Activation of Dormant Secondary Metabolite Production by Introducing Neomycin Resistance into the Deep-Sea Fungus, Aspergillus versicolor ZBY-3
Abstract
:1. Introduction

2. Results and Discussion
2.1. Mutant Selection and Resistance Test
| Ultrasound (W) | Neomycin (mg/mL) | Treatment Time at 4 °C | Total | |||
|---|---|---|---|---|---|---|
| 3 h | 12 h | 24 h | 48 h | |||
| 200 | 200 | 4 | 1 | 1 | 2 | 8 |
| 400 | 1 | 2 | 1 | 0 | 4 | |
| Sum | 5 | 3 | 2 | 2 | 12 | |
| 400 | 200 | 1 | 0 | 2 | 4 | 7 |
| 400 | 2 | 1 | 3 | 5 | 11 | |
| Sum | 3 | 1 | 5 | 9 | 18 | |
| Total | 8 | 4 | 7 | 11 | 30 | |


2.2. Estimation of the Activated Antitumor Metabolite Production in the Mutants by Bioassays
| Strain b | Condition for Selecting Mutant Strain c | IR% d (Mean ± SD, n = 3) | ||
|---|---|---|---|---|
| Ultrasound (W) | Neomycin (mg/mL) | Treated Time at 4 °C (h) | ||
| ZBY-3 | - | - | - | 1.8 ± 2.0 |
| u2n2h3-1 | 200 | 200 | 3 | 67.1 ± 2.3 * |
| u2n2h3-2 | 200 | 200 | 3 | 17.2 ± 3.3 |
| u2n2h3-3 | 200 | 200 | 3 | 62.9 ± 2.4 * |
| u2n2h3-4 | 200 | 200 | 3 | 61.4 ± 5.9 * |
| u2n2h12-1 | 200 | 200 | 12 | 6.0 ± 3.9 |
| u2n2h24-1 | 200 | 200 | 24 | 48.9 ± 6.9 * |
| u2n2h48-1 | 200 | 200 | 48 | 22.9 ± 2.2 ** |
| u2n2h48-2 | 200 | 200 | 48 | 14.9 ± 1.2 |
| u2n4h3-1 | 200 | 400 | 3 | 16.7 ± 2.8 |
| u2n4h12-1 | 200 | 400 | 12 | 72.0 ± 2.0 * |
| u2n4h12-2 | 200 | 400 | 12 | 83.3 ± 2.6 * |
| u2n4h24-1 | 200 | 400 | 24 | 32.5 ± 0.6 *** |
| u4n2h3-1 | 400 | 200 | 3 | 54.4 ± 8.4 * |
| u4n2h24-1 | 400 | 200 | 24 | 9.7 ± 1.8 |
| u4n2h24-2 | 400 | 200 | 24 | 71.1 ± 1.0 * |
| u4n2h48-1 | 400 | 200 | 48 | 43.1 ± 21.7 * |
| u4n2h48-2 | 400 | 200 | 48 | 2.4 ± 6.1 |
| u4n2h48-3 | 400 | 200 | 48 | 30.4 ± 8.9 *** |
| u4n2h48-4 | 400 | 200 | 48 | 55.7 ± 5.1 * |
| u4n4h3-1 | 400 | 400 | 3 | 60.8 ± 6.9 * |
| u4n4h3-2 | 400 | 400 | 3 | 71.3 ± 8.4 * |
| u4n4h12-1 | 400 | 400 | 12 | 49.8 ± 3.2 * |
| u4n4h24-1 | 400 | 400 | 24 | 38.5 ± 3.1 *** |
| u4n4h24-2 | 400 | 400 | 24 | 44.6 ± 35.7 * |
| u4n4h24-3 | 400 | 400 | 24 | 49.6 ± 2.7 * |
| u4n4h48-1 | 400 | 400 | 48 | 1.1 ± 17.8 |
| u4n4h48-2 | 400 | 400 | 48 | 12.9 ± 3.8 |
| u4n4h48-3 | 400 | 400 | 48 | 56.6 ± 5.8 * |
| u4n4h48-4 | 400 | 400 | 48 | 39.8 ± 1.8 *** |
| u4n4h48-5 | 400 | 400 | 48 | 22.3 ± 7.1 ** |
2.3. Chromatographic Analysis of Metabolite Production Induced by the Introduction of Drug Resistance
2.4. Antitumor Metabolites 1–6 Produced by Mutant u2n2h3-3 by Introducing Drug Resistance
2.4.1. Fermentation, Isolation and Identification of Known Compounds 1–2 and 4–6
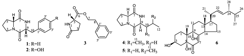
+10.9 (c 0.14, MeOH), gave a pseudo-molecular ion peak at m/z 245 [M + H]+ in positive ESI-MS. The 1H and 13C NMR data of 1 in CDCl3 were identical with those of cyclo(d-Pro-d-Phe) [50] and cyclo(l-Pro-l-Phe) [51]; however, the positive sign of optical rotation in MeOH was identical with the sign of the former in EtOH [50], but not the negative sign of the latter in MeOH [51]. Thus, 1 was identified as cyclo(d-Pro-d-Phe). Compound 2,
