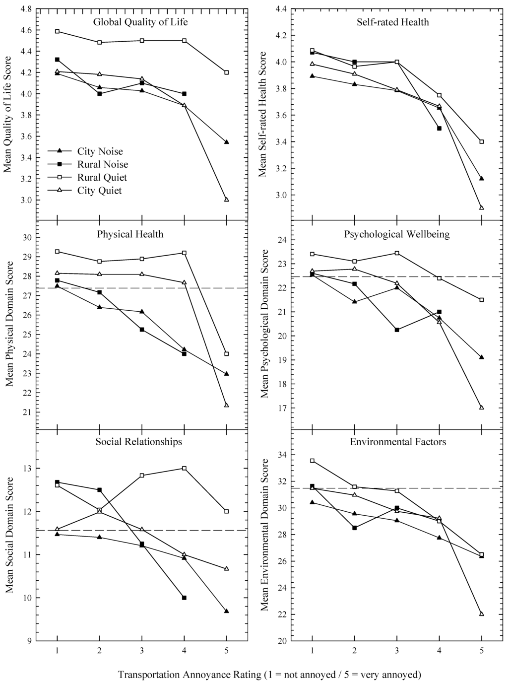
3.2. Analysis of Area

| Locality | Noise | Locality × Noise | |
|---|---|---|---|
| Physical | F(1, 818) = 7.905 | F(1, 818) = 15.659 | F(1, 818) = 0.275 |
| p = 0.005 | p < 0.001 | p = 0.600 | |
| Psychological | F(1, 818) = 6.677 | F(1, 818) = 8.708 | F(1, 818) = 0.105 |
| p = 0.010 | p = 0.003 | p = 0.746 | |
| Social | F(1, 814) = 20.332 | F(1, 814) = 1.178 | F(1, 814) = 1.237 |
| p < 0.001 | p = 0.278 | p = 0.266 | |
| Environmental | F(1, 817) = 19.165 | F(1, 817) = 15.17 | F(1, 817) = 0.073 |
| p < 0.001 | p < 0.001 | p = 0.760 |
4. Discussion

4.1. Prevalence of Annoyance
4.2. Relationship between Annoyance and HRQOL
4.3. Quiet versus Noisy Areas
4.4. Limitations and Future Research
“It is definitely not the simple dB(A) measuring equipment which is annoyed by the noise, but individuals and their hearing organs that have to endure the noise whether they like it or not!”
5. Conclusions
Acknowledgments
References
- Case of Hatton and Others v. The United Kingdom. (Application No. 36022/97). Available online: http://airportnoiselaw.org/cases/hatton-1.html (accessed on 22 March 2013).
- Guidelines for Community Noise; Berglund, B.; Lindvall, T.; Schwela, D.H. (Eds.) World Health Organisation: Geneva, Switzerland, 1999.
- Night Noise Guidelines for Europe; World Health Organisation: Copenhagen, Denmark, 2009.
- Burden of Disease from Environmental Noise; World Health Organization: Geneva, Switzerland, 2011.
- Unsafe Levels of Noise in Europe: European Union (2000). Available online: https://osha.europa.eu/en/publications/reports/6905723 (accessed on 22 March 2013).
- Andringa, T.; Lanser, J. Sound Annoyance as Loss of Options for Viability Self-26 Regulation. In Proceedings of the 10th International Congress on Noise as a Public Health Problem 27 (ICBEN), London, UK, 24–28 July 2011; Available online: http://ocr.org/pdfs/papers/2011_sound_annoyance_Andringa_icben.pdf (accessed on 21 March 2013).
