Investigating the Potential Anti-Alzheimer’s Disease Mechanism of Marine Polyphenols: Insights from Network Pharmacology and Molecular Docking
Abstract
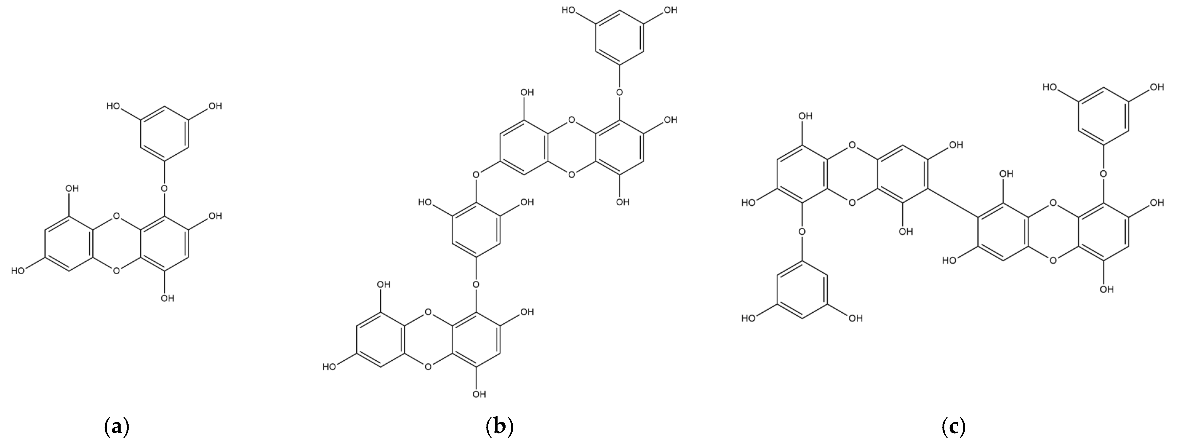
:1. Introduction
2. Results
2.1. Core Gene Targets of Marine Polyphenols and AD
2.2. PPI Networks of Marine Polyphenols
2.3. GO Enrichment and KEGG Pathway Analysis of Marine Polyphenols
2.4. Molecular Docking Validation of Marine Polyphenols
3. Discussion
4. Materials and Methods
4.1. Target Identification of Marine Polyphenols
4.2. Acquisition of Core Target of Marine Polyphenols in AD
4.3. PPI Network Construction
4.4. GO and KEGG Enrichment Analysis
4.5. Molecular Docking Analysis
5. Conclusions
Supplementary Materials
Author Contributions
Funding
Institutional Review Board Statement
Data Availability Statement
Conflicts of Interest
References
- Livingston, G.; Huntley, J.; Sommerlad, A.; Ames, D.; Ballard, C.; Banerjee, S.; Brayne, C.; Burns, A.; Cohen-Mansfield, J.; Cooper, C.; et al. Dementia prevention, intervention, and care: 2020 report of the Lancet Commission. Lancet 2020, 396, 413–446. [Google Scholar] [CrossRef]
 - Picca, A.; Calvani, R.; Coelho-Junior, H.J.; Landi, F.; Bernabei, R.; Marzetti, E. Mitochondrial Dysfunction, Oxidative Stress, and Neuroinflammation: Intertwined Roads to Neurodegeneration. Antioxidants 2020, 9, 647. [Google Scholar] [CrossRef]
 - Choudhary, B.; Chauhan, O.P.; Mishra, A. Edible Seaweeds: A Potential Novel Source of Bioactive Metabolites and Nutraceuticals with Human Health Benefits. Front. Mar. Sci. 2021, 8, 740054. [Google Scholar] [CrossRef]
 - Kusmayadi, A.; Leong, Y.K.; Yen, H.W.; Huang, C.Y.; Chang, J.S. Microalgae as sustainable food and feed sources for animals and humans-Biotechnological and environmental aspect. Chemosphere 2021, 271, 129800. [Google Scholar] [CrossRef] [PubMed]
 - Balboa, E.M.; Cond, E.; Moure, A.; Falqué, E.; Domínguez, H. In vitro antioxidant properties of crude extracts and compounds from brown algae. Food Chem. 2013, 138, 1764–1785. [Google Scholar] [CrossRef]
 - Venkatesan, J.; Keekan, K.K.; Anil, S.; Bhatnagar, I.; Kim, S.K. Phlorotannins. Encycl. Food Chem. 2019, 2019, 515–527. [Google Scholar]
 - Shibata, T.; Kawaguchi, S.; Hama, Y. Local and chemical distribution of phlorotannins in brown algae. J. Appl. Phycol. 2004, 16, 291–296. [Google Scholar] [CrossRef]
 - Kumar, L.R.G.; Paul, P.T.; Anas, K.K.; Tejpal, C.S.; Chatterjee, N.S.; Anupama, T.K.; Mathew, S.; Ravishankar, C.N. Phlorotannins-bioactivity and extraction perspectives. J. Appl. Phycol. 2022, 34, 2173–2185. [Google Scholar] [CrossRef]
