TFA and EPA Productivities of Nannochloropsis salina Influenced by Temperature and Nitrate Stimuli in Turbidostatic Controlled Experiments
Abstract
:1. Introduction
2. Materials and Methods
2.1. Cultivation of the microorganisms
2.1.1. Batch processes
2.1.2. Turbidostatic experiments
2.2. Experimental nitrate and temperature setup
2.3. Determination of growth rate (μ) and biological dry mass (BDM)
2.4. Fatty acids determination
2.5. Fatty acid productivity (Px)
3. Results
3.1. Biological dry mass (BDM) and growth rate (μ)
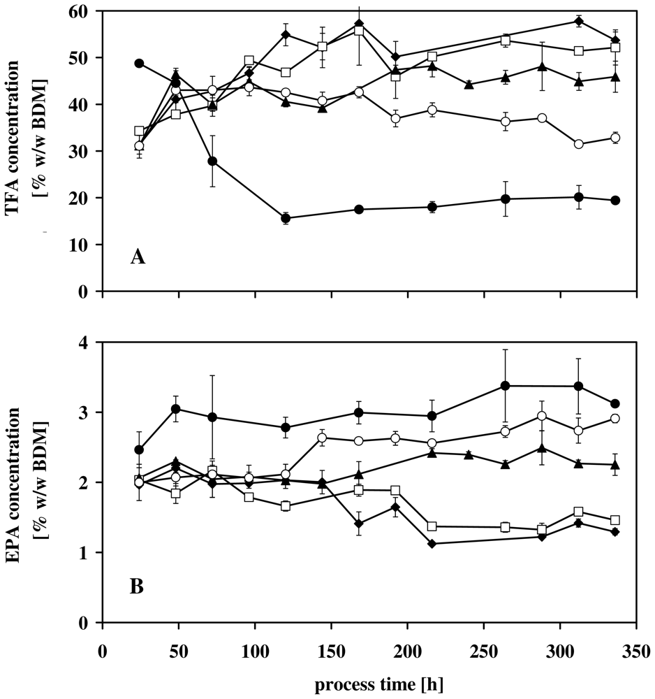
3.2. Fatty acids
3.3. Productivities
4. Discussion
4.1. Biological dry mass (BDM) and growth rate (μ)
4.2. Fatty acids and temperature
4.3. Fatty acids and nitrate
4.4. Productivities
5. Conclusions
Acknowledgements
References
- Cohen, Z. Chemicals from Microalgae; Taylor and Francis: London, UK, 1999. [Google Scholar]
- Mundt, S; Kreitlow, S; Jansen, R. Fatty acids with antibacterial activity from the cyanobacterium Oscillatoria redekei HUB 051. J. Appl. Phycol 2003, 15, 263–267. [Google Scholar]
- Richmond, A. Handbook of Microalgal Culture: Biotechnology and Applied Phycology; Blackwell Science: Oxford, UK, 2004. [Google Scholar]
- Hu, Q; Sommerfeld, M; Jarvis, E; Ghirardi, M; Posewitz, M; Seibert, M; Darzins, A. Harnessing plant biomass for biofuels and biomaterials: Microalgal triacylglycerols as feedstocks for biofuel production: perspectives and advances. Plant J 2008, 54, 621–639. [Google Scholar]
- Spoehr, HA; Milner, HW. The chemical composition of Chlorella: Effect of environmental conditions. Plant Physiol 1949, 24, 120–149. [Google Scholar]
- Borowitzka, MA. Borowitzka, MA, Borowitzka, LJ, Eds.; Fats, oils and hydrocarbons. In Micro-Algal Biotechnology; Cambridge University Press: Cambridge, UK, 1988; pp. 257–287. [Google Scholar]
- Roessler, PG. Environmental control of glycerolipid metabolism in microalgae: Commercial implications and future research directions. J. Phycol 1990, 26, 393–399. [Google Scholar]
- Pulz, O; Gross, W. Valuable products from biotechnology of microalgae. Appl. Microbiol. Biotechnol 2004, 65, 635–648. [Google Scholar]
- Donohue, T; Cogdell, R. Microorganisms and clean energy. Nat. Rev. Microbiol 2006, 4, 800. [Google Scholar]
- Chisti, Y. Biodiesel from microalgae. Biotechnol. Adv 2007, 25, 294–306. [Google Scholar]
- Schenk, PM; Thomas-Hall, SR; Stephens, E; Marx, UC; Mussgnug, JH; Posten, C; Kruse, O; Hankamer, B. Second generation biofuels: High-efficiency microalgae for biodiesel production. Bioenerg. Res 2008, 1, 20–43. [Google Scholar]
- Abu-Rezq, TS; Al-Musallam, L; Al-Shimmari, J; Dias, P. Optimum production conditions for different high-quality marine algae. Hydrobiologia 1999, 403, 97–107. [Google Scholar]
- Milione, M; Zeng, C. Tropical Crustacean Aquaculture Research Group. The effects of algal diets on population growth and egg hatching success of the tropical calanoid copepod Acartia sinjiensis. Aquaculture 2007, 273, 656–664. [Google Scholar]