- Brown, A.L. A Review of progress in soundscapes and an approach to soundscape planning. Int. J. Acoust. Vib. 2012, 17, 73–81. [Google Scholar]
- Schafer, R.M. The Tuning of the World; Knopf: New York, USA, 1977; p. 301. [Google Scholar]
- Axelsson, Ö. Progress in soundscape research requires a common agenda. J. Acoust. Soc. Am. 2011, 130, 2495. [Google Scholar] [CrossRef]
- Miller, N.P. US National Parks and management of park soundscapes: A review. Appl. Acoust. 2008, 69, 77–92. [Google Scholar] [CrossRef]
- Brambilla, G.; Maffei, L. Responses to noise in urban parks and in rural quiet areas. Acta Acust. United Ac. 2006, 92, 881–886. [Google Scholar]
- van Dam, F.; Heins, S.; Elbersen, B.S. Lay discourses of the rural and stated and revealed preferences for rural living: Some evidence of the existence of a rural idyll in the Netherlands. J. Rural Stud. 2002, 18, 461–476. [Google Scholar] [CrossRef]
- Nelson, J.P. Highway noise and property values: A survey of recent evidence. J. Transport Econ. Pol. 1982, 16, 117–138. [Google Scholar]
- Final Report on Task 2: Inventory of Potential Measures for a Better Control of Environmental Noise. Available online: www.nho.cz/knihy/end_task_2_final_report.pdf (accessed on 22 March 2013).
- van Dam, F. Revealed and Stated Preferences for Rural Living. Evidence from the Netherlands. In Claiming Rural Identities: Dynamics, Contexts, Policies; Haartsen, T., Groote, P., Huigen, P.P.P., Eds.; van Gorcum: Assen, The Netherlands, 2000; pp. 80–91. [Google Scholar]
- Van den Berg, G.P.; Pedersen, E.; Bouma, J.; Bakker, R. Project WINDFARMperception. Visual and Acoustic Impact of Wind Turbine Farms on Residents. FP6-2005-Science-and-Society-20. Specific Support Action Project No. 044628. Final Report; University of Groningen: Groningen, The Netherlands, 2008. [Google Scholar]
- Resource Management Act 1991. Available online: www.legislation.govt.nz/act/public/1991/0069/latest/DLM230265.html (accessed on 3 January 2013).
- Powers and Duties of Local Authorities. In New Zealand’s Health Act (1956); Ministry of Health: Wellington, New Zealand, 1956; Part 2, Section 23, preamble with Paragraph C only. Available online: www.legislation.govt.nz/act/public/1956/0065/latest/DLM305840.html (accessed on 23 March 2013).
- Panckhurst, G. Langdon v Bailey, AP3-00: Timaru Registry; Ministry of Justice: Timaru, New Zealand, 2000.
- Salomon, J.A.; Mathers, C.D.; Chatterji, S.; Sadana, R.; Ustun, T.B.; Murray, C.J.L. Quantifying Individual Levels of Health: Definitions, Concepts, and Measurement Issues. In Health Systems Performance Assessment: Debates, Methods and Empiricism; Murray, C.J.L., Evans, D.B., Eds.; World Health Organization: Geneva, Switzerland, 2003; p. 900. [Google Scholar]
- Zwicker, E.; Fastl, H. Psychoacoustics: Facts and Models, 3rd ed; Springer: Heidelberg, Germany, 1999. [Google Scholar]
- Fidell, S. The Schultz curve 25 years later: A research perspective. J. Acoust. Soc. Am. 2003, 114, 3007–3015. [Google Scholar] [CrossRef]
- Dratva, J.; Zemp, E.; Dietrich, D.F.; Bridevaux, P.O.; Rochat, T.; Schindler, C.; Gerbase, M.W. Impact of road traffic noise annoyance on health-related quality of life: Results from a population-based study. Q. Life Res. 2010, 19, 37–46. [Google Scholar] [CrossRef]
- Shepherd, D.; Welch, D.; Dirks, K.N.; Mathews, R. Exploring the relationship between noise sensitivity, annoyance and health-related quality of life in a sample of adults exposed to environmental noise. Int. J. Environ. Res. Public Health 2010, 7, 3579–3594. [Google Scholar] [CrossRef]
- Shepherd, D.; McBride, D.; Welch, D.; Dirks, K.N.; Hill, E.M. Evaluating the impact of wind turbine noise on health-related quality of life. Noise Health 2011, 13, 333–339. [Google Scholar] [CrossRef]
- Welch, D.; Shepherd, D.; Dirks, K.N.; McBride, D. Road traffic noise and health-related quality of life: A cross-sectional study. Noise Health 2013, in press.. [Google Scholar]
- Ministry of Health New Zealand Deprivation Scores, 2006. Available online: www.moh.govt.nz/moh.nsf/indexmh/dhb-maps-and-background-information-atlas-of-socioeconomic-deprivation-in-nz-nzdep2006 (accessed on 11 October 2012).
