Krempfielins N–P, New Anti-Inflammatory Eunicellins from a Taiwanese Soft Coral Cladiella krempfi
Abstract
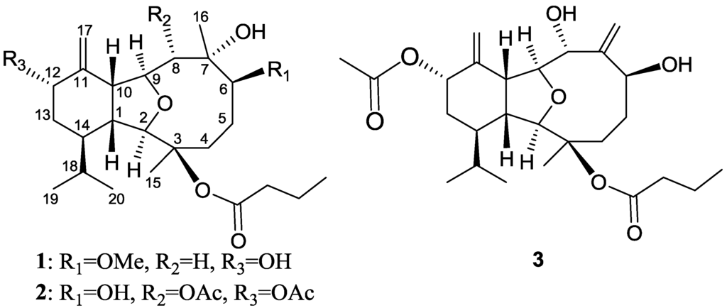
:1. Introduction

2. Results and Discussion
| 1 a | 2 b | 3 a | |
|---|---|---|---|
| δC | δC | δC | |
| 1 | 44.4, CH c | 45.1, CH | 43.2, CH c |
| 2 | 91.0, CH | 91.5, CH | 90.7, CH |
| 3 | 86.5, C | 85.7, C | 84.5, C |
| 4 | 36.0, CH2 | 35.7, CH2 | 28.7, CH2 |
| 5 | 26.7, CH2 | 28.9, CH2 | 35.4, CH2 |
| 6 | 89.7, CH | 77.5, CH | 67.0, CH |
| 7 | 75.8, C | 79.4, C | 152.5, C |
| 8 | 45.2, CH2 | 79.0, CH | 77.2, CH |
| 9 | 80.0, CH | 79.4, CH | 85.0, CH |
| 10 | 51.4, CH | 50.1, CH | 46.6, CH |
| 11 | 148.0, C | 143.6, C | 141.4, C |
| 12 | 71.0, CH | 73.5, CH | 73.2, CH |
| 13 | 30.7, CH2 | 29.2, CH2 | 29.0, CH2 |
| 14 | 36.6, CH | 37.2, CH | 36.9, CH |
| 15 | 23.2, CH3 | 23.1, CH3 | 22.1, CH3 |
| 16 | 23.6, CH3 | 18.0, CH3 | 118.1, CH2 |
| 17 | 112.5, CH2 | 115.1, CH2 | 119.4, CH2 |
| 18 | 28.8, CH | 28.6, CH | 26.9, CH |
| 19 | 16.0, CH3 | 15.6, CH3 | 15.3, CH3 |
| 20 | 21.8, CH3 | 21.7, CH3 | 21.6, CH3 |
| 3- n-butyrate | 172.3, C | 173.0, C | 172.5, C |
| 37.4, CH2 | 36.7, CH2 | 37.4, CH2 | |
| 18.4, CH2 | 18.5, CH2 | 18.5, CH2 | |
| 13.7, CH3 | 13.5, CH3 | 13.6, CH3 | |
| 6-OMe | 57.0, CH3 | ||
| 8-OAc | 170.7, C | ||
| 21.4, CH3 | |||
| 12-OAc | 170.2, C | 170.1, C | |
| 21.6, CH3 | 21.7, CH3 |
| 1 a | 2 b | 3 a | |
|---|---|---|---|
| δH | δH | δH | |
| 1 | 2.25 m | 2.28 dd (10.0, 7.0) | 2.26 m |
| 2 | 3.70 br s | 3.67 br s | 3.84 br s |
| 3 | |||
| 4 | 1.86 m, 2.64 m | 1.85 m, 2.66 m | 1.68 m, 2.66 m |
| 5 | 1.33 m, 1.65 m | 1.49 m, 1.65 m | 1.76 m |
| 2.21 m | |||
| 6 | 4.12 m | 4.66 d (6.5) | 4.75 dd (10.8, 4.4) d |
| 7 | |||
| 8 | 1.82 m | 5.19 d (10.0) | 4.20 s |
| 9 | 4.53 m | 4.31 dd (10.0, 6.5) | 4.43 d (10.8) |
| 10 | 2.91 t (6.4) c | 3.38 dd (7.0, 7.0) | 2.90 dd (10.8, 8.4) |
| 11 | |||
| 12 | 4.39 s | 5.43 dd (4.0, 3.0) | 5.49 t (2.8) |
| 13 | 1.36 m, 1.86 m | 1.37 m, 1.93 m | 1.30 m, 1.98 m |
| 14 | 1.86 m | 1.70 m | 1.71 m |
| 15 | 1.45 s | 1.45 s | 1.65 s |
| 16 | 1.12 s | 1.08 s | 5.23 s, 5.55 s |
| 17 | 4.86 s, 5.03 s | 4.84 s, 5.10 s | 4.96 d (1.6) |
| 5.27 d (1.6) | |||
| 18 | 1.81 m | 1.80 m | 1.96 m |
| 19 | 0.82 d (7.6) | 0.80 d (7.0) | 0.75 d (6.8) |
| 20 | 0.99 d (7.2) | 0.95 d (7.0) | 0.95 d (6.8) |
| 3- n-butyrate | 2.30 m | 2.60 m, 2.50 m | 2.12 m |
| 1.67 m | 1.67 m | 1.58 m | |
| 0.98 t (7.6) | 1.00 t (7.5) | 0.92 t (7.6) | |
| 6-OMe | 3.34 s | ||
| 8-OAc | 2.07 s | ||
| 12-OAc | 2.08 s | 2.05 s |


| Compound | Elastase | ||
|---|---|---|---|
| Inhibition (%) | IC50 (µM) | ||
| 1 | 73.86 ± 14.18 | ** | 4.94 ± 1.68 |
