Next Article in Journal
Nano- and Microdelivery Systems for Marine Bioactive Lipids
Previous Article in Journal
Three New Asperentin Derivatives from the Algicolous Fungus Aspergillus sp. F00785
 
 
Font Type:
Arial Georgia Verdana
Font Size:
Aa Aa Aa
Line Spacing:
Column Width:
Background:
Article

Aaptamine Derivatives with Antifungal and Anti-HIV-1 Activities from the South China Sea Sponge Aaptos aaptos

1
Laboratory of Marine Drugs, Department of Pharmacy, Changzheng Hospital, Second Military Medical University, Shanghai 200003, China
2
Marine Drugs Research Center, Department of Pharmacy, State Key Laboratory of Oncogenes and Related Genes, Renji Hospital, School of Medicine, Shanghai Jiao Tong University, Shanghai 200127, China
*
Author to whom correspondence should be addressed.
These authors contributed equally to this work.
Mar. Drugs 2014, 12(12), 6003-6013; https://doi.org/10.3390/md12126003
Submission received: 15 October 2014 / Revised: 3 November 2014 / Accepted: 2 December 2014 / Published: 16 December 2014

Abstract

:
Five new alkaloids of aaptamine family, compounds (15) and three known derivatives (68), have been isolated from the South China Sea sponge Aaptos aaptos. The structures of all compounds were unambiguously elucidated by spectroscopic analyses, as well as by comparison with the literature data. Compounds 12 are characterized with triazapyrene lactam skeleton, whereas compounds 45 share an imidazole-fused aaptamine moiety. These compounds were evaluated in antifungal and anti-HIV-1 assays. Compounds 3, 7, and 8 showed antifungal activity against six fungi, with MIC values in the range of 4 to 64 μg/mL. Compounds 78 exhibited anti-HIV-1 activity, with inhibitory rates of 88.0% and 72.3%, respectively, at a concentration of 10 μM.

Graphical Abstract

1. Introduction

Marine invertebrates such as sponges are well-known sources of a wide variety of natural alkaloids [1]. The aaptamines are an intriguing group of biologically active marine alkaloids sharing a rare 1H-benzo[de]-1,6-naphthyridine skeleton [2]. Since the first and most prominent member of this family, aaptamine, was obtained from the marine sponge Aaptos aaptos by Nakamura et al. in 1982 [2], various aaptamine derivatives have been isolated from marine sponges belonging to the genera Aaptos, Suberites, Luffariella, Hymeniacidon, Suberea, and Xestospongia [3]. Because of their various biological activities, such as α-adrenoceptor blocking [4], anti-HIV-1 [5], antimicrobial [6], antiherpes [7], sortase A inhibitory [8], and cytotoxic activities [9,10], these alkaloids has become an interesting focus for synthesis, structure-activity relationship and bioactivity studies [3,11]. In particular, the genus Aaptos continues to be an abundant source of aaptamine alkaloids [12,13], which still spurs interest in finding new bioactive metabolites.
Our previous chemical investigation of the sponge A. aaptos, collected from the Xisha islands in the South China Sea, led to the isolation of a series of cytotoxic aaptamine derivatives [14]. As a continuation of our studies on aaptamine alkaloids, we carried out further chromatographic purification on the extracts of A. aaptos, and five new alkaloids 15 related to aaptamines, in addition to three known aaptamines 68 were isolated. Herein, we described the isolation, the structure determination of these compounds, as well as the evaluation of their antifungal and anti-HIV-1 activities.