- Janssen, S.A.; Vos, H.; Eisser, A.R.; Pedersen, E. A comparison between exposure-response relationships for wind turbine annoyance and annoyance due to other sources. J. Acoust. Soc. Am. 2011, 130, 3746–3753. [Google Scholar] [CrossRef]
- Pheasant, R.J.; Fisher, M.N.; Watts, G.R.; Whitaker, D.J.; Horoshenkov, K.V. The importance of auditory-visual interaction in the construction of “tranquil space”. J. Environ. Psychol. 2010, 30, 501–509. [Google Scholar] [CrossRef]
- Auckland International Airport Limited. Annual Aircraft Noise Contours. October 2009. Available online: www.aucklandairport.co.nz/Corporate/Social-Responsibility/Sustainability-policy/Environmental-management/Noise/Annual-Aircraft-Noise-Contours.aspx (accessed on 23 March 2013).
- Skevington, S.M.; Lotfy, M.; O’Connell, K.A. The World Health Organization’s WHOQOL-BREFquality of life assessment: Psychometric properties and results of the international field trial—A report from the WHOQOL group. Q. Life Res. 2004, 13, 299–310. [Google Scholar] [CrossRef]
- Lercher, P. Environmental noise and health: An integrated research perspective. Environ. Int. 1996, 22, 117–129. [Google Scholar] [CrossRef]
- Krägeloh, C.U.; Kersten, P.; Billington, R.; Hsu, P.; Shepherd, D.; Landon, J.; Feng, X. Validation of the WHOQOL-BREF quality of life questionnaire for general use in New Zealand: Confirmatory factor analysis and Rasch analysis. Qual. Life Res. 2012. [Google Scholar] [CrossRef]
- Schutte, M.; Marks, A.; Wenning, E.; Griefahn, B. The development of the noise sensitivity questionnaire. Noise Health 2007, 9, 15–24. [Google Scholar] [CrossRef]
- Paunovic, K.; Jakovljevic, B.; Belojevic, G. Predictors of noise annoyance in noisy and quiet urban streets. Sci. Total Environ. 2009, 407, 3707–3711. [Google Scholar] [CrossRef]
- Skinner, C.J.; Ling, M.K.; Grimwood, C.J.; Raw, G.J. United Kingdom Results. In The 1999/2000 National Survey of Attitudes to Environmental Noise; Department of Environment, Food, and Rural Affairs: London, UK, 2002; BRE Client Report No: 205217f; Volume 3. Available online: www.bre.co.uk/pdf/NAS.pdf (accessed on 23 March 2013). [Google Scholar]
- Fyhri, A.; Aasvang, G.M. Noise, sleep and poor health: Modelling the relationship between road traffic noise and cardiovascular problems. Sci. Total Environ. 2010, 408, 4935–4942. [Google Scholar] [CrossRef]
- Barker, R.G. Ecological Psychology: Concepts and Methods for Studying the Environment of Human Behavior; Stanford University Press: Palo Alto, CA, USA, 1968. [Google Scholar]
- Kroneman, M.; Verheij, R.; Tacken, M.; van der Zee, J. Urban-rural health differences: Primary care data and self reported data render different results. Health Place 2010, 16, 893–902. [Google Scholar] [CrossRef]
- Basner, M.; Müller, U.; Griefahn, B. Practical guidance for risk assessment of traffic noise effects on sleep. Appl. Acoust. 2010, 71, 518–522. [Google Scholar] [CrossRef]
- Ising, H.; Kruppa, B. Health effects caused by noise: Evidence in the literature from the past 25 years. Noise Health 2004, 6, 5–13. [Google Scholar]