| 2 | 13.33 ± 3.56 | * | >10 |
| 3 | 35.54 ± 3.17 | *** | >10 |
3. Experimental Section
3.1. General Experimental Procedures
3.2. Animal Material
3.3. Extraction and Separation
3.3.1. Krempfielin N (1)
3.3.2. Krempfielin O (2)
3.3.3. Krempfielin P (3)
3.4. In Vitro Anti-Inflammatory Assay—Superoxide Anion Generation and Elastase Release by Human Neutrophils
4. Conclusions
Supplementary Files
Acknowledgments
Conflicts of Interest
References
- Blunt, J.W.; Copp, B.R.; Keyzers, R.A.; Munro, M.H.; Prinsep, M.R. Marine natural products. Nat. Prod. Rep. 2013, 30, 237–323. [Google Scholar] [CrossRef]
- Lin, W.-Y.; Lu, Y.; Su, J.-H.; Wen, Z.-H.; Dai, C.-F.; Kuo, Y.-H.; Sheu, J.-H. Bioactive cembranoids from the dongsha atoll soft coral Sarcophyton crassocaule. Mar. Drugs 2011, 9, 994–1006. [Google Scholar] [CrossRef]
- Chao, C.-H.; Chou, K.-J.; Huang, C.-Y.; Wen, Z.-H.; Hsu, C.-H.; Wu, Y.-C.; Dai, C.-F.; Sheu, J.-H. Bioactive cembranoids from the soft coral Sinularia crassa. Mar. Drugs 2011, 9, 1955–1968. [Google Scholar] [CrossRef]
- Chao, C.-H.; Chou, K.-J.; Wen, Z.-H.; Wang, G.-H.; Wu, Y.-C.; Dai, C.-F.; Sheu, J.-H. Paraminabeolides A–F, cytotoxic and anti-inflammatory marine withanolides from the soft coral Paraminabea acronocephala. J. Nat. Prod. 2011, 74, 1132–1141. [Google Scholar] [CrossRef]
- Wen, Z.-H.; Chao, C.-H.; Wu, M.-H.; Sheu, J.-H. A neuroprotective sulfone of marine origin and the in vivo anti-inflammatory activity of an analogue. Eur. J. Med. Chem. 2010, 45, 5998–6004. [Google Scholar] [CrossRef]
- Chen, Y.-H.; Tai, C.-Y.; Hwang, T.-L.; Weng, C.-F.; Li, J.-J.; Fang, L.-S.; Wang, W.-H.; Wu, Y.-C.; Sung, P.-J. Cladielloides A and B: New eunicellin-type diterpenoids from an Indonesian octocoral Cladiella sp. Mar. Drugs 2010, 8, 2936–2945. [Google Scholar] [CrossRef]
- Chen, B.-W.; Chang, S.-M.; Huang, C.-Y.; Chao, C.-H.; Su, J.-H.; Wen, Z.-H.; Hsu, C.-H.; Dai, C.-F.; Wu, Y.-C.; Sheu, J.-H. Hirsutalins A–H, eunicellin-based diterpenoids from the soft coral Cladiella hirsuta. J. Nat. Prod. 2010, 73, 1785–1791. [Google Scholar] [CrossRef]
- Hassan, H.M.; Khanfar, M.A.; Elnagar, A.Y.; Mohammed, R.; Shaala, L.A.; Youssef, D.T.A.; Hifnawy, M.S.; El Sayed, K.A. Pachycladins A–E, prostate cancer invasion and migration inhibitory eunicellin-based diterpenoids from the Red Sea soft coral Cladiella pachyclados. J. Nat. Prod. 2010, 73, 848–853. [Google Scholar] [CrossRef]
- Chen, B.-W.; Chao, C.-H.; Su, J.-H.; Wen, Z.-H.; Sung, P.-J.; Sheu, J.-H. Anti-inflammatory eunicellin-based diterpenoids from the cultured soft coral Klyxum simplex. Org. Biomol. Chem. 2010, 8, 2363–2366. [Google Scholar] [CrossRef]