- Ferreira, M; Coutinho, P; Seixas, P; Fábregas, J; Otero, A. Enriching Rotifers with “Premium” Microalgae Nannochloropsis gaditana. Mar. Biotechnol 2009, 11, 585–595. [Google Scholar]
- Krienitz, L; Wirth, M. The high content of polyunsaturated fatty acids in Nannochloropsis limnetica (Eustigmatophyceae) and its implication for food web interactions, freshwater aquaculture and biotechnology. Limnologica 2006, 36, 204–210. [Google Scholar]
- Zheng, K; Zhu, X; Han, D; Yang, Y; Lei, W; Xie, S. Effects of dietary lipid levels on growth, survival and lipid metabolism during early ontogeny of Pelteobagrus vachelli larvae. Aquaculture 2010, 299, 121–127. [Google Scholar]
- Sukenik, A. Cohen, Z, Ed.; Production of eicosapentaenoic acid by the marine eustigmatophyte Nannochloropsis. In Chemicals from Microalgae; Taylor and Francis: London, UK, 1999; pp. 41–56. [Google Scholar]
- Rodolfi, L; Chini Zittelli, G; Bassi, N; Padovani, G; Biondi, N; Bonini, G; Tredici, MR. Microalgae for Oil: Strain Selection, Induction of Lipid Synthesis and Outdoor Mass Cultivation in a Low-Cost Photobioreactor. Biotechnol. Bioeng 2009, 102, 100–112. [Google Scholar]
- Sukenik, A; Yamaguchi, Y; Livne, A. Alterations in lipid molecular species of the marine eustigmatophyte Nannochloropsis sp. J. Phycol 1993, 29, 620–626. [Google Scholar]
- Sukenik, A; Zmora, O; Carmeli, Y. Biochemical quality of marine unicellular algae with special emphasis on lipid composition. II. Nannochloropsis sp. Aquaculture 1993, 117, 313–326. [Google Scholar]
- Hu, H; Gao, K. Response of growth and fatty acid compositions of Nannochloropsis sp to environmental factors under elevated CO2 concentration. Biotechnol. Lett 2006, 28, 987–992. [Google Scholar]
- Boussiba, S; Vonshak, A; Cohen, Z; Avissar, Y; Richmond, A. Lipid and biomass production by the halotolerant microalga Nannochloropsis salina. Biomass 1987, 12, 37–47. [Google Scholar]
- Chini-Zittelli, G; Lavista, F; Batianini, A; Rodolfi, L; Vincenzini, M; Tredici, MR. Production of eicosapentaenoic acid (EPA) by Nannochloropsis sp. cultures in outdoor tubular photobioreactors. J. Biotechnol 1999, 70, 299–312. [Google Scholar]
- Guillard, R; Ryther, JH. Studies of marine planktonic diatoms. I. Cyclotella nana Husted and Detonula confervacea (Cleve) Gran (“F” medium). Can. J. Microbiol 1962, 8, 229–239. [Google Scholar]
- Marxen, K; Vanselow, KH; Lippemeier, S; Hintze, R; Ruser, A; Hansen, U-P. A photobioreactor system for computer controlled cultivation of microalgae. J. Appl. Phycol 2005, 17, 535–549. [Google Scholar]
- Falkowski, PG; Dubinsky, Z; Wyman, K. Growth-irradiance relationship in phytoplankton. Limnol. Oceanogr 1985, 30, 311–321. [Google Scholar]
- Garcés, R; Mancha, M. One-step lipid extraction and fatty acid methyl esters preparation from fresh plant tissues. Anal. Biochem 1993, 211, 139–143. [Google Scholar]