+11.9 (c 0.32, MeOH), giving a pseudo-molecular ion peak at m/z 261 [M + H]+ in positive ESI-MS, showed 1H and 13C NMR signals identical with those of cyclo(l-Tyr-l-Pro) in CDCl3 [52], but the sign of the optical rotation in MeOH was opposite of the negative sign of cyclo(l-Tyr-l-Pro) in MeOH [52]. Thus, 2 was identified as cyclo(d-Tyr-d-Pro). Compounds 4,
−59.1 (c 0.46, MeOH), and 5,
−105.8 (c 0.77, MeOH), giving the same pseudo-molecular ion peak at m/z 211 [M + H]+ in positive ESI-MS, were identified as cyclo(l-Ile-l-Pro) [53] and cyclo(l-Leu-l-Pro) [54], respectively, by comparison of their physicochemical and spectroscopic data with those in the literature [53,54].
−37 (c 0.22, CHCl3), was identified as 3β,5α,9α-trihydroxy-(22E,24R)-ergosta-7,22-dien-6-one on the basis of physicochemical and spectroscopic data [57].2.4.2. Structural Determination of New Compound 3
−29.2 (c 0.21, MeOH), was assigned the molecular formula C13H15NO3 by HRESIMS (measured 234.1122 [M + H]+, calculated for C13H16NO3 [M + H]+ 234.1130). The 1H and 13C NMR spectra of 3 in CD3OD showed signals from a mono-alkylated benzene ring and several methylene/methine groups together with the two carbonyl carbon signals in the 13C NMR spectrum (Table 3). Analysis of the 1H-1H COSY, HMQC and HMBC spectra (Table 3) established the planar structure of phenethyl 5-oxoprolinate for 3. Then, the absolute configuration at C-5 in 3 was assigned to be S according to the negative sign of its optical rotation, by comparison with those of 5-oxo-l-proline ([α]D −11.2 (c 2.84, H2O) in the literature [58]) and methyl 5-oxo-l-prolinate ([α]D −5.6 (c 2.8, H2O) in the literature [58]). The 5S configuration of 3 was also determined further by the Marfey’s method [55], using d- and l-glutamic acid (Glu) as reference standards, by detecting the l-Glu (2S-Glu) in the hydrolysate of 3, as described above for 1, 2, 4 and 5, except for the hydrolysis of 3 with 6 N HCl at 110 °C for 12 h. Thus, the structure of 3 could be determined to be phenethyl 5-oxo-l-prolinate with 5S absolute configuration. A literature survey showed that although three patent application publications covered the same planar structure with common structures [59,60,61], only two of them [59,60] really dealt a little with the compound, and no more data were provided, except for the melting point in the literature [60] and the melting point, IR (1735 and 1680 cm−1) and 1H NMR data in the literature [59]. Although the literature [59] recorded the 1H NMR data for the compound that they prepared chemically, these data were quite different from the 1H NMR data of 3 (Table 3). Therefore, we report herein 3 as a new compound.2.4.3. HPLC-PDAD-UV/HPLC-ESI-MS Analyses for Detecting 1–6 in u2n2h3-3 Extract
| Position | δC b | δH (J in Hz) b | COSY c | HMBC d |
|---|---|---|---|---|
| 2 | 181.1 s | - | - | - |
| 3 | 30.2 t | 2.28–2.22 (2H, m, H-3) | H-4 | C-2, C-4, C-5 |
| 4 | 25.9 t | 2.48–2.34 (1H, m, Ha-4) | H-5 | C-2, C-3, C-5, C-6 |
| 2.05–1.94 (1H, m, Hb-4) | H-5 | |||
| 5 | 57.1 d | 4.23 (1H, dd, J = 9.1, 4.2 Hz, H-5) | H2-4 | C-2, C-3, C-4, C-6 |
| 6 | 173.9 s | - | - | - |
| 7 | 66.9 t | 4.41 (1H, dd, J = 10.8, 6.8 Hz, Ha-7) | H-8 | C-6, C-8, C-1′ |