- Chen, Y.-H.; Tai, C.-Y.; Su, Y.-D.; Chang, Y.-C.; Lu, M.-C.; Weng, C.-F.; Su, J.-H.; Hwang, T.-L.; Wu, Y.-C.; Sung, P.-J. Discovery of new eunicellins from an Indonesian octocoral Cladiella sp. Mar. Drugs 2011, 9, 934–943. [Google Scholar] [CrossRef]
- Hsu, F.-J.; Chen, B.-W.; Wen, Z.-H.; Huang, C.-Y.; Dai, C.-F.; Su, J.-H.; Wu, Y.-C.; Sheu, J.-H. Klymollins A–H, bioactive eunicellin-based diterpenoids from the Formosan soft coral Klyxum molle. J. Nat. Prod. 2011, 74, 2467–2471. [Google Scholar] [CrossRef]
- Chen, B.-W.; Chao, C.-H.; Su, J.-H.; Tsai, C.-W.; Wang, W.-H.; Wen, Z.-H.; Huang, C.-Y.; ung, P.-J.; Wu, Y.-C.; Sheu, J.-H. Klysimplexins I–T, eunicellin-based diterpenoids from the cultured soft coral Klyxum simplex. Org. Biomol. Chem. 2011, 9, 834–844. [Google Scholar] [CrossRef]
- Williams, D.E.; Amlani, A.; Dewi, A.S.; Patrict, B.O.; van Ofwegen, L.; Mui, A.L.-F.; Andersen, R.J. Australin E isolated from the soft coral Cladiella sp. collected in Pohnpei activates the inositol 5-phosphatase SHIP1. Aust. J. Chem. 2010, 63, 895–900. [Google Scholar] [CrossRef]
- Iwagawa, T.; Kusatsu, T.; Tsuha, K.; Hamada, T.; Okamura, H.; Furukawa, T.; Akiyama, S.; Doe, M.; Morimoto, Y.; Iwase, F.; et al. Cytotoxic eunicellin-type diterpenes from the soft coral Litophyton viscudium. Heterocycles 2011, 83, 2149–2155. [Google Scholar] [CrossRef]
- Cai, Y.-S.; Yao, L.-G.; Di Pascale, A.; Irace, C.; Mollo, E.; Taglialatela-Scafati, O.; Guo, Y.-W. Polyoxygenated diterpenoids of the eunicellin-type from the Chinese soft coral Cladiella krempfi. Tetrahedron 2013, 69, 2214–2219. [Google Scholar] [CrossRef]
- Sarma, N.S.; Chavakula, R.; Rao, I.N.; Kadirvelraj, R.; Row, T.N.G.; Saito, I. Crystal and molecular structure of sclerophytin F methyl ether from the soft coral Cladiella krempfi. J. Nat. Prod. 1993, 56, 1977–1980. [Google Scholar] [CrossRef]
- Lan, W.-J.; Lin, C.-W.; Su, J.-Y.; Zeng, L.-M. Two steroidal glycosides from the soft coral Cladiella krempfi. Chem. J. Chin. Univ. 2003, 24, 2019–2021. [Google Scholar]
- Huang, X.-P.; Deng, Z.-W.; Ofwegen, L.V.; Li, J.; Fu, H.-Z.; Zhu, X.-B.; Lin, W.-H. Two new pregnane glycosides from soft coral Cladiella krempfi. J. Asian Nat. Prod. Res. 2006, 8, 287–291. [Google Scholar] [CrossRef]
- Huang, X.-P.; Deng, Z.-W.; Zhu, X.-B.; Ofwegen, L.V.; Proksch, P.; Lin, W.-H. Krempenes A–D: A series of unprecedented pregnane-type steroids from the marine soft coral Cladiella krempfi. Helv. Chim. Acta 2006, 89, 2020–2026. [Google Scholar] [CrossRef]