- Truax, B.; Barrett, G.W. Soundscape in a context of acoustic and landscape ecology. Landsc. Ecol. 2011, 26, 1201–1207. [Google Scholar] [CrossRef]
- Ulrich, R.S.; Simons, R.F.; Losito, B.D.; Fiorito, E.; Miles, M.A.; Zelson, M. Stress recovery during exposure to natural and urban environments. J. Environ. Psychol. 1991, 11, 201–230. [Google Scholar] [CrossRef]
- Kaplan, R.; Kaplan, S. The Experience of Nature; Cambridge University Press: Cambridge, UK, 1989. [Google Scholar]
- Chang, C.; Hammitt, W.E.; Chen, P.; Machnik, L.; Su, W. Psychophysiological responses and restorative values of natural environments in Taiwan. Landsc. Urban Plan. 2008, 85, 79–84. [Google Scholar] [CrossRef]
- Fredrickson, B.L.; Mancuso, R.A.; Branigan, C.; Tugade, M.M. The undoing effect of positive emotions. Motiv. Emot. 2000, 24, 237–258. [Google Scholar] [CrossRef]
- Grinde, B.; Patil, G.G. Biophilia: Does visual contact with nature impact on health and well-being? Int. J. Environ. Res. Public Health 2009, 6, 2332–2343. [Google Scholar] [CrossRef]
- Parsons, R.; Tassinary, L.G.; Ulrich, R.S.; Hebl, M.R.; Grossman-Alexander, M. The view from the road: Implications for stress recovery and immunization. J. Environ. Psychol. 1998, 18, 113–140. [Google Scholar]
- Cox, T. Sound effects and the city. New Sci. 2010, 207, 28–29. [Google Scholar] [CrossRef]
- Wiersinga, W. Compensation as a Strategy for Improving Environmental Quality in Compact Cities; Bureau SME: Amsterdam, The Netherlands, 2008.
- Bonaiuto, M.; Aiello, A.; Perugini, M.; Bonnes, M.; Ercolani, A.P. Multidimensional perception of residential environment quality and neighborhood attachment in the urban environment. J. Environ. Psychol. 1999, 19, 331–352. [Google Scholar] [CrossRef]
© 2013 by the authors; licensee MDPI, Basel, Switzerland. This article is an open access article distributed under the terms and conditions of the Creative Commons Attribution license (http://creativecommons.org/licenses/by/3.0/).
Share and Cite
Shepherd, D.; Welch, D.; Dirks, K.N.; McBride, D. Do Quiet Areas Afford Greater Health-Related Quality of Life than Noisy Areas? Int. J. Environ. Res. Public Health 2013, 10, 1284-1303. https://doi.org/10.3390/ijerph10041284
Shepherd D, Welch D, Dirks KN, McBride D. Do Quiet Areas Afford Greater Health-Related Quality of Life than Noisy Areas? International Journal of Environmental Research and Public Health. 2013; 10(4):1284-1303. https://doi.org/10.3390/ijerph10041284
Chicago/Turabian StyleShepherd, Daniel, David Welch, Kim N. Dirks, and David McBride. 2013. "Do Quiet Areas Afford Greater Health-Related Quality of Life than Noisy Areas?" International Journal of Environmental Research and Public Health 10, no. 4: 1284-1303. https://doi.org/10.3390/ijerph10041284
APA StyleShepherd, D., Welch, D., Dirks, K. N., & McBride, D. (2013). Do Quiet Areas Afford Greater Health-Related Quality of Life than Noisy Areas? International Journal of Environmental Research and Public Health, 10(4), 1284-1303. https://doi.org/10.3390/ijerph10041284

