Terpenoids from the Soft Coral Sinularia densa Collected in the South China Sea
Abstract
1. Introduction
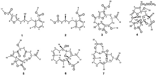
2. Results
3. Materials and Methods
3.1. General Experimental Procedures
3.2. Animal Material
3.3. Extraction and Isolation
3.4. X-ray Crystallographic Analysis
3.5. Bioassay
4. Conclusions
Supplementary Materials
Author Contributions
Funding
Institutional Review Board Statement
Data Availability Statement
Acknowledgments
Conflicts of Interest
References
- Tursch, B.; Braekman, J.C.; Daloze, D.; Herin, M.; Karlsson, R.; Losman, D. Chemical studies of marine invertebrates. XI. Sinulariolide, a new cembranolide diterpene from the soft coral Sinularia flexibilis. Tetrahedron 1975, 31, 129–133. [Google Scholar] [CrossRef]
- Yan, X.; Liu, J.; Leng, X.; Ouyang, H. Chemical Diversity and Biological Activity of Secondary Metabolites from Soft Coral Genus Sinularia since 2013. Mar. Drugs 2021, 19, 335. [Google Scholar] [CrossRef]
- Tseng, H.J.; Kuo, L.M.; Tsai, Y.C.; Hu, H.C.; Chen, P.J.; Chien, S.Y.; Sheu, J.H.; Sung, P.J. Sinulariaone A: A novel diterpenoid with a 13-membered carbocyclic skeleton from an octocoral Sinularia species. RSC Adv. 2023, 13, 10408–10413. [Google Scholar] [CrossRef] [PubMed]
- Du, Y.Q.; Yao, L.G.; Li, X.W.; Guo, Y.W. Yonarolide A, an unprecedented furanobutenolide-containing norcembranoid derivative formed by photoinduced intramolecular [2+2] cycloaddition. Chin. Chem. Lett. 2023, 34, 107512. [Google Scholar] [CrossRef]
- Pham, G.N.; Kang, D.Y.; Kim, M.J.; Han, S.J.; Lee, J.H.; Na, M.K. Isolation of Sesquiterpenoids and Steroids from the Soft Coral Sinularia brassica and Determination of Their Absolute Configuration. Mar. Drugs 2021, 19, 523. [Google Scholar] [CrossRef]
- Phan, G.H.; Tsai, Y.C.; Liu, Y.H.; Fang, L.S.; Wen, Z.H.; Hwang, T.L.; Chang, Y.C.; Sung, P.J. Sterol constituents from a cultured octocoral Sinularia sandensis (Verseveldt 1977). J. Mol. Struct. 2021, 1246, 131175. [Google Scholar] [CrossRef]
- Jiang, W.J.; Wang, D.D.; Wilson, B.A.P.; Voeller, D.; Bokesch, H.R.; Smith, E.A.; Lipkowitz, S.; O’Keefe, B.R.; Gustafson, K.R. Sinularamides A-G, Terpenoid-Derived Spermidine and Spermine Conjugates with Casitas B-Lineage Lymphoma Proto-Oncogene B (Cbl-b) Inhibitory Activities from a Sinularia sp. Soft Coral. J. Nat. Prod. 2021, 84, 1831–1837. [Google Scholar] [CrossRef]
- Yang, B.; Wei, X.Y.; Huang, J.X.; Lin, X.P.; Liu, J.; Liao, S.R.; Wang, J.F.; Zhou, X.F.; Wang, L.S.; Liu, Y.H. Sinulolides A-H, new cyclopentenone and butenolide derivatives from soft coral Sinularia sp. Mar. Drugs 2014, 12, 5316–5327. [Google Scholar] [CrossRef]
- Wu, M.J.; Yu, D.D.; Su, M.Z.; Wang, J.R.; Gong, L.; Zhang, Z.Y.; Wang, H.; Guo, Y.W. Discovery and photosynthesis of sinuaustones A and B, diterpenoids with a novel carbon scaffold isolated from soft coral Sinularia australiensis from Hainan. Org. Chem. Front. 2022, 9, 5921–5928. [Google Scholar] [CrossRef]
- Kamada, T.; Phan, C.S.; Hamada, T.; Hatai, K.; Vairappan, C.S. Cytotoxic and Antifungal Terpenoids from Bornean Soft Coral, Sinularia flexibilis. Nat. Prod. Commun. 2018, 13, 17–19. [Google Scholar] [CrossRef]
- Wu, Z.W.; Wang, Z.X.; Guo, Y.Q.; Tang, S.A.; Feng, D.Q. Antifouling activity of terpenoids from the corals Sinularia flexibilis and Muricella sp. against the bryozoan Bugula neritina. J. Asian Nat. Prod. Res. 2023, 25, 85–94. [Google Scholar] [CrossRef] [PubMed]
- Xia, Z.Y.; Sun, M.M.; Jin, Y.; Su, M.Z.; Li, S.W.; Wang, H.; Guo, Y.W. Four uncommon cycloamphilectane-type diterpenoids with antibacterial activity from the South China Sea soft coral Sinularia brassica. Phytochemistry 2024, 219, 113960. [Google Scholar] [CrossRef] [PubMed]