| 4.35 (1H, dd, J = 10.8, 6.8 Hz, Hb-7) | H-8 | |||
| 8 | 35.9 t | 2.97 (2H, t, J = 6.8 Hz, H2-8) | H2-7 | C-7, C-1′, C-2′,6′ |
| 1′ | 139.1 s | - | - | - |
| 2′,6′ | 129.5 d | 7.18–7.26 (2H, m, H-2′,6′) | H-3′,4′,5′ | C-8, C-4′ |
| 3′,5′ | 130.0 d | 7.20–7.32 (2H, m, H-3′,5′) | H-2′,4′,6′ | C-1′ |
| 4′ | 127.6 d | 7.20–7.32 (1H, m, H-4′) | H-2′,6′ | C-2′,6′ |
2.4.4. Inhibitory Effect of 1–6 on Several Human Cancer Cell Lines
| Compound | IR% at 100 µg/mL | |||
|---|---|---|---|---|
| K562 | HL-60 | BGC-823 | HeLa | |
| 1 | 54.6 | 92.5 | 91.6 | 35.8 |
| 2 | 72.9 | 94.2 | 78.1 | 36.7 |
| 3 | 23.5 | 50.1 | 35.1 | 85.6 |
| 4 | 29.6 | 24.2 | 49.4 | 1.0 |
| 5 | 30.9 | 28.8 | 38.3 | 3.8 |
| 6 | 51.1 | 90.0 | 66.5 | 54.5 |
| Compound | IC50 in µg/mL (µM) | |||
|---|---|---|---|---|
| K562 | HL-60 | BGC-823 | HeLa | |
| 1 | 97.5 (399.6) | 55.0 (225.4) | 59.1 (242.2) | >150 (614.7) |
| 2 | 68.8 (264.6) | 53.0 (203.8) | 69.0 (265.4) | >150 (576.9) |
| 3 | >150 (643.7) | 100.0 (429.2) | >150 (643.7) | 49.0 (210.3) |
| 6 | 98.1 (220.9) | 39.5 (88.9) | 78.9 (177.7) | 86.3 (194.4) |
2.5. Discussions
3. Experimental Section
3.1. General Experimental
3.2. MTT Assay
3.3. Original Strain and Spore Suspension Preparation
3.4. Ultrasound Irradiation of the ZBY-3 Spores
3.5. Mutant Selection
3.6. Resistance Test for Acquired Resistance of Mutant u2n2h3-3 to Neomycin
3.7. Fermentation and Sample Preparation for the MTT Assay and Chemical Analysis
3.8. HPLC-PDAD-UV and HPLC-ESI-MS Analyses
3.9. Experiments for Investigation on Compounds 1–6 from Mutant u2n2h3-3
3.9.1. Large-Scale Fermentation and EtOAc Extract Preparation
3.9.2. Isolation of Compounds 1–6
3.9.3. Physicochemical and Spectroscopic Data of 1–6
−29.2 (c 0.21, MeOH). Positive ion ESIMS m/z: 234 [M + H]+, 256 [M + Na]+, 272 [M + K]+. Positive HRESIMS m/z: measured 234.1122 [M + H]+, calculated for C13H16NO3 [M + H]+ 234.1130; measured 256.0943 [M + Na]+, calculated for C13H15NO3Na [M + Na]+ 256.0950; measured 272.0681 [M + K]+, calculated for C13H15NO3K [M + K]+ 272.0689; measured 489.1986 [2M + Na]+, calculated for C26H30N2O6Na [M + Na]+ 489.2002. 1H and 13C NMR: Table 3.3.9.4. Marfey Analysis for 1–5
| HPLC Condition a | FDAA Derivative | tR (min) | FDAA Derivative | tR (min) |
|---|---|---|---|---|
| A | l-proline (Pro) | 28.77 | d-proline (Pro) | 29.75 |
| A | l-phenylalanine (Phe) | 38.47 | d-phenylalanine (Phe) | 40.33 |
| A | l-tyrosine (Tyr) | 30.27 | d-tyrosine (Tyr) | 31.37 |
| A | l-glutamic acid (Glu) | 28.07 | d-glutamic acid (Glu) | 28.50 |
| B | l-glutamic acid (Glu) | 52.65 | d-glutamic acid (Glu) | 56.87 |
| A | l-isoleucine (Ile) | 35.13 | d-isoleucine (Ile) | 37.55 |
| A | l-leucine (Leu) | 35.57 | d-leucine (Leu) | 39.37 |
3.9.5. Examination of 1–6 in EtOAc Extracts of Mutant u2n2h3-3 and the Parent ZBY-3 Strain
4. Conclusions
Supplementary Files
Supplementary File 1Acknowledgments
Author Contributions
Conflicts of Interest
References
- Bugni, T.S.; Ireland, C.M. Marine-derived fungi: A chemically and biologically diverse group of microorganisms. Nat. Prod. Rep. 2004, 21, 143–163. [Google Scholar] [CrossRef]
