New Prenylated Indole Homodimeric and Pteridine Alkaloids from the Marine-Derived Fungus Aspergillus austroafricanus Y32-2
Abstract
1. Introduction
2. Results and Discussion
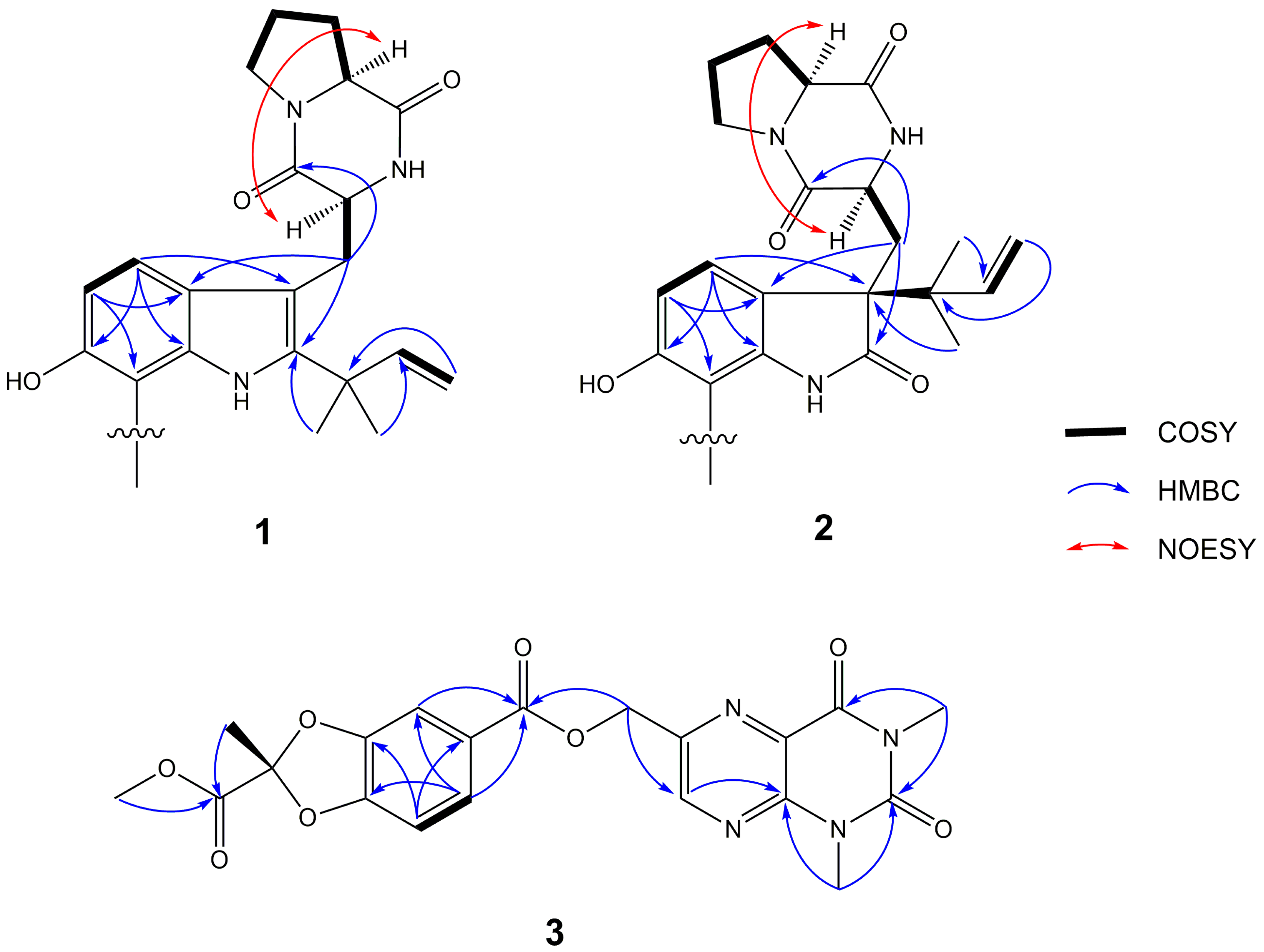
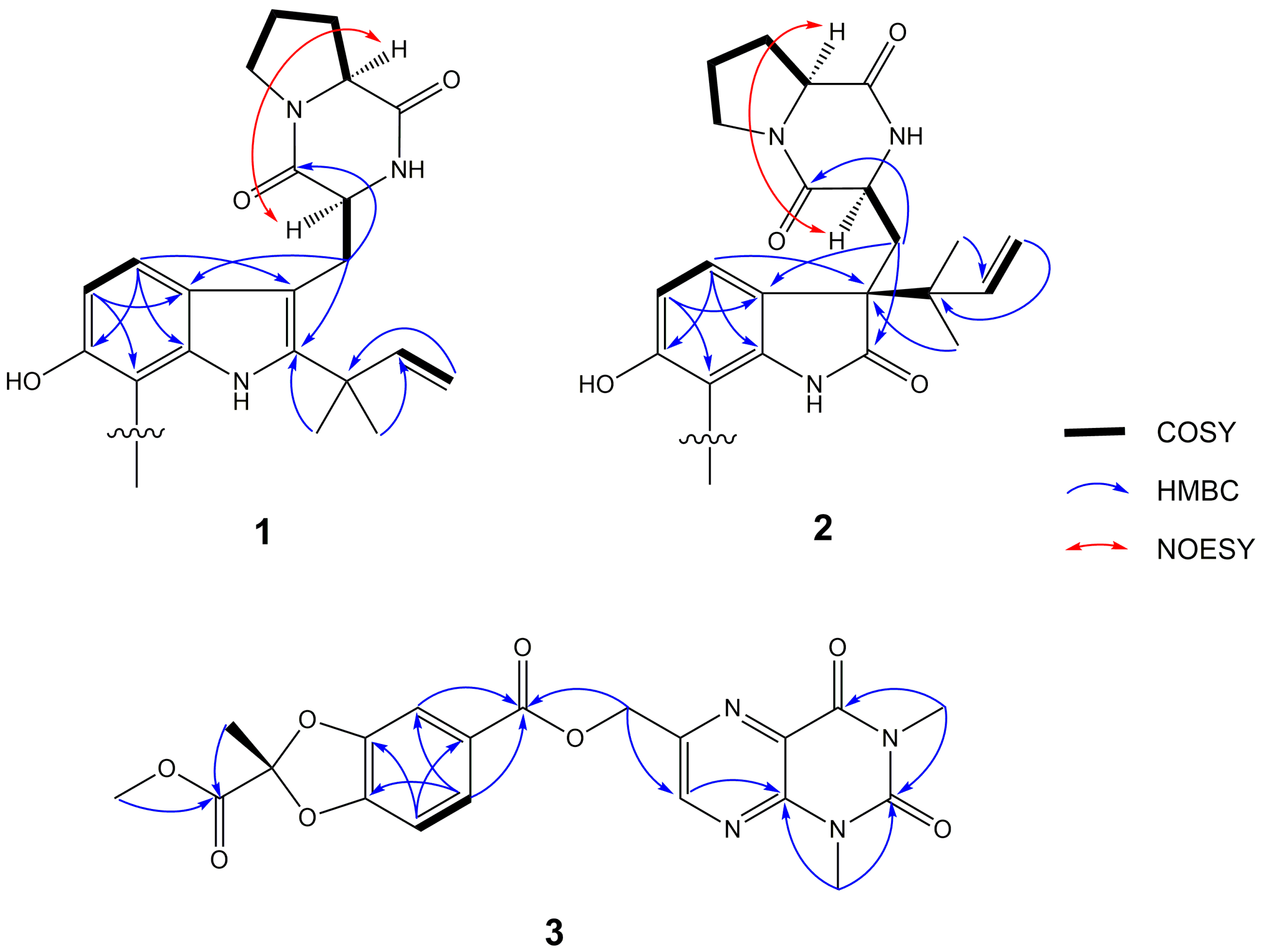
2.1. Structure Elucidation
2.2. Biological Activity
3. Materials and Methods
3.1. General Experimental Procedures
3.2. Fungal Material
3.3. Fermentation and Extraction
3.4. Purification and Identification
3.5. ECD Computational Calculation
3.6. Bioassay Protocols
3.6.1. Cell Culture and Cytotoxicity Assay
3.6.2. Zebrafish Maintenance
3.6.3. Pro-Angiogenesis Assay
3.6.4. Anti-Inflammatory Assay
3.6.5. Statistical Analysis
4. Conclusions
Supplementary Materials
Author Contributions
Funding
Institutional Review Board Statement
Conflicts of Interest
References
- Barbosa, F.; Pinto, E.; Kijjoa, A.; Pinto, M.; Sousa, E. Targeting antimicrobial drug resistance with marine natural products. Int. J. Antimicrob. Agents 2020, 56, 106005. [Google Scholar] [CrossRef]
- Ma, H.G.; Liu, Q.; Zhu, G.L.; Liu, H.S.; Zhu, W.M. Marine natural products sourced from marine-derived Penicillium fungi. J. Asian Nat. Prod. Res. 2016, 18, 92–115. [Google Scholar] [CrossRef] [PubMed]
- Lee, Y.M.; Kim, M.J.; Li, H.; Zhang, P.; Bao, B.; Lee, K.J.; Jung, J.H. Marine-derived Aspergillus species as a source of bioactive secondary metabolites. Mar. Biotechnol. 2013, 15, 499–519. [Google Scholar] [CrossRef] [PubMed]