- Hoshida, H; Ohira, T; Minematsu, A; Akada, R; Nishizawa, Y. Accumulation of eicosapentaenoic acid in Nannochloropsis sp. in response to elevated CO2 concentrations. J. Appl. Phycol 2005, 17, 29–34. [Google Scholar]
- Marxen, K; Vanselow, KH; Lippemeier, S; Hintze, R; Ruser, A; Egge, B; Colijn, F; Hansen, U-P. Comparison of two different modes of UV-B irradiation on synthesis of some cellular substances in the cyanobacterium Synechocystis sp. PCC6803. J. Appl. Phycol 2010. [Google Scholar] [CrossRef]
- Fisher, T; Minnaard, J; Dubinsky, Z. Photoacclimation in the marine alga Nannochloropsis sp. (Eustigmatophyte): a kinetic study. J. Plankton Res 1996, 18, 1797–1818. [Google Scholar]
- Gentile, M-P; Blanch, HW. Physiology and Xanthophyll Cycle Activity of Nannochloropsis gaditana. Biotechnol. Bioeng 2001, 75, 1–12. [Google Scholar]
- Sukenik, A; Carmeli, Y. Lipid synthesis and fatty acid composition in Nannochloropsis sp. (Eustigmatophyceae) grown in a light-dark cycle. J. Phycol 1990, 26, 463–469. [Google Scholar]
- Sukenik, A. Ecophysiological considerations in the optimization of eicosapentaenoic acid production by Nannochloropsis sp. (Eustigmatophyceae). Bioresource Technol 1991, 35, 263–269. [Google Scholar]
- Flynn, KJ; Davidson, K; Leftley, JW. Carbon-nitrogen relations during batch growth of Nannochloropsis oculata (Eustigmatophyceae) under alternating light and dark. J. Appl. Phycol 1993, 5, 465–475. [Google Scholar]
- Sauer, J; Schreiber, U; Schmid, R; Völlker, U; Forchhammer, K. Nitrogen Starvation-Induced Chlorosis in Synechococcus PCC 7942. Low-Level Photosynthesis as a Mechanism of Long-Term Survival. Plant Physiol 2001, 126, 233–243. [Google Scholar]
- Berges, JA; Charlebois, DO; Mauzerall, DC; Falkowski, PG. Differential effects of nitrogen limitation on photosynthetic efficiency of photosystems I and II in microalgae. Plant Physiol 1996, 110, 689–696. [Google Scholar]
- Zhu, CJ; Lee, YK; Chao, TM. Effect of temperature and growth phase on lipid and biochemical composition of Isochrysis galbana TK1. J. Appl. Phycol 1997, 9, 451–457. [Google Scholar]
- Renaud, SM; Thinh, LV; Lambrinidis, G; Parry, DL. Effect of temperature on growth, chemical composition and fatty acid composition of tropical Australian microalgae grown in batch cultures. Aquaculture 2002, 211, 195–214. [Google Scholar]
- Sakamoto, T; Bryant, DA. Growth at low temperature causes nitrogen limitation in the cyanobacterium Synechococcus sp. PCC 7002. Arch. Microbiol 1998, 169, 10–19. [Google Scholar]
- Wada, H; Murata, N. Temperature-induced changes in the fatty acid composition of the cyanobacterium, Synechocystis PCC6803. Plant Physiol 1990, 92, 1062–1069. [Google Scholar]
- Sakamoto, T; Higashi, S; Wada, H; Murata, N; Bryant, DA. Low-temperature-induced desaturation of fatty acids and expression of desaturase genes in the cyanobacterium Synechococcus sp. PCC 7002. FEMS Microbiol. Lett 1997, 152, 313–320. [Google Scholar]