 - Seong, S.H.; Paudel, P.; Jung, H.A.; Choi, J.S. Identifying phlorofucofuroeckol-A as a dual inhibitor of amyloid-β25-35 self-aggregation and insulin glycation: Elucidation of the molecular mechanism of action. Mar. Drugs. 2019, 17, 600. [Google Scholar] [CrossRef] [PubMed]
 - Myung, C.S.; Shin, H.C.; Bao, H.Y.; Yeo, S.J.; Lee, B.H.; Kang, J.S. Improvement of memory by dieckol and phlorofucofuroeckol in ethanol-treated mice: Possible involvement of the inhibition of acetylcholinesterase. Arch. Pharm. Res. 2005, 28, 691–698. [Google Scholar] [CrossRef] [PubMed]
 - Lee, J.; Jun, M. Dual BACE1 and cholinesterase inhibitory effects of phlorotannins from Ecklonia cava-an in vitro and in silico study. Mar. Drugs. 2018, 17, 91. [Google Scholar] [CrossRef]
 - Yoon, J.H.; Lee, N.; Youn, K.; Jo, M.R.; Kim, H.R.; Lee, D.S.; Ho, C.T.; Jun, M. Dieckol Ameliorates Aβ Production via PI3K/Akt/GSK-3β Regulated APP Processing in SweAPP N2a Cell. Mar. Drugs. 2021, 19, 152. [Google Scholar] [CrossRef] [PubMed]
 - Lee, S.; Youn, K.; Kim, D.H.; Ahn, M.R.; Yoon, E.; Kim, O.Y.; Jun, M. Anti-neuroinflammatory property of phlorotannins from Ecklonia cava on Aβ25–35-induced damage in PC12 cells. Mar. Drugs. 2018, 17, 7. [Google Scholar] [CrossRef] [PubMed]
 - Cui, Y.; Amarsanaa, K.; Lee, J.H.; Rhim, J.K.; Kwon, J.M.; Kim, S.H.; Park, J.M.; Jung, S.C.; Eun, S.Y. Neuroprotective mechanisms of dieckol against glutamate toxicity through reactive oxygen species scavenging and nuclear factor-like 2/heme oxygenase-1 pathway. Korean J. Physiol. Pharmacol. 2019, 23, 121–130. [Google Scholar] [CrossRef]
 - Kibble, M.; Saarinen, N.; Tang, J.; Wennerberg, K.; Mäkelä, S.; Aittokallio, T. Network pharmacology applications to map the unexplored target space and therapeutic potential of natural products. Nat. Prod. Rep. 2015, 32, 1249–1266. [Google Scholar] [CrossRef]
 - Vidal, M.; Cusick, M.E.; Barabási, A.L. Interactome networks and human disease. Cell 2011, 144, 986–998. [Google Scholar] [CrossRef] [PubMed]
 - Velázquez-Libera, J.L.; Durán-Verdugo, F.; Valdés-Jiménez, A.; Núñez-Vivanco, G.; Caballero, J. LigRMSD: A web server for automatic structure matching and RMSD calculations among identical and similar compounds in protein-ligand docking. Bioinformatics 2020, 36, 2912–2914. [Google Scholar] [CrossRef] [PubMed]
 - Lane, C.A.; Hardy, J.; Schott, J.M. Alzheimer’s disease. Eur. J. Neurol. 2018, 25, 59–70. [Google Scholar] [CrossRef] [PubMed]
 - Lomartire, S.; Gonçalves, A.M.M. An Overview on Antimicrobial Potential of Edible Terrestrial Plants and Marine Macroalgae Rhodophyta and Chlorophyta Extracts. Mar. Drugs. 2023, 21, 163. [Google Scholar] [CrossRef]