- Huang, C.; Jin, Y.; Sun, R.N.; Hu, K.Y.; Yao, L.G.; Guo, Y.W.; Yuan, Z.H.; Li, X.W. Anti-HBV Activities of Cembranoids from the South China Sea Soft Coral Sinularia pedunculata and Their Structure Activity Relationship. Chem. Biodivers. 2024, 21, e202401146. [Google Scholar] [CrossRef] [PubMed]
- Wang, C.L.; Jin, T.Y.; Liu, X.H.; Zhang, J.R.; Shi, X.; Wang, M.F.; Huang, R.; Zhang, Y.; Liu, K.C.; Li, G.Q. Sinudenoids A-E, C19-Norcembranoid Diterpenes with Unusual Scaffolds from the Soft Coral Sinularia densa. Org. Lett. 2022, 24, 9007–9011. [Google Scholar] [CrossRef]
- Tamaso, K.I.; Hatamoto, Y.; Obora, Y.; Sakaguchi, S.; Ishii, Y. Synthesis of substituted furoates from acrylates and aldehydes by Pd(oAc)2/HPMoV/CeCl3/O2 system. J. Org. Chem. 2007, 72, 8820–8823. [Google Scholar] [CrossRef]
- Kapojos, M.M.; Lee, J.S.; Oda, T.; Nakazawa, T.; Takahashi, O.; Ukai, K.; Mangindaan, R.E.P.; Rotinsulu, H.; Wewengkang, D.S.; Tsukamoto, S.; et al. Two unprecedented cembrene-type terpenes from an indonesian soft coral sarcophyton sp. Tetrahedron 2010, 66, 641–645. [Google Scholar] [CrossRef]
- Thao, N.P.; Nam, N.H.; Cuong, N.X.; Quang, T.H.; Tung, P.T.; Tai, B.H.; Bui, T.T.L.; Chae, D.; Kim, S.; Koh, Y.S.; et al. Diterpenoids from the Soft Coral Sinularia maxima and Their Inhibitory Effects on Lipopolysaccharide-Stimulated Production of Pro-inflammatory Cytokines in Bone Marrow-Derived Dendritic Cells. Chem. Pharm. Bull. 2012, 60, 1581–1589. [Google Scholar] [CrossRef]
- Cheng, S.Y.; Chuang, C.T.; Wen, Z.H.; Wang, S.K.; Chiou, S.F.; Hsu, C.H.; Dai, C.F.; Duh, C.Y. Bioactive norditerpenoids from the soft coral Sinularia gyrosa. Bioorg. Med. Chem. 2010, 18, 3379–3386. [Google Scholar] [CrossRef]
- Ahmed, A.F.; Tsai, C.R.; Huang, C.Y.; Wang, S.Y.; Sheu, J.H. Klyflaccicembranols A-I, New Cembranoids from the Soft Coral Klyxum flaccidum. Mar. Drugs 2017, 15, 23. [Google Scholar] [CrossRef]
- Ravi, B.N.; Faulkner, D.J. Cembranoid diterpenes from a South Pacific soft coral. J. Org. Chem. 1978, 43, 2127–2131. [Google Scholar] [CrossRef]
- Gros, J.; Reddy, C.M.; Aeppli, C.; Nelson, R.K.; Carmichael, C.A.; Arey, J.S. Resolving Biodegradation Patterns of Persistent Saturated Hydrocarbons in Weathered Oil Samples from the Deepwater Horizon Disaster. Environ. Sci. Technol. 2014, 48, 1628–1637. [Google Scholar] [CrossRef]







Disclaimer/Publisher’s Note: The statements, opinions and data contained in all publications are solely those of the individual author(s) and contributor(s) and not of MDPI and/or the editor(s). MDPI and/or the editor(s) disclaim responsibility for any injury to people or property resulting from any ideas, methods, instructions or products referred to in the content. |
© 2024 by the authors. Licensee MDPI, Basel, Switzerland. This article is an open access article distributed under the terms and conditions of the Creative Commons Attribution (CC BY) license (https://creativecommons.org/licenses/by/4.0/).
Share and Cite
Wang, C.; Zhang, J.; Li, K.; Yang, J.; Li, L.; Wang, S.; Hou, H.; Li, P. Terpenoids from the Soft Coral Sinularia densa Collected in the South China Sea. Mar. Drugs 2024, 22, 442. https://doi.org/10.3390/md22100442
Wang C, Zhang J, Li K, Yang J, Li L, Wang S, Hou H, Li P. Terpenoids from the Soft Coral Sinularia densa Collected in the South China Sea. Marine Drugs. 2024; 22(10):442. https://doi.org/10.3390/md22100442
Chicago/Turabian StyleWang, Cili, Jiarui Zhang, Kai Li, Junjie Yang, Lei Li, Sen Wang, Hu Hou, and Pinglin Li. 2024. "Terpenoids from the Soft Coral Sinularia densa Collected in the South China Sea" Marine Drugs 22, no. 10: 442. https://doi.org/10.3390/md22100442
APA StyleWang, C., Zhang, J., Li, K., Yang, J., Li, L., Wang, S., Hou, H., & Li, P. (2024). Terpenoids from the Soft Coral Sinularia densa Collected in the South China Sea. Marine Drugs, 22(10), 442. https://doi.org/10.3390/md22100442