- Wada, H; Gombos, Z; Murata, N. Contribution of membrane lipids to the ability of the photosynthetic machinery to tolerate temperature stress. Proc. Natl. Acad. Sci. USA 1994, 91, 4273–4277. [Google Scholar]
- Quinn, PJ; Williams, WP. Barber, J, Baker, NR, Eds.; Environmentally induced changes in chloroplast membranes and their effects on photosynthetic function. In Topics in Photosynthesis; Elsevier: Amsterdam, The Netherland, 1985; Volume 6, pp. 1–47. [Google Scholar]
- Yordanov, I; Dilova, S; Petkova, R; Pangelova, T; Goltsev, V; Süss, K-H. Mechanisms of the temperature damage and acclimation of the photosynthetic apparatus. Photobiochem. Photobiophys 1986, 12, 147–155. [Google Scholar]
- Thompson, PA; Guo, M-X; Harrison, PJ; Whyte, JNC. Effects of variations in temperature. II. On the fatty acid composition of eight species of marine phytoplankton. J. Phycol 1992, 28, 488–497. [Google Scholar]
- Tornabene, TG; Holzer, G; Lien, S; Burris, N. Lipid Composition of the Nitrogen Starved Green Alga Neochloris oleoabundans. Enzyme Microb. Technol 1983, 5, 435–440. [Google Scholar]
- Ben-Amotz, A; Tornabene, TG; Thomas, WH. Chemical profile of selected species of microalgae with emphasis on lipids. J. Phycol 1985, 21, 72–81. [Google Scholar]
- Suen, Y; Hubbard, JS; Holzer, G; Tornabene, TG. Total lipid production of the green alga Nannochloropsis sp. QII under different nitrogen regimes. J. Phycol 1987, 22, 289–296. [Google Scholar]
- Asada, K. Foyer, CH, Mullineaux, PM, Eds.; Production and action of active oxygen species in photosynthetic tissues. In Causes of Photooxidative Stress and Amelioration of Defence Systems in Plants; CRC Press: Boca Raton, FL, USA, 1994; pp. 77–104. [Google Scholar]
- Alscher, RG; Donahue, JL; Cramer, CL. Reactive oxygen species and antioxidants: Relationships in green cells. Physiol. Plantarum 1997, 100, 224–233. [Google Scholar]
- Huner, NPA; Maxwell, DP; Gray, GR; Savitch, LV; Krol, M; Ivanov, AG; Falk, S. Sensing environmental temperature change through imbalances between energy supply and energy consumption: redox state of photosystem II. Physiol. Plant 1996, 98, 358–364. [Google Scholar]
- Rabbani, S; Beyer, P; Von Lintig, J; Hugueney, P; Kleinig, H. Induced ß-carotene synthesis driven by tiacylglycerol eposition in the unicellular alga Dunaliella bardawil. Plant Physiol 1998, 116, 1239–1248. [Google Scholar]
- Mendoza, H; Martel, A; Jimenez del Rio, M; Garcia Reina, G. Oleic acid is the main fatty acid related with carotenogenesis in Dunaliella salina. J. Appl. Phycol 1999, 11, 15–19. [Google Scholar]
- Solovchenko, AE; Khozin-Goldberg, I; Didi-Cohen, S; Cohen, Z; Merzlyak, MN. Effects of light intensity and nitrogen starvation on growth, total fatty acids and arachidonic acid in the green microalga Parietochloris incise. J. Appl. Phycol 2008, 20, 245–251. [Google Scholar]