 - Razani, E.; Pourbagheri-Sigaroodi, A.; Safaroghli-Azar, A.; Zoghi, A.; Shanaki-Bavarsad, M.; Bashash, D. The PI3K/Akt signaling axis in Alzheimer’s disease: A valuable target to stimulate or suppress? Cell Stress Chaperones 2021, 26, 871–887. [Google Scholar] [CrossRef]
 - Wang, C.; Zhang, X.; Teng, Z.; Zhang, T.; Li, Y. Downregulation of PI3K/Akt/mTOR signaling pathway in curcumin-induced autophagy in APP/PS1 double transgenic mice. Eur. J. Pharmacol. 2014, 740, 312–320. [Google Scholar] [CrossRef] [PubMed]
 - Ge, Q.; Wang, Z.; Wu, Y.; Huo, Q.; Qian, Z.; Tian, Z.; Ren, W.; Zhang, X.; Han, J. High salt diet impairs memory-related synaptic plasticity via increased oxidative stress and suppressed synaptic protein expression. Mol. Nutr. Food Res. 2017, 61, 1700134. [Google Scholar] [CrossRef] [PubMed]
 - Zhang, M.; Sun, L.; Gong, X.; Yao, H. Effects of PI3K/Akt signaling pathway on serum C-reactive protein, serum amyloid A and cognitive dysfunction in mice with Alzheimer’s disease. Int. J. Clin. Exp. Med. 2019, 12, 13437–13445. [Google Scholar]
 - Liu, J.; Feng, R.; Wang, D.; Huo, T.; Jiang, H. Triclosan-induced glycolysis drives inflammatory activation in microglia via the Akt/mTOR/HIF 1α signaling pathway. Ecotoxicol. Environ. Saf. 2021, 224, 112664. [Google Scholar] [CrossRef] [PubMed]
 - Romano, R.; Bucci, C. Role of EGFR in the Nervous System. Cells 2020, 9, 1887. [Google Scholar] [CrossRef] [PubMed]
 - Qiu, Q.; Lei, X.; Wang, Y.; Xiong, H.; Xu, Y.; Sun, H.; Xu, H.; Zhang, N. Naringin Protects against Tau Hyperphosphorylation in Aβ25-35-Injured PC12 Cells through Modulation of ER, PI3K/AKT, and GSK-3β Signaling Pathways. Behav. Neurol. 2023, 2023, 1857330. [Google Scholar] [CrossRef]
 - Roskoski, R., Jr. Src protein-tyrosine kinase structure, mechanism, and small molecule inhibitors. Pharmacol. Res. 2015, 94, 9–25. [Google Scholar] [CrossRef]
 - Jung, W.; Ahn, Y.; Lee, S.; Choi, Y.; Kim, S.; Yea, S.; Choi, I.; Park, S.; Seo, S.; Lee, S.; et al. Ecklonia cava ethanolic extracts inhibit lipopolysaccharide-induced cyclooxygenase-2 and inducible nitric oxide synthase expression in BV2 microglia via the MAP kinase and NF-kappaB pathways. Food Chem. Toxicol. 2009, 47, 410–417. [Google Scholar] [CrossRef]
 - Yang, Y.I.; Jung, S.H.; Lee, K.T.; Choi, J.H. 8,8′-Bieckol, isolated from edible brown algae, exerts its anti-inflammatory effects through inhibition of NF-κB signaling and ROS production in LPS-stimulated macrophages. Int. Immunopharmacol. 2014, 23, 460–468. [Google Scholar] [CrossRef]