- Wang, K.W.; Ding, P. New bioactive metabolites from the marine-derived fungi Aspergillus. Mini-Rev. Med. Chem. 2018, 18, 1072–1094. [Google Scholar] [CrossRef]
- Carbone, D.; Parrino, B.; Cascioferro, S.; Pecoraro, C.; Giovannetti, E.; Sarno, V.D.; Musella, S.; Auriemma, G.; Cirrincione, G.; Diana, P. 1,2,4-oxadiazole topsentin analogs with antiproliferative activity against pancreatic cancer cells, targeting GSK3β kinase. ChemMedChem 2021, 16, 537–554. [Google Scholar] [CrossRef] [PubMed]
- Parrino, B.; Carbone, D.; Cascioferro, S.; Pecoraro, C.; Giovannetti, E.; Deng, D.; Sarno, V.D.; Musella, S.; Auriemma, G.; Cusimano, M.G.; et al. 1,2,4-oxadiazole topsentin analogs as staphylococcal biofilm inhibitors targeting the bacterial transpeptidase Sortase A. Eur. J. Med. Chem. 2020, 209, 112892. [Google Scholar] [CrossRef]
- Li, P.; Fan, Y.; Chen, H.; Chao, Y.; Du, N.; Chen, J. Phenylquinolinones with antitumor activity from the Indian ocean-derived fungus Aspergillus versicolor Y31–2. Chin. J. Oceanol. Limnol. 2016, 34, 1072–1075. [Google Scholar] [CrossRef]
- Fan, Y.; Li, P.; Chao, Y.; Chen, H.; Du, N.; He, Q.; Liu, K. Alkaloids with cardiovascular effects from the marine-derived fungus Penicillium expansum Y32. Mar. Drugs 2015, 13, 6489–6504. [Google Scholar] [CrossRef] [PubMed]