- Schneider, JC; Roessler, P. Radiolabeling Studies of Lipids and Fatty Acids in Nannochloropsis (Eustigmatophyceae), an Oleaginous Marine Alga. J. Phycol 1994, 30, 594–598. [Google Scholar]
- Schneider, JC; Roessler, PG. Kader, LC, Mazliak, P, Eds.; A novel acyltransferase activity in an oleaginous alga. In Plant Lipid Metabolism; Kluwer Academic Publishers: Dordrecht, The Netherland, 1995; pp. 105–107. [Google Scholar]
- Murata, N; Fujimura, Y; Higashi, S. Glycerolipids in various preparations of photosystem II from spinach chloroplasts. Biochim. Biophys. Acta 1990, 1019, 261–268. [Google Scholar]
- Dimian, AC; Srokol, ZW; Mittelmeijer-Hazeleger, MC; Rothenberg, G. Interrelation of chemistry and process design in biodiesel manufacturing by heterogeneous catalysis. Top. Catal 2010, 53, 1197–1201. [Google Scholar]
- Ota, M; Kato, Y; Watanabe, H; Watanabe, M; Sato, Y; Smith, RL; Inomata, H. Fatty acid production from a highly CO2 tolerant alga, Chlorocuccum littorale, in the presence of inorganic carbon and nitrate. Bioresource Tech 2009, 100, 5237–5442. [Google Scholar]
- Griffiths, MJ; Harrison, ST. Lipid productivity as a key characteristic for choosing algal species for biodiesel production. J. Appl. Phycol 2009, 21, 493–507. [Google Scholar]





| Temperature [°C] | Nitrate concentration [μmol NO3− L−1] | BDM [g L−1] | μ [d−1] | TFA [% w/w BDM] | EPA [% w/w BDM] |
|---|---|---|---|---|---|
| 26 | 1800 | 0.22 ± 0.02 | 0.53 | 12 ± 2 | 2.5 ± 0.1 |
| 600 | 0.17 ± 0.01 | 0.28 | 29 ± 3 | 2.8 ± 0.1 | |
| 300 | 0.16 ± 0.01 | 0.20 | 42 ± 4 | 2.1 ± 0.2 | |
| 150 | 0.16 ± 0.01 | 0.07 | 47 ± 2 | 1.4 ± 0.1 | |
| 75 | 0.16 ± 0.01 | 0.05 | 43 ± 3 | 1.1 ± 0.1 | |
| 21 | 1800 | 0.21 ± 0.03 | 0.41 | 20 ± 1 | 3.3 ± 0.2 |
| 600 | 0.18 ± 0.01 | 0.27 | 32 ± 1 | 2.8 ± 0.1 | |
| 300 | 0.16 ± 0.01 | 0.15 | 47 ± 1 | 2.2 ± 0.1 | |
| 150 | 0.16 ± 0.01 | 0.08 | 48 ± 5 | 1.4 ± 0.1 | |
| 75 | 0.16 ± 0.01 | 0.04 | 56 ± 3 | 1.4 ± 0.1 | |
| 17 | 1800 | 0.18 ± 0.02 | 0.32 | 39 ± 5 | 3.5 ± 0.5 |
| 75 | 0.18 ± 0.03 | 0.06 | 70 ± 2 | 2.3 ± 0.1 | |
| Fatty acid group | Cultivation conditions: temperature [°C] and nitrate concentration [μmol L−1] | |||||||||||
|---|---|---|---|---|---|---|---|---|---|---|---|---|
| 17 | 21 | 26 | ||||||||||
| 1800 | 75 | 1800 | 600 | 300 | 150 | 75 | 1800 | 600 | 300 | 150 | 75 | |
| C14:0 | 3.97 ±0.13 | 2.94 ±0.10 | 4.79 ±0.12 | 3.53 ±0.14 | 3.46 ±0.10 | 3.01 ±0.12 | 3.12 ±0.12 | 7.60 ±0.51 | 4.72 ±0.20 | 3.85 ±0.07 | 3.18 ±0.39 | 3.03 ±0.26 |
| C16:0 | 37.51 ±0.69 | 38.06 ±0.56 | 34.71 ±0.58 | 42.18 ±0.66 | 43.35 ±0.54 | 43.18 ±0.77 | 43.06 ±0.37 | 31.26 ±1.24 | 42.20 ±0.53 | 46.82 ±0.81 | 46.48 ±0.96 | 46.11 ±1.24 |
| C16:1 | 36.80 ±0.89 | 37.74 ±0.16 | 33.77 ±0.51 | 35.17 ±0.58 | 35.79 ±0.51 | 34.89 ±0.60 | 35.21 ±0.51 | 32.12 ±1.33 | 31.57 ±0.36 | 31.51 ±0.82 | 32.29 ±0.25 | 32.14 ±0.69 |
| C18:1n9 | 2.85 ±0.05 | 11.18 ±0.05 | 1.48 ±0.04 | 2.60 ±0.06 | 4.35 ±0.11 | 7.62 ±0.14 | 9.60 ±0.16 | 1.10 ±0.49 | 2.55 ±0.06 | 4.39 ±0.28 | 7.12 ±0.65 | 8.09 ±0.50 |