 - Sugiura, Y.; Usui, M.; Katsuzaki, H.; Imai, K.; Kakinuma, M.; Amano, H.; Miyata, M. Orally Administered Phlorotannins from Eisenia arborea Suppress Chemical Mediator Release and Cyclooxygenase-2 Signaling to Alleviate Mouse Ear Swelling. Mar. Drugs. 2018, 16, 267. [Google Scholar] [CrossRef]
 - Hohman, T.J.; Bell, S.P.; Jefferson, A.L. Alzheimer’s Disease Neuroimaging Initiative. The role of vascular endothelial growth factor in neurodegeneration and cognitive decline: Exploring interactions with biomarkers of Alzheimer disease. JAMA Neurol. 2015, 72, 520–529. [Google Scholar] [CrossRef] [PubMed]
 - Kwak, J.H.; Yang, Z.; Yoon, B.; He, Y.; Uhm, S.; Shin, H.C.; Lee, B.H.; Yoo, Y.C.; Lee, K.B.; Han, S.Y.; et al. Blood-brain barrier-permeable fluorone-labeled dieckols acting as neuronal ER stress signaling inhibitors. Biomaterials 2015, 61, 52–60. [Google Scholar] [CrossRef]
 - Wei, W.; Yao, J.X.; Zhang, T.T.; Wen, J.Y.; Zhang, J.Y.; Luo, Y.M.; Cao, Y.; Li, H. Network pharmacology reveals that Berberine may function against Alzheimer’s disease via the AKT signaling pathway. Front Neurosci. 2023, 17, 1059496. [Google Scholar] [CrossRef]
 - Uddin, M.A.; Akhter, M.S.; Kubra, K.T.; Whitaker, K.E.; Shipley, S.L.; Smith, L.M.; Barabutis, N. Hsp90 inhibition protects the brain microvascular endothelium against oxidative stress. Brain Disord. 2021, 1, 100001. [Google Scholar] [CrossRef]
 - Nizami, S.; Arunasalam, K.; Green, J.; Cook, J.; Lawrence, C.B.; Zarganes-Tzitzikas, T.; Davis, J.B.; Di Daniel, E.; Brough, D. Inhibition of the NLRP3 inflammasome by HSP90 inhibitors. Immunology 2021, 162, 84–91. [Google Scholar] [CrossRef] [PubMed]
 - Xiang, C.; Chen, C.; Li, X.; Wu, Y.; Xu, Q.; Wen, L.; Xiong, W.; Liu, Y.; Zhang, T.; Dou, C.; et al. Computational approach to decode the mechanism of curcuminoids against neuropathic pain. Comput. Biol. Med. 2022, 147, 105739. [Google Scholar] [CrossRef]
 - Perluigi, M.; Barone, E.; Di Domenico, F.; Butterfield, D.A. Aberrant protein phosphorylation in Alzheimer disease brain disturbs pro-survival and cell death pathways. Biochim. Biophys. Acta 2016, 1862, 1871–1882. [Google Scholar] [CrossRef]
 - Kheiri, G.; Dolatshahi, M.; Rahmani, F.; Rezaei, N. Role of p38/MAPKs in Alzheimer’s disease: Implications for amyloid beta toxicity targeted therapy. Rev. Neurosci. 2018, 30, 9–30. [Google Scholar] [CrossRef] [PubMed]
 - Muraleva, N.A.; Kolosova, N.G.; Stefanova, N.A. MEK1/2-ERK Pathway Alterations as a Therapeutic Target in Sporadic Alzheimer’s Disease: A Study in Senescence-Accelerated OXYS Rats. Antioxidants 2021, 10, 1058. [Google Scholar] [CrossRef]