- Tai, C.-J.; Su, J.-H.; Huang, M.-S.; Wen, Z.-H.; Dai, C.-F.; Sheu, J.-H. Bioactive eunicellin-based diterpenoids from the soft coral Cladiella krempfi. Mar. Drugs 2011, 9, 2036–2045. [Google Scholar] [CrossRef]
- Tai, C.-J.; Su, J.-H.; Huang, C.-Y.; Huang, M.-S.; Wen, Z.-H.; Dai, C.-F.; Sheu, J.-H. Cytotoxic and anti-inflammatory eunicellin-based diterpenoids from the soft coral Cladiella krempfi. Mar. Drugs 2013, 11, 788–799. [Google Scholar] [CrossRef]
- Lee, Y.-N.; Tai, C.-J.; Hwang, T.-L.; Sheu, J.-H. Krempfielins J–M, new eunicellin-based diterpenoids from the soft coral Cladiella krempfi. Mar. Drugs 2013, 11, 2741–2750. [Google Scholar] [CrossRef]
- Lin, M.-C.; Chen, B.-W.; Huang, C.-Y.; Dai, C.-F.; Hwang, T.-L.; Sheu, J.-H. Eunicellin-Based diterpenoids from the Formosan soft coral Klyxum molle with inhibitory activity on superoxide generation and elastase release by neutrophils. J. Nat. Prod. 2013, 76, 1661–1667. [Google Scholar] [CrossRef]
- Yu, H.-P.; Hsieh, P.-W.; Chang, Y.-J.; Chung, P.-J.; Kuo, L.-M.; Hwang, T.-L. 2-(2-Fluorobenzamido) benzoate ethyl ester (EFB-1) inhibits superoxide production by human neutrophils and attenuates hemorrhagic shock-induced organ dysfunction in rats. Free Radic. Biol. Med. 2011, 50, 1737–1748. [Google Scholar] [CrossRef]
- Hwang, T.-L.; Wang, C.-C.; Kuo, Y.-H.; Huang, H.-C.; Wu, Y.-C.; Kuo, L.-M.; Wu, Y.-H. The hederagenin saponin SMG-1 is a natural FMLP receptor inhibitor that suppresses human neutrophil activation. Biochem. Pharmacol. 2010, 80, 1190–1200. [Google Scholar] [CrossRef]
© 2014 by the authors; licensee MDPI, Basel, Switzerland. This article is an open access article distributed under the terms and conditions of the Creative Commons Attribution license (http://creativecommons.org/licenses/by/3.0/).
Share and Cite
Lee, Y.-N.; Tai, C.-J.; Hwang, T.-L.; Sheu, J.-H. Krempfielins N–P, New Anti-Inflammatory Eunicellins from a Taiwanese Soft Coral Cladiella krempfi. Mar. Drugs 2014, 12, 1148-1156. https://doi.org/10.3390/md12021148
Lee Y-N, Tai C-J, Hwang T-L, Sheu J-H. Krempfielins N–P, New Anti-Inflammatory Eunicellins from a Taiwanese Soft Coral Cladiella krempfi. Marine Drugs. 2014; 12(2):1148-1156. https://doi.org/10.3390/md12021148
Chicago/Turabian StyleLee, Yan-Ning, Chi-Jen Tai, Tsong-Long Hwang, and Jyh-Horng Sheu. 2014. "Krempfielins N–P, New Anti-Inflammatory Eunicellins from a Taiwanese Soft Coral Cladiella krempfi" Marine Drugs 12, no. 2: 1148-1156. https://doi.org/10.3390/md12021148
APA StyleLee, Y.-N., Tai, C.-J., Hwang, T.-L., & Sheu, J.-H. (2014). Krempfielins N–P, New Anti-Inflammatory Eunicellins from a Taiwanese Soft Coral Cladiella krempfi. Marine Drugs, 12(2), 1148-1156. https://doi.org/10.3390/md12021148