2. Results and Discussion

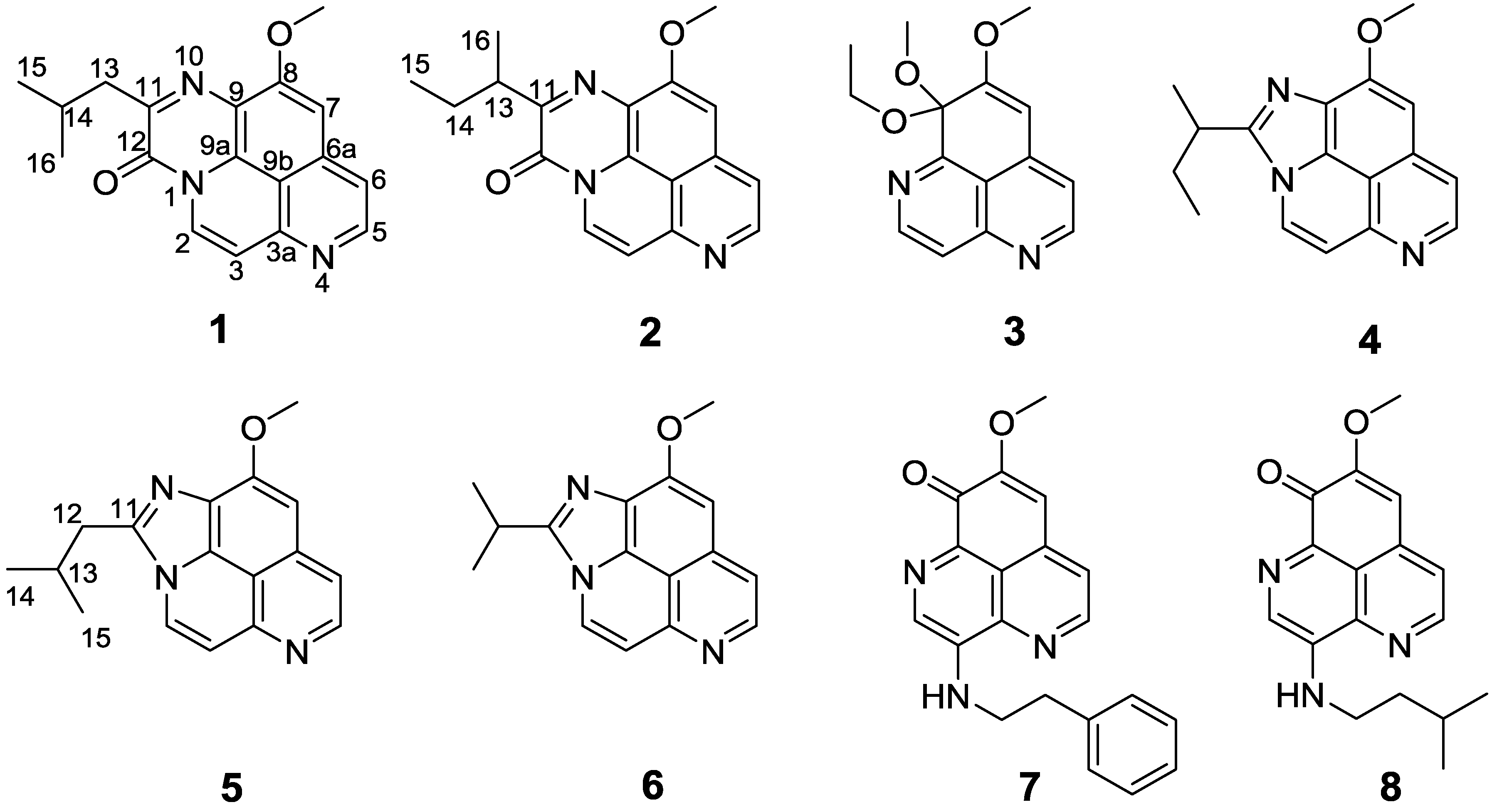
Compound 1 obtained as an amorphous yellow solid, revealed an [M + Na]+ peak at m/z 330.1220, suggesting a molecular formula of C18H17N3O2 and 12 degrees of unsaturation. The IR spectrum showed bands due to lactam carbonyl functions (1663 cm−1) [15], while the UV absorptions at 208, 224, 273, 282, 412, and 434 nm suggested the presence of triazapyrene lactam core in the molecule [13]. The 1H NMR spectrum displayed the characteristic signals for one isolated methoxy protons 8-OCH3H 4.12, 3H, s), two sets of coupled protons at H-2 (δH 8.73, d, J = 8.0 Hz) and H-3 (δH 7.48, d, J = 8.0 Hz), and H-5 (δH 7.76, d, J = 5.5 Hz) and H-6 (δH 8.70, d, J = 5.5 Hz), and the isolated proton H-7 (δH 7.39, 1H, s), which can be found in most of aaptamine structures [13]. Unlike the other aaptamine analogs reported in the literature [2,14], the absence of proton 1-NH and methoxy protons 9-OCH3 in 1 indicated the substitutions of both N-1 and C-9. In addition, key HMBC correlations from H-2 to C-3a (δC 148.2) and C-9a (δC 126.7), from H-3 to C-2 (δC 126.5) and C-9b (δC 112.8), from H-5 to C-6 (δC 116.9) and C-6a (δC 137.1), from H-6 to C-5 (δC 147.4), C-7 (δC 99.2), and C-9b, from H-7 to C-6, C-8 (δC 157.3), C-9 (δC 119.5), and C-9b, and from 8-OCH3 to C-8 (Figure 1 and Supplementary Figure S5), confirmed that 1 was an aaptamine congener [13]. Moreover, the quaternary carbons at C-11 (δC 153.9) and C-12 (δC 150.7) were confirmed to be a sp2 quaternary carbon and a lactam carbonyl, respectively, by comparison the 13C NMR data with the reported aaptamine derivatives [13]. The quaternary carbon C-11 was further linked to C-9 via a nitrogen atom on consideration of its chemical shifts. Apart from these signals, one methine carbon (δC 26.7), one methylene carbon (δC 42.4), and two overlapped methyl carbons (δC 22.6, 22.6) remained unassigned. These signals were revealed to be an isobutyl group, supported by COSY correlations of H2-13 (δH 2.91)/H-14 (δH 2.34), H-14/H3-15 (δH 0.99), and H-14/H3-16 (δH 0.99). The isobutyl group was tethered to C-12 via C-11, based on the HMBC correlations from H2-13 to C-11 and C-12. Since all the above resonances accounted for 11 out of the 12 degrees of unsaturation, the remaining one degree of unsaturation was assumed to the presence of a tetracyclic system in 1. Finally, a directly bridge between N-1 and C-12 could be rationalized the remaining one degree of unsaturation and the molecular formula. Therefore, the structure of compound 1 was unambiguously assigned as depicted in Figure 2.