 - Kielland, A.; Bochorishvili, G.; Corson, J.; Zhang, L.; Rosin, D.L.; Heggelund, P.; Zhu, J.J. Activity patterns govern synapse-specific AMPA receptor trafficking between deliverable and synaptic pools. Neuron 2009, 62, 84–101. [Google Scholar] [CrossRef]
 - Dourlen, P.; Kilinc, D.; Malmanche, N.; Chapuis, J.; Lambert, J.C. The new genetic landscape of Alzheimer’s disease: From amyloid cascade to genetically driven synaptic failure hypothesis? Acta. Neuropathol. 2019, 138, 221–236. [Google Scholar] [CrossRef]
 











| Compound | Name | Degree | Average Shortest Path Length  | Closeness Centrality  | Clustering Coefficient | 
|---|---|---|---|---|---|
| EK | AKT1 | 56 | 1.2821 | 0.7800 | 0.2130 | 
| SRC | 51 | 1.3462 | 0.7429 | 0.2965 | |
| EGFR | 49 | 1.3718 | 0.7290 | 0.2883 | |
| MAPK3 | 48 | 1.3846 | 0.7222 | 0.2881 | |
| ESR1 | 41 | 1.4744 | 0.6783 | 0.3610 | |
| MAPK1 | 38 | 1.5128 | 0.6610 | 0.3826 | |
| PIK3CA | 30 | 1.6282 | 0.6142 | 0.4230 | |
| HSP90AB1 | 29 | 1.6410 | 0.6094 | 0.3990 | |
| MMP9 | 28 | 1.6410 | 0.6094 | 0.3677 | |
| RAF1 | 26 | 1.6795 | 0.5954 | 0.5015 | |
| DK | VEGFA | 18 | 1.8571 | 0.5385 | 0.3072 | 
| PTGS2 | 17 | 1.8163 | 0.5506 | 0.2721 | |
| HSP90AA1 | 17 | 1.9592 | 0.5104 | 0.3162 | |
| JUN | 16 | 1.9184 | 0.5213 | 0.3417 | |
| PRKCB | 11 | 2.0612 | 0.4851 | 0.3091 | |
| PRKCD | 11 | 2.0816 | 0.4804 | 0.5273 | |
| PRKCA | 11 | 1.9796 | 0.5052 | 0.4727 | |
| SLC6A3 | 10 | 2.2245 | 0.4495 | 0.3111 | |
| MAOB | 10 | 2.4694 | 0.4050 | 0.5111 | |
| HTR2C | 9 | 2.2857 | 0.4375 | 0.2500 | |
| BK | AKT1 | 35 | 1.4068 | 0.7108 | 0.2487 | 
| SRC | 32 | 1.5254 | 0.6556 | 0.3367 | |
| EGFR | 31 | 1.5254 | 0.6556 | 0.3441 | |
| ESR1 | 29 | 1.5593 | 0.6413 | 0.3744 | |
| ERBB2 | 25 | 1.6780 | 0.5960 | 0.4500 | |
| PTGS2 | 24 | 1.6271 | 0.6146 | 0.3877 | |
| BCL2L1 | 21 | 1.7627 | 0.5673 | 0.4905 | |
| PTK2 | 18 | 1.8305 | 0.5463 | 0.5294 | |
| KDR | 17 | 1.8136 | 0.5514 | 0.6324 | |
| IGF1R | 17 | 1.8475 | 0.5413 | 0.6838 | 
| Group | Intersection Number | Intersection Elements | 
|---|---|---|
| EK-BK | 4 | AKT1, SRC, EGFR, ESR1 | 
| DK-BK | 1 | PTGS2 | 
| EK | 6 | MAPK3, MAPK1, PIK3CA, HSP90AB1, MMP9, RAF1 | 
| DK | 9 | VEGFA, HSP90AA1, JUN, PRKCB, PRKCD, PRKCA, SLC6A3, MAOB, HTR2C | 
| BK | 5 | ERBB2, BCL2L1, PTK2, KDR, IGF1R | 
| Term | Pathway | p-Value | 
|---|---|---|
| Hsa05200 | Pathways in cancer | 3.04 × 10−6 | 
| Hsa01521 | EGFR tyrosine kinase inhibitor resistance | 1.26 × 10−4 | 
| Hsa04010 | MAPK signaling pathway | 9.23 × 10−5 | 
| Hsa04015 | Rap1 signaling pathway | 4.26 × 10−5 | 