- Saleem, M.; Ali, M.S.; Hussain, S.; Jabbar, A.; Ashraf, M.; Lee, Y.S. Marine natural products of fungal origin. Nat. Prod. Rep. 2007, 24, 1142–1152. [Google Scholar] [CrossRef]
- Bhatnagar, I.; Kim, S.-K. Immense essence of excellence: Marine microbial bioactive compounds. Mar. Drugs 2010, 8, 2673–2701. [Google Scholar] [CrossRef]
- Rateb, M.E.; Ebel, R. Secondary metabolites of fungi from marine habitats. Nat. Prod. Rep. 2011, 28, 290–344. [Google Scholar] [CrossRef]
- Pejin, B.; Jovanović, K.K.; Mojović, M.; Savić, A.G. New and highly potent antitumor natural products from marine-derived fungi: Covering the period from 2003 to 2012. Curr. Top. Med. Chem. 2013, 13, 2745–2766. [Google Scholar] [CrossRef]
- Newman, D.J.; Cragg, G.M. Marine-sourced anti-cancer and cancer pain control agents in clinical and late preclinical development. Mar. Drugs 2014, 12, 255–278. [Google Scholar] [CrossRef]
- Blunt, J.W.; Copp, B.R.; Keyzers, R.A.; Munro, M.H.G.; Prinsep, M.R. Marine natural products. Nat. Prod. Rep. 2014, 31, 160–258. [Google Scholar] [CrossRef]
- Blunt, J.W.; Copp, B.R.; Keyzers, R.A.; Munro, M.H.G.; Prinsep, M.R. Marine natural products. Nat. Prod. Rep. 2013, 30, 237–323. [Google Scholar] [CrossRef]
- Blunt, J.W.; Copp, B.R.; Keyzers, R.A.; Munro, M.H.G.; Prinsep, M.R. Marine natural products. Nat. Prod. Rep. 2012, 29, 144–222. [Google Scholar] [CrossRef]
- Blunt, J.W.; Copp, B.R.; Munro, M.H.G.; Northcote, P.T.; Prinsep, M.R. Marine natural products. Nat. Prod. Rep. 2011, 28, 196–268. [Google Scholar] [CrossRef]
- Blunt, J.W.; Copp, B.R.; Munro, M.H.G.; Northcote, P.T.; Prinsep, M.R. Marine natural products. Nat. Prod. Rep. 2010, 27, 165–237. [Google Scholar] [CrossRef]
- Schneider, P.; Misiek, M.; Hoffmeister, D. In vivo and in vitro production options for fungal secondary metabolites. Mol. Pharm. 2008, 5, 234–242. [Google Scholar] [CrossRef]
- Hertweck, C. Hidden biosynthetic treasures brought to light. Nat. Chem. Biol. 2009, 5, 450–452. [Google Scholar] [CrossRef]
- Cichewicz, R.H.; Henrikson, J.C.; Wang, X.; Branscum, K.M. Strategies for accessing microbial secondary metabolites from silent biosynthetic pathways. In Manual of Industrial Microbiology and Biotechnology, 3rd ed.; Baltz, R.H., Davies, J.E., Demain, A.L., Bull, A.T., Junker, B., Katz, L., Lynd, L.R., Masurekar, P.C., Reeves, D., Zhao, H., Eds.; ASM Press: Washington, DC, USA, 2010; pp. 78–95. [Google Scholar]
- Brakhage, A.A.; Schroeckh, V. Fungal secondary metabolites—Strategies to activate silent gene clusters. Fungal Genet. Biol. 2011, 48, 15–22. [Google Scholar] [CrossRef]
- Ochi, K.; Hosaka, T. New strategies for drug discovery: Activation of silent or weakly expressed microbial gene clusters. Appl. Microbiol. Biotechnol. 2013, 97, 87–98. [Google Scholar] [CrossRef]
- Bode, H.B.; Bethe, B.; Höfs, R.; Zeeck, A. Big effects from small changes: Possible ways to explore nature’s chemical diversity. ChemBioChem 2002, 3, 619–627. [Google Scholar]
- Marmann, A.; Aly, A.H.; Lin, W.; Wang, B.; Proksch, P. Co-cultivation—A powerful emerging tool for enhancing the chemical diversity of microorganisms. Mar. Drugs 2014, 12, 1043–1065. [Google Scholar] [CrossRef]