- Zuleta, I.A.; Vitelli, M.L.; Baggio, R.; Garland, M.T.; Seldes, A.M.; Palermo, J.A. Novel pteridine alkaloids from the sponge Clathria sp. Tetrahedron 2002, 58, 4481–4486. [Google Scholar] [CrossRef]
- Gubiani, J.R.; Teles, H.L.; Silva, G.H.; Young, M.C.M.; Pereira, J.O.; Bolzani, V.S.; Araujo, A.R. Cyclo-(trp-phe) diketopiperazines from the endophytic fungus Aspergillus versicolor isolated from Piper aduncum. Quim. Nova 2017, 40, 138–142. [Google Scholar] [CrossRef]
- Yurchenk, A.N.; Smetanina, O.F.; Kalinovsky, A.I.; Pivkin, M.V.; Dmitrenok, P.S.; Kuznetsova, T.A. A new meroterpenoid from the marine fungus Aspergillus versicolor (Vuill.) Tirab. Russ. Chem. Bull. 2010, 59, 852–856. [Google Scholar] [CrossRef]
- Hodge, R.P.; Harris, C.M.; Harris, T.M. Verrucofortine, a major metabolite of Penicillium verrucosum var. cyclopium, the fungus that produces the mycotoxin verrucosidin. J. Nat. Prod. 1988, 51, 66–73. [Google Scholar] [CrossRef]
- Xin, Z.; Fang, Y.; Zhu, T.; Duan, L.; Gu, Q.; Zhu, W. Antitumor components from sponge-derived fungus Penicillium auratiogriseum Sp-19. Chin. J. Mar. Drugs 2006, 25, 1–6. [Google Scholar]
- Feng, Y.; Han, J.; Zhang, Y.; Su, X.; Essmann, F.; Grond, S. Study on the alkaloids from two great white sharks antitumor components from sponge-derived fungus Penicillium auratiogriseum Sp-19. Chin. J. Mar. Drugs 2016, 35, 16–22. [Google Scholar]