Figure 1. COSY, HMBC and selected NOESY correlations of compounds 1, 3, and 4.
Figure 1. COSY, HMBC and selected NOESY correlations of compounds 1, 3, and 4.
Marinedrugs 12 06003 g001
Figure 2. Structures of compounds 18.
Figure 2. Structures of compounds 18.
Marinedrugs 12 06003 g002
Compound 2 was also obtained as a yellow solid. The molecular formula of C18H17N3O2 was deduced from its HRESIMS data (m/z 308.1400 [M + H]+) in combination with extensive NMR analyses. The NMR data for 2 indicated an overall structure similar to 1, with the only difference at the side chain substituted to C-11 (Table 1 and Table 2). The 1H NMR data for 2 lacked two overlapped methyl doublets at δH 0.99, and instead one methyl doublet at δH 1.31 and one methyl triplet at δH 0.91 were evident. These data suggested that the isobutyl group in 1 was replaced by a sec-butyl group in 2, which was supported by the COSY correlations of H2-14 (δH 1.65/1.94)/H3-15 (δH 0.91) and H-13 (δH 3.51)/H3-16 (δH 1.31), as well as the HMBC correlations from H2-14 and H3-15 to C-13 (δC 37.7), and from H-13, H2-14, and H3-16 to C-11 (δC 157.8).
Table 1. 13C NMR Data for Compounds 15.
Table 1. 13C NMR Data for Compounds 15.
Carbon1 a2 a3 b4 b5 b
2126.5126.6147.6125.7125.3
3118.6116.9122.5114.6115.5
3a148.2148.3149.6145.6146.2
5147.4147.5156.1144.8144.4
6116.9116.9117.8116.2116.2
6a137.1137.2139.3134.8134.8
799.299.399.697.497.2
8157.3157.3162.3156.8156.4
9119.5120.996.3126.2126.2
9a126.7126.5155.7129.4129.4
9b112.8112.9116.8112.3112.4
8-OCH356.356.456.156.656.5
9-OCH3 52.0
10 60.0
11153.9157.815.3151.8146.7
12150.7150.3 34.336.2
1342.437.7 29.228.8
1426.727.3 12.122.7
1522.611.9 19.222.7
1622.617.9
a Measured at 125 MHz in DMSO-d6; b Measured at 150 MHz in CDCl3.
Compound 3 was obtained as a yellow solid. The molecular formula was determined as C15H16N2O3 by an HRESIMS ion peak at m/z 295.1058 [M + Na]+. The 1H NMR spectrum revealed the resonances for two sets of coupled protons at δH 8.93 (d, J = 5.4 Hz) and 7.87 (d, J = 5.4 Hz), as well as 8.91 (d, J = 4.8 Hz) and 7.14 (d, J = 4.8 Hz), one singlet at δH 6.14, and two methoxy groups at δH 3.96 and 3.22, indicating the characteristic patterns for aaptamine congener [16]. The COSY and key HMBC correlations gave the postulated structure (Figure 1, Supplementary Figures S25 and S26). HMBC correlation from the methoxy (δH 3.22) to C-9 (δC 96.3) indicated that the methoxy was tethered to C-9. In addition, the remaining unassigned signals, one oxymethylene (δHC 3.23 and 3.47/60.0), and one methyl (δHC 1.13/15.3) were determined as an ethoxy group by COSY correlations of H-10a (δH 3.23)/H3-11 (δH 1.13) and H-10b (δH 3.47)/H3-11, which was placed at C-9 by the HMBC correlations from H-10a and H-10b to C-9. Based on these data, the structure of compound 3 can be unambiguously assigned as a methylethylketal derivative of demethyl(oxy)aaptamine as shown in Figure 2. Compound 3, however, could possibly be an artifact from the extraction process with EtOH as a solvent.