- Henrikson, J.C.; Hoover, A.R.; Joyner, P.M.; Cichewicz, R.H. A chemical epigenetics approach for engineering the in situ biosynthesis of a cryptic natural product from Aspergillus niger. Org. Biomol. Chem. 2009, 7, 435–438. [Google Scholar]
- Cichewicz, R.H. Epigenome manipulation as a pathway to new natural product scaffolds and their congeners. Nat. Prod. Rep. 2010, 27, 11–22. [Google Scholar] [CrossRef]
- Takahashi, J.A.; Teles, A.P.C.; Bracarense, A.A.P.; Gomes, D.C. Classical and epigenetic approaches to metabolite diversification in filamentous fungi. Phytochem. Rev. 2013. [Google Scholar] [CrossRef]
- Ochi, K.; Okamoto, S.; Tozawa, Y.; Inaoka, T.; Hosaka, T.; Xu, J.; Kurosawa, K. Ribosome engineering and secondary metabolite production. Adv. Appl. Microbiol. 2004, 56, 155–184. [Google Scholar] [CrossRef]
- Ochi, K. From microbial differentiation to ribosome engineering. Biosci. Biothenol. Biochem. 2007, 71, 1373–1386. [Google Scholar] [CrossRef]
- Hosaka, T.; Ohnishi-Kameyama, M.; Muramatsu, H.; Murakami, K.; Tsurumi, Y.; Kodani, S.; Yoshida, M.; Fujie, A.; Ochi, K. Antibacterial discovery in actinomycetes strains with mutations in RNA polymerase or ribosomal protein S12. Nat. Biotechnol. 2009, 27, 462–464. [Google Scholar] [CrossRef]
- Bergmann, S.; Schümann, J.; Scherlach, K.; Lange, C.; Brakhage, A.A.; Hertweck, C. Genomics-driven discovery of PKS-NRPS hybrid metabolites from Aspergillus nidulans. Nat. Chem. Biol. 2007, 3, 213–217. [Google Scholar]
- Scherlach, K.; Nützmann, H.-W.; Schroeckh, V.; Dahse, H.-M.; Brakhage, A.A.; Hertweck, C. Cytotoxic pheofungins from an engineered fungus impaired in posttranslational protein modification. Angew. Chem. Int. Ed. 2011, 50, 9843–9847. [Google Scholar] [CrossRef]
- Chai, Y.-J.; Cui, C.-B.; Li, C.-W.; Wu, C.-J.; Tian, C.-K.; Hua, W. Activation of the dormant secondary metabolite production by introducing gentamicin-resistance in a marine-derived Penicillium purpurogenum G59. Mar. Drugs 2012, 10, 559–582. [Google Scholar] [CrossRef]
- Fang, S.-M.; Wu, C.-J.; Li, C.-W.; Cui, C.-B. A practical strategy to discover new antitumor compounds by activating silent metabolite production in fungi by diethyl sulphate mutagenesis. Mar. Drugs 2014, 12, 1788–1814. [Google Scholar] [CrossRef]
- Xia, M.-W.; Cui, C.-B.; Li, C.-W.; Wu, C.-J. Three new and eleven known unusual C25 steroids: Activated production of silent metabolites in a marine-derived fungus by chemical mutagenesis strategy using diethyl sulphate. Mar. Drugs 2014, 12, 1545–1568. [Google Scholar] [CrossRef]
- Wu, C.-J.; Li, C.-W.; Cui, C.-B. Seven new and two known lipopeptides as well as five known polyketides: The activated production of silent metabolites in a marine-derived fungus by chemical mutagenesis strategy using diethyl sulphate. Mar. Drugs 2014, 12, 1815–1838. [Google Scholar] [CrossRef]
- Dias, T.; Sairam, S.; Kumarasiri, S. Ultrasound diagnosis of fetal renal abnormalities. Best Pract. Res. Clin. Obstet. Gynaecol. 2014, 28, 403–415. [Google Scholar] [CrossRef]