- Fujiia, Y.; Asahara, M.; Ichinoec, M.; Nakajima, H. Fungal melanin inhibitor and related compounds from Penicillium decumbens. Phytochemistry 2002, 60, 703–708. [Google Scholar] [CrossRef]
- Ma, Y.; Qiao, K.; Kong, Y.; Li, M.; Guo, L.; Miao, Z.; Fan, C. A new isoquinolone alkaloid from an endophytic fungus R22 of Nerium indicum. Nat. Prod. Res. 2016, 31, 1258556. [Google Scholar] [CrossRef]
- Tsukamoto, S.; Kato, H.; Samizo, M.; Nojiri, Y.; Ohnuki, H.; Hirota, H.; Ohta, T. Notoamides F-K, Prenylated indole alkaloids isolated from a marine-derived Aspergillus sp. J. Nat. Prod. 2008, 71, 2064–2067. [Google Scholar] [CrossRef]
- Jennifer, M.F.; David, H.S.; Sachiko, T.; Robert, M.W. Studies on the biosynthesis of the notoamides: Synthesis of an isotopomer of 6-hydroxydeoxybrevianamide E and biosynthetic incorporation into notoamide. J. Org. Chem. 2011, 76, 5954–5958. [Google Scholar]
- Li, Y.; Teng, Y.; Cheng, Y.; Wu, L. Study on the chemical constituents of mulberry. J. Shenyang Pharm. Univ. 2003, 6, 422–424. [Google Scholar]
- Qi, J.; Liu, S.; Liu, W.; Cai, G.; Liao, G. Identification of UAP1L1 as tumor promotor in gastric cancer through regulation of CDK6. Aging 2020, 12, 6904–6927. [Google Scholar] [CrossRef]
- Sybyl Software, version X 2.0; Tripos Associates Inc.: St. Louis, MO, USA, 2013.