| C18:2n6 | 0.48 ±0.01 | 0.47 ±0.02 | 0.52 ±0.01 | 0.53 ±0.01 | 0.52 ±0.02 | 0.4 ±0.01 | 0.31 ±0.01 | 0.81 ±0.06 | 0.59 ±0.02 | 0.64 ±0.01 | 0.59 ±0.05 | 0.51 ±0.03 |
| C18:3n6 | 0.91 ±0.03 | 0.89 ±0.09 | 1.05 ±0.19 | 1.45 ±0.38 | 1.60 ±0.14 | 1.36 ±0.26 | 1.03 ±0.20 | 0.93 ±0.25 | 1.46 ±0.45 | 1.33 ±0.27 | 1.10 ±0.31 | 1.35 ±0.23 |
| C20:4n6 | 1.44 ±0.07 | 0.82 ±0.04 | 2.73 ±0.08 | 1.78 ±0.09 | 1.23 ±0.08 | 0.98 ±0.04 | 0.86 ±0.04 | 2.78 ±0.02 | 2.25 ±0.15 | 1.46 ±0.08 | 1.37 ±0.12 | 1.27 ±0.09 |
| C20:5n3 (EPA) | 8.65 ±0.54 | 3.34 ±0.10 | 16.32 ±0.46 | 8.77 ±0.30 | 4.76 ±0.27 | 2.91 ±0.14 | 2.43 ±0.11 | 17.39 ±2.02 | 10.05 ±0.55 | 4.95 ±0.15 | 3.21 ±0.06 | 2.70 ±0.15 |
| Others (Sat) | 3.75 ±0.42 | 2.8 ±0.07 | 2.93 ±0.21 | 2.35 ±0.08 | 2.82 ±0.24 | 2.89 ±0.17 | 2.75 ±0.16 | 4.17 ±1.44 | 2.68 ±0.43 | 2.79 ±0.30 | 2.61 ±0.24 | 3.33 ±1.73 |
| Others (Unsat) | 3.57 ±2.34 | 1.73 ±0.53 | 1.70 ±0.14 | 1.65 ±0.23 | 2.13 ±0.33 | 2.76 ±1.03 | 2.63 ±0.19 | 1.85 ±0.94 | 1.94 ±0.60 | 2.26 ±0.57 | 2.07 ±0.66 | 1.47 ±0.78 |
| ∑Sat | 45.13 ±0.70 | 43.80 ±0.73 | 42.43 ±0.06 | 48.06 ±0.54 | 49.63 ±0.22 | 49.08 ±0.90 | 48.92 ±0.65 | 43.03 ±0.55 | 49.60 ±0.91 | 53.46 ±0.87 | 52.26 ±0.34 | 52.47 ±0.71 |
| ∑Unsat | 54.87 ±0.70 | 56.18 ±0.70 | 57.57 ±0.58 | 51.94 ±0.61 | 50.37 ±0.41 | 50.92 ±0.64 | 51.08 ±0.24 | 56.97 ±0.83 | 50.40 ±0.49 | 46.54 ±0.66 | 47.74 ±0.64 | 47.53 ±1.11 |
| ∑Unsat/∑Sat | 1.92 ±0.12 | 1.39 ±0.06 | 1.36 ±0.03 | 1.08 ±0.02 | 1.01 ±0.01 | 1.04 ±0.03 | 1.04 ±0.01 | 1.32 ±0.05 | 1.02 ±0.02 | 0.87 ±0.03 | 0.91 ±0.01 | 0.91 ±0.03 |
© 2010 by the authors; licensee Molecular Diversity Preservation International, Basel, Switzerland This article is an open-access article distributed under the terms and conditions of the Creative Commons Attribution license (http://creativecommons.org/licenses/by/3.0/).
Share and Cite
Hoffmann, M.; Marxen, K.; Schulz, R.; Vanselow, K.H. TFA and EPA Productivities of Nannochloropsis salina Influenced by Temperature and Nitrate Stimuli in Turbidostatic Controlled Experiments. Mar. Drugs 2010, 8, 2526-2545. https://doi.org/10.3390/md8092526
Hoffmann M, Marxen K, Schulz R, Vanselow KH. TFA and EPA Productivities of Nannochloropsis salina Influenced by Temperature and Nitrate Stimuli in Turbidostatic Controlled Experiments. Marine Drugs. 2010; 8(9):2526-2545. https://doi.org/10.3390/md8092526
Chicago/Turabian StyleHoffmann, Maren, Kai Marxen, Rüdiger Schulz, and Klaus Heinrich Vanselow. 2010. "TFA and EPA Productivities of Nannochloropsis salina Influenced by Temperature and Nitrate Stimuli in Turbidostatic Controlled Experiments" Marine Drugs 8, no. 9: 2526-2545. https://doi.org/10.3390/md8092526
APA StyleHoffmann, M., Marxen, K., Schulz, R., & Vanselow, K. H. (2010). TFA and EPA Productivities of Nannochloropsis salina Influenced by Temperature and Nitrate Stimuli in Turbidostatic Controlled Experiments. Marine Drugs, 8(9), 2526-2545. https://doi.org/10.3390/md8092526