- Cournane, S.; Fagan, A.J.; Browne, J.E. An audit of a hospital-based Doppler ultrasound quality control protocol using a commercial string Doppler phantom. Phys. Medica 2014, 30, 380–384. [Google Scholar] [CrossRef]
- Wolfram, F.; Reichenbach, J.R.; Lesser, T.G. An ex vivo human lung model for ultrasound-guided high-intensity focused ultrasound therapy using lung flooding. Ultrasound Med. Biol. 2014, 40, 496–503. [Google Scholar] [CrossRef]
- Adhikari, S.; Blaivas, M. History, progress, and future of emergency ultrasound. Ultrasound Clin. 2014, 9, 119–121. [Google Scholar] [CrossRef]
- Krasulya, O.; Shestakov, S.; Bogush, V.; Potoroko, I.; Cherepanov, P.; Krasulya, B. Applications of sonochemistry in russian food processing industry. Ultrason. Sonochem. 2014. [Google Scholar] [CrossRef]
- Chemat, F.; Zill-e-Huma; Khan, M.K. Applications of ultrasound in food technology: Processing, preservation. Ultrason. Sonochem. 2011, 18, 813–835. [Google Scholar] [CrossRef]
- Awad, T.S.; Moharram, H.A.; Shaltout, O.E.; Asker, D.; Youssef, M.M. Applications of ultrasound in analysis, processing and quality control of food: A review. Food Res. Int. 2012, 48, 410–427. [Google Scholar] [CrossRef]
- Chisti, Y. Sonobioreactors: Using ultrasound for enhanced microbial productivity. Trends Biotechnol. 2003, 21, 89–93. [Google Scholar] [CrossRef]
- Yao, L.-Y.; Zhu, Y.-X.; Jiao, R.-H.; Lu, Y.-H.; Tan, R.-X. Enhanced production of fumigaclavine C by ultrasound stimulation in a two-stage culture of Aspergillus fumigatus CY018. Biores. Technol. 2014, 159, 112–117. [Google Scholar] [CrossRef]
- Bonrath, W. Industrial applications of sonochemistry in the syntheses of vitamin-building blocks. Ultrason. Sonochem. 2003, 10, 55–59. [Google Scholar] [CrossRef]
- Zhao, Y.; Feng, R.; Shi, Y.; Hu, M. Sonochemistry in China between 1997 and 2002. Ultrason. Sonochem. 2005, 12, 173–181. [Google Scholar] [CrossRef]
- King, R.L.; Brown, J.R.; Pauly, K.B. Localization of ultrasound-induced in vivo neurostimulation in the mouse model. Ultrasound Med. Biol. 2014, 40, 1512–1522. [Google Scholar] [CrossRef]
- Huang, P.; You, X.; Pan, M.; Li, S.; Zhang, Y.; Zhao, Y.; Wang, M.; Hong, Y.; Pu, Z.; Chen, L.; et al. A novel therapeutic strategy using ultrasound mediated microbubbles destruction to treat colon cancer in a mouse model. Cancer Lett. 2013, 335, 183–190. [Google Scholar] [CrossRef]
- Sorace, A.G.; Korb, M.; Warram, J.M.; Umphrey, H.; Zinn, K.R. Ultrasound-stimulated drugdelivery fortreatmentof residual disease after incomplete resection of head and neck cancer. Ultrasound Med. Biol. 2014, 40, 755–764. [Google Scholar] [CrossRef]
- Joersbo, M.; Brunstedt, J. Sonication: A new method for gene transfer to plants. Physiol. Plant. 1992, 85, 230–234. [Google Scholar] [CrossRef]
- Liang, H.-D.; Lu, Q.L.; Xue, S.-A.; Halliwell, M.; Kodama, T.; Cosgrove, D.O.; Stauss, H.J.; Partridge, T.A.; Blomley, M.J.K. Optimisation of ultrasound-mediated gene transfer (sonoporation) in skeletal muscle cells. Ultrasound Med. Biol. 2004, 30, 1523–1529. [Google Scholar] [CrossRef]