- Frisch, M.J.; Trucks, G.W.; Schlegel, H.B.; Scuseria, G.E.; Robb, M.A.; Cheeseman, J.R.; Scalmani, G.; Barone, V.; Mennucci, B.; Petersson, G.A.; et al. Gaussian 09; revision C 01; Gaussian, Inc.: Wallingford, CT, USA, 2009. [Google Scholar]
- Stephens, P.J.; Harada, N. ECD cotton effect approximated by the Gaussian curve and other methods. Chirality 2010, 22, 229–233. [Google Scholar] [CrossRef] [PubMed]
- Ottoni, C.A.; Maria, D.A.; Gonçalves, P.J.R.O.; Araújo, W.L.; Souza, A.O. Biogenic Aspergillus tubingensis silver nanoparticles’ in vitro effects on human umbilical vein endothelial cells, normal human fibroblasts, HEPG2, and Galleria mellonella. Toxicol. Res. 2019, 8, 789801. [Google Scholar] [CrossRef] [PubMed]
- Li, T.; Tang, X.; Luo, X.; Wang, Q.; Liu, K.; Zhang, Y.; Voogd, N.J.; Yang, J.; Li, P.; Li, G. Agelanemoechine, a dimeric bromopyrrole alkaloid with a pro-angiogenic effect from the south China sea sponge Agelas nemoechinata. Org. Lett. 2019, 21, 9483–9486. [Google Scholar] [CrossRef] [PubMed]
- Wang, Q.; Tang, X.; Liu, H.; Luo, X.; Sung, P.J.; Li, P.; Li, G. Clavukoellians G–K, new nardosinane and aristolane sesquiterpenoids with angiogenesis promoting activity from the marine soft coral Lemnalia sp. Mar. Drugs 2020, 18, 171. [Google Scholar] [CrossRef]
- Zhou, Z.Y.; Huan, L.Y.; Zhao, W.R.; Tang, N.; Jin, Y.; Tang, J.Y. Spatholobi caulis extracts promote angiogenesis in HUVECs in vitro and in zebrafish embryos in vivo via up-regulation of VEGFRs. J. Ethnopharmacol. 2017, 200, 74–83. [Google Scholar] [CrossRef]
- Gui, Y.H.; Liu, L.; Wu, W.; Zhang, Y.; Jia, Z.L.; Shi, Y.P.; Kong, H.T.; Liu, K.C.; Jiao, W.H.; Lin, H.W. Discovery of nitrogenous sesquiterpene quinone derivatives from sponge Dysidea septosa with anti-inflammatory activity in vivo zebrafish model. Bioorg. Chem. 2020, 94, 103435. [Google Scholar] [CrossRef] [PubMed]





| No. | 1 | 2 | ||
|---|---|---|---|---|
| δC Type | δH (Mult., J in Hz) | δC Type | δH (Mult., J in Hz) | |
| 2,2′ | 139.1, 139.2 C | ― | 180.1 C | ― |
| 3,3′ | 104.75, 104.82 C | ― | 55.9 C | ― |
| 4,4′ | 117.6, 117.8 CH | 7.35, 7.37 (each H, d, 8.4) | 126.0 CH | 7.11 (2H, d, 8.2) |
| 5,5′ | 109.9, 110.0 CH | 6.80, 6.81 (each H, d, 8.4) | 106.9 CH | 6.39 (2H, d, 8.2) |
| 6,6′ | 150.0, 150.1 C | ― | 155.7 C | ― |
| 7,7′ | 104.0, 104.1 C | ― | 104.0 C | ― |
| 8,8′ | 134.4, 134.5 C | ― | 143.4 C | ― |
| 9,9′ | 122.6, 122.7 C | ― | 118.4 C | ― |
| 10,10′ | 25.3, 25.4 CH2 | 2.94, 3.52 (each 2H, m) | 30.3 CH2 | 2.03 (2H, dd, 14.7, 5.2) 2.80 (2H, dd, 14.7, 4.7) |
| 11,11′ | 55.0, 55.3 CH | 4.33, 4.38 (each H, dd, 9.2, 4.2) | 52.6 CH | 3.41 (2H, dd, 5.2, 4.7) |
| 12,12′ | 165.6 C | ― | 165.6 C | ― |
| 14,14′ | 44.8 CH2 | 3.37, 3.47 (each 2H, m) | 45.1 CH2 | 3.23, 3.35 (each 2H, m) |
| 15,15′ | 22.2 CH2 | 1.75−1.91 (4H, m) | 22.3 CH2 | 1.67−1.79 (4H, m) |