| Hsa04014 | Ras signaling pathway | 1.33 × 10−5 | 
| Hsa05207 | Chemical carcinogenesis—receptor activation | 4.56 × 10−5 | 
| Hsa04510 | Focal adhesion | 3.34 × 10−5 | 
| Compound- Target Gene  | Binding Affinity (kcal/mol)  | No. of Pi-Interaction  | No. of H-Bond  | H-Bonding Residues  | Length of H-Bond (Å)  | van der Waals Residues  | |
|---|---|---|---|---|---|---|---|
| EK-AKT1 | −9.7 | 6 | 7 | Gln79, Thr81, Thr82, Ser205, Thr211, Thr291  | 3.15, 3.10/3.0 2.79, 3.01, 3.06, 3.18  | Trp80, Leu210, Leu264, Lys268, Val270, Tyr272, Asp292 | |
| DK-VEGFA | −10.1 | 5 | 6 | Glu30, Ser50, Gly59, Asn62, Asp63, Lys107  | 2.86, 3.04, 2.74, 2.98, 2.92/3.10 3.14  | Ile29, Glu30, Thr31, Leu32, Cys57, Gly58, Cys60, Cys61, Glu64, Leu66, Glu67, Cys68, | |
| BK-AKT1 | −11.3 | 5 | 5 | Gln79, Asn199, Arg273, Thr291, Cys296  | 2.60, 2.83, 2.86, 3.15, 2.72  | Asn53, Asn54, Ala58, Gln59, Trp80, Thr82, Val201, Val270, Tyr272, Asp274, Asp292, Gly294 | |
Disclaimer/Publisher’s Note: The statements, opinions and data contained in all publications are solely those of the individual author(s) and contributor(s) and not of MDPI and/or the editor(s). MDPI and/or the editor(s) disclaim responsibility for any injury to people or property resulting from any ideas, methods, instructions or products referred to in the content.  | 
© 2023 by the authors. Licensee MDPI, Basel, Switzerland. This article is an open access article distributed under the terms and conditions of the Creative Commons Attribution (CC BY) license (https://creativecommons.org/licenses/by/4.0/).
Share and Cite
Youn, K.; Ho, C.-T.; Jun, M. Investigating the Potential Anti-Alzheimer’s Disease Mechanism of Marine Polyphenols: Insights from Network Pharmacology and Molecular Docking. Mar. Drugs 2023, 21, 580. https://doi.org/10.3390/md21110580
Youn K, Ho C-T, Jun M. Investigating the Potential Anti-Alzheimer’s Disease Mechanism of Marine Polyphenols: Insights from Network Pharmacology and Molecular Docking. Marine Drugs. 2023; 21(11):580. https://doi.org/10.3390/md21110580
Chicago/Turabian StyleYoun, Kumju, Chi-Tang Ho, and Mira Jun. 2023. "Investigating the Potential Anti-Alzheimer’s Disease Mechanism of Marine Polyphenols: Insights from Network Pharmacology and Molecular Docking" Marine Drugs 21, no. 11: 580. https://doi.org/10.3390/md21110580
APA StyleYoun, K., Ho, C.-T., & Jun, M. (2023). Investigating the Potential Anti-Alzheimer’s Disease Mechanism of Marine Polyphenols: Insights from Network Pharmacology and Molecular Docking. Marine Drugs, 21(11), 580. https://doi.org/10.3390/md21110580
        