- Kodama, T.; Tomita, Y.; Koshiyama, K.-I.; Blomley, M.J.K. Transfection effect of microbubbles on cells in superposed ultrasound waves and behavior of cavitation bubble. Ultrasound Med. Biol. 2006, 32, 905–914. [Google Scholar] [CrossRef]
- Ninomiya, K.; Yamada, R.; Meisaku, H.; Shimizu, N. Effect of ultrasound irradiation on bacterial internalization and bacteria-mediated gene transfer to cancer cells. Ultrason. Sonochem. 2014, 21, 1187–1193. [Google Scholar] [CrossRef]
- Sun, R.R.; Noble, M.L.; Sun, S.S.; Song, S.; Miao, C.H. Development of therapeutic microbubbles for enhancing ultrasound-mediated gene delivery. J. Control. Release 2014, 182, 111–120. [Google Scholar] [CrossRef]
- Fdhila, F.; Vázquez, V.; Sánchez, J. DD-Diketopiperazines: Antibiotics active against Vibrio anguillarum isolated from marine bacteria associated with cultures of Pecten maximus. J. Nat. Prod. 2003, 66, 1299–1301. [Google Scholar] [CrossRef]
- Wang, G.; Dai, S.; Chen, M.; Wu, H.; Xie, L.; Luo, X.; Li, X. Two diketopiperazine cyclo(Pro-Phe) isomers from marine bacteria Bacillus subtilis sp. 13-2. Chem. Nat. Compd. 2010, 46, 583–585. [Google Scholar] [CrossRef]
- Thajudeen, H.; Park, K.; Moon, S.-S.; Hong, I.S. An efficient green synthesis of proline-based cyclic dipeptides under water-mediated catalyst-free conditions. Tetrahedron Lett. 2010, 51, 1303–1305. [Google Scholar] [CrossRef]
- Pedras, M.S.C.; Yu, Y.; Liu, J.; Tandron-Moya, Y.A. Metabolites produced by the phytopathogenic fungus Rhizoctonia solani: Isolation, chemical structure determination, syntheses and bioactivity. Z. Naturforsch. 2005, 60c, 717–722. [Google Scholar]
- Selvakumar, S.; Sivasankarana, D.; Singh, V.K. Enantioselective Henry reaction catalyzed by C2-symmetric chiral diamine-copper(II) complex. Org. Biomol. Chem. 2009, 7, 3156–3162. [Google Scholar] [CrossRef]
- Bhushan, R.; Brückner, H. Marfey’s reagent for chiral amino acid analysis: A review. Amino Acids 2004, 27, 231–247. [Google Scholar] [CrossRef]
- Chen, X.-W.; Li, C.-W.; Hua, W.; Wu, C.-J.; Cui, C.-B.; Zhu, T.-J.; Gu, Q.-Q. Metabolites of Aspergillus sp. 16-02-1 isolated from a deep sea sediment and preliminary test of their antitumor and antifungal activities. Chin. J. Mar. Drugs 2013, 32, 1–10. [Google Scholar]
- Xiong, H.Y.; Fei, D.Q.; Zhou, J.S.; Yang, C.J.; Ma, G.L. Steroids and other constituents from the mushroom Armillaria lueo-virens. Chem. Nat. Compd. 2009, 45, 759–761. [Google Scholar] [CrossRef]
- Hardegger, E.; Ott, H. Kodguration des cocains und derivate der ecgoninsaure. Helv. Chim. Acta 1995, 38, 312–320. [Google Scholar] [CrossRef]
- Furukawa, A.; Yoshimoto, T.; Tsuru, O.; Ajisawa, Y.; Kinoshita, Y. Pyroglutamic acid derivative. Jpn. Kokai Tokkyo Koho JP 03056462 A, 12 March 1991. [Google Scholar]
- Eberhardt, H. 5-Oxo-2-pyrrolidinecarboxylic acid phenylalkanol esters. Ger. Offen. DE 2456634 A1, 12 August 1976. [Google Scholar]
- Hoffmann, M.; Molenda, M. Composition for hair comprising PCA and PCA ester. Eur. Pat. Appl. EP 2090291 A1, 19 August 2009. [Google Scholar]