| 16,16′ | 27.6 CH2 | 1.85, 2.12 (each 2H, m) | 27.1 CH2 | 1.77, 1.99 (each 2H, m) |
| 17,17′ | 58.5 CH | 4.22 (2H, t-like, 7.2) | 58.3 CH | 4.02 (2H, t-like, 7.6) |
| 18,18′ | 169.3, 169.4 C | ― | 169.8 C | ― |
| 20,20′ | 111.29, 111.33 CH2 | 5.01 (2H, br d, 10.7) 5.06 (2H, br d, 17.5) | 112.6 CH2 | 4.94 (2H, br d, 17.5) 5.00 (2H, br d, 10.9) |
| 21,21′ | 146.4, 146.5 CH | 6.15, 6.17 (each H, dd, 17.5, 10.7) | 143.9 CH | 6.15 (2H, dd, 17.5, 10.9) |
| 22,22′ | 38.6, 38.7 C | ― | 42.2 C | ― |
| 23,23′ | 27.5, 27.6 CH3 | 1.42 (6H, s) | 21.1 CH3 | 0.98 (6H, s) |
| 24,24′ | 27.5, 27.6 CH3 | 1.42 (6H, s) | 22.6 CH3 | 0.96 (6H, s) |
| 1,1′-NH | ― | 8.45, 8.58 (each H, s) | ― | 9.31 (2H, s) |
| 19,19′-NH | ― | 6.21, 6.30 (each H, s) | ― | 7.57 (2H, s) |
| 6,6′-OH | ― | 9.09 (2H, br s) | ― | 9.28 (2H, br s) |
| No. | δC, Type | δH, (Mult., J Hz) |
|---|---|---|
| 2 | 150.6 C | ― |
| 4 | 159.7 C | ― |
| 6 | 145.8 C | ― |
| 7 | 147.2 CH | 8.94 (1H, s) |
| 9 | 147.7 C | ― |
| 10 | 127.2 C | ― |
| 11 | 64.7 CH2 | 5.49 (2H, s) |
| 1′ | 123.6 C | ― |
| 2′ | 109.2 CH | 7.49 (1H, d, 1.4) |
| 3′ | 147.0 C | ― |
| 4′ | 150.9 C | ― |
| 5′ | 108.8 CH | 7.10 (1H, d, 8.3) |
| 6′ | 125.9 CH | 7.65 (1H, dd, 8.3, 1.4) |
| 7′ | 164.8 C | ― |
| 1″ | 21.7 CH3 | 1.90 (3H, s) |
| 2″ | 112.6 C | ― |
| 3″ | 166.4 C | ― |
| N1-Me | 29.2 CH3 | 3.53 (3H, s) |
| N3-Me | 28.7 CH3 | 3.31 (3H, s) |
| 3″-OMe | 53.5 CH3 | 3.74 (3H, s) |
Publisher’s Note: MDPI stays neutral with regard to jurisdictional claims in published maps and institutional affiliations. |
© 2021 by the authors. Licensee MDPI, Basel, Switzerland. This article is an open access article distributed under the terms and conditions of the Creative Commons Attribution (CC BY) license (http://creativecommons.org/licenses/by/4.0/).
Share and Cite
Li, P.; Zhang, M.; Li, H.; Wang, R.; Hou, H.; Li, X.; Liu, K.; Chen, H. New Prenylated Indole Homodimeric and Pteridine Alkaloids from the Marine-Derived Fungus Aspergillus austroafricanus Y32-2. Mar. Drugs 2021, 19, 98. https://doi.org/10.3390/md19020098
Li P, Zhang M, Li H, Wang R, Hou H, Li X, Liu K, Chen H. New Prenylated Indole Homodimeric and Pteridine Alkaloids from the Marine-Derived Fungus Aspergillus austroafricanus Y32-2. Marine Drugs. 2021; 19(2):98. https://doi.org/10.3390/md19020098
Chicago/Turabian StyleLi, Peihai, Mengqi Zhang, Haonan Li, Rongchun Wang, Hairong Hou, Xiaobin Li, Kechun Liu, and Hao Chen. 2021. "New Prenylated Indole Homodimeric and Pteridine Alkaloids from the Marine-Derived Fungus Aspergillus austroafricanus Y32-2" Marine Drugs 19, no. 2: 98. https://doi.org/10.3390/md19020098
APA StyleLi, P., Zhang, M., Li, H., Wang, R., Hou, H., Li, X., Liu, K., & Chen, H. (2021). New Prenylated Indole Homodimeric and Pteridine Alkaloids from the Marine-Derived Fungus Aspergillus austroafricanus Y32-2. Marine Drugs, 19(2), 98. https://doi.org/10.3390/md19020098