- Lee, H.B.; Kim, Y.; Kim, J.C.; Choi, G.J.; Park, S.-H.; Kim, C.-J.; Jung, H.S. Activity of some aminoglycoside antibiotics against true fungi, Phytophthora and Pythium species. J. Appl. Microbiol. 2005, 99, 836–843. [Google Scholar] [CrossRef]
- Cronan, J.M.; Davidson, T.R.; Singleton, F.L.; Colwell, R.R.; Cardellina, J.H., II. Plant growth promoters isolated from a marine bacterium associated with Palythoa sp. Nat. Prod. Lett. 1998, 11, 271–278. [Google Scholar] [CrossRef]
- Shigemori, H.; Tenma, M.; Shimazaki, K.; Kobayashi, J. Three new metabolites from the marine yeast Aureobasidium pullulans. J. Nat. Prod. 1998, 61, 696–698. [Google Scholar] [CrossRef]
- Huang, R.-M.; Ma, W.; Dong, J.-D.; Zhou, X.-F.; Xu, T.; Lee, K.J.; Yang, X.; Xu, S.-H.; Liu, Y. A new 1,4-diazepine from South China Sea marine sponge Callyspongia species. Molecules 2010, 15, 871–877. [Google Scholar] [CrossRef]
- Park, K.S.; Park, J.W.; Lee, S.Y.; Moon, S.S.; Hong, I.S. Agricultural Agent Containing 2,5-Diketopiperazine Derivative as Active Ingredient. U.S. Patent Application Publication US 20130190177 A1, 25 July 2013. [Google Scholar]
- Liu, Y.-X.; Ma, S.-G.; Wang, X.-J.; Zhao, N.; Qu, J.; Yu, S.-S.; Dai, J.-G.; Wang, Y.-H.; Si, Y.-K. Diketopiperazine alkaloids produced by the endophytic fungus Aspergillus fumigatus from the stem of Erythrophloeum fordii Oliv. Helv. Chim. Acta 2012, 95, 1401–1408. [Google Scholar] [CrossRef]
- Valisolalao, J.; Luu, B.; Ourisson, G. Steroides cytotoxiques de Polyporus versicolor. Tetrahedron 1983, 39, 2779–2785. [Google Scholar] [CrossRef]
- Kawagishi, H.; Katsumi, R.; Sazawa, T.; Mizuno, T.; Hagiwara, T.; Nakamura, T. Cytotoxic steroids from the mushroom Agaricus blazei. Phytochemistry 1988, 27, 2777–2779. [Google Scholar] [CrossRef]
© 2014 by the authors; licensee MDPI, Basel, Switzerland. This article is an open access article distributed under the terms and conditions of the Creative Commons Attribution license (http://creativecommons.org/licenses/by/3.0/).
Share and Cite
Dong, Y.; Cui, C.-B.; Li, C.-W.; Hua, W.; Wu, C.-J.; Zhu, T.-J.; Gu, Q.-Q. Activation of Dormant Secondary Metabolite Production by Introducing Neomycin Resistance into the Deep-Sea Fungus, Aspergillus versicolor ZBY-3. Mar. Drugs 2014, 12, 4326-4352. https://doi.org/10.3390/md12084326
Dong Y, Cui C-B, Li C-W, Hua W, Wu C-J, Zhu T-J, Gu Q-Q. Activation of Dormant Secondary Metabolite Production by Introducing Neomycin Resistance into the Deep-Sea Fungus, Aspergillus versicolor ZBY-3. Marine Drugs. 2014; 12(8):4326-4352. https://doi.org/10.3390/md12084326
Chicago/Turabian StyleDong, Yuan, Cheng-Bin Cui, Chang-Wei Li, Wei Hua, Chang-Jing Wu, Tian-Jiao Zhu, and Qian-Qun Gu. 2014. "Activation of Dormant Secondary Metabolite Production by Introducing Neomycin Resistance into the Deep-Sea Fungus, Aspergillus versicolor ZBY-3" Marine Drugs 12, no. 8: 4326-4352. https://doi.org/10.3390/md12084326
APA StyleDong, Y., Cui, C.-B., Li, C.-W., Hua, W., Wu, C.-J., Zhu, T.-J., & Gu, Q.-Q. (2014). Activation of Dormant Secondary Metabolite Production by Introducing Neomycin Resistance into the Deep-Sea Fungus, Aspergillus versicolor ZBY-3. Marine Drugs, 12(8), 4326-4352. https://doi.org/10.3390/md12084326