Table 2. 1H NMR Data for Compounds 15 (J in Hz).
Table 2. 1H NMR Data for Compounds 15 (J in Hz).
Position1 a2 a3 b4 b5 b
28.73, d (8.0)8.76, d (8.0)8.93, d (5.4)8.27, d (7.2)8.18, d (7.2)
37.48, d (8.0)7.49, d (8.0)7.87, d (5.4)7.57, d (7.2)7.43, d (7.2)
58.70, d (5.5)8.71, d (5.5)8.91, d (4.8)8.65, d (6.0)8.68, d (6.0)
67.76, d (5.5)7.68, d (5.5)7.14, d (4.8)7.72, d (6.0)7.43, d (6.0)
77.39, s7.40, s6.14, s7.13, s7.01, s
8-OCH34.12, s4.13, s3.96, s4.29, s4.26, s
9-OCH3 3.22, s
10a 3.23, m
10b 3.47, m
11 1.13, t, (7.2)
12 3.45, m3.16, d (7.2)
13a2.91, d (7.0)3.51, m 1.96, m2.44, m
13b 2.16, m
14a2.34, m1.65, m 0.98, t (7.2)1.08, d (7.2)
14b 1.94, m
150.99, d (7.0)0.91, t (7.0) 1.62, d (6.6)1.08, d (7.2)
160.99, d (7.0)1.31, d (7.0)
a Measured at 500 MHz in DMSO-d6; b Measured at 600 MHz in CDCl3.
Compound 4 was isolated as a yellow solid. The molecular formula was established as C17H17N3O on the basis of its HRESIMS spectrum, indicating the presence of 11 degrees of unsaturation. All 17 carbons were well resolved in the 13C NMR spectrum, and were classified by chemical shifts, DEPT and HSQC spectra as seven quaternary carbons (δC 156.8, 151.8, 145.6, 134.8, 129.4, 126.2, and 112.3), five olefinic methines (δC 144.8, 125.7, 116.2, 114.6, and 97.4), one methoxy (δC 56.6), one methine (δC 34.3), one methylene (δC 29.2), and two methyl groups (δC 19.2, 12.1). In the 1H NMR spectrum, the presence of two sets of coupled protons at H-2 (δH 8.27, d, J = 7.2 Hz) and H-3 (δH 7.57, d, J = 7.2 Hz), and H-5 (δH 8.65, d, J = 6.0 Hz) and H-6 (δH 7.72, d, J = 6.0 Hz), one isolated singlet at H-7 (δH 7.13, s), and one aromatic methoxy proton signal at 8-OCH3H 4.29, s), indicated that compound 4 was an aaptamine congener, with an 1,9-disubstituted-8-methoxybenzo[de][1,6]naphthyridine skeleton [16]. Key HMBC correlations shown in Figure 1 confirmed this proposal structure (Supplementary Figure S35). Apart from these signals, two methyls (δHC 0.98/12.1, and 1.62/19.2), one methylene (δHC 1.96, 2.16/29.2), one methine (δHC 3.45/34.3), and one quaternary sp2 carbon (δC 151.8) remained unassigned. Furthermore, COSY correlations of H3-14 (δH 0.98)/H-13a (δH 1.96), H3-14/H-13b (δH 2.16), and of H3-15 (δH 1.62)/H-12 (δH 3.45), together with the key HMBC correlations from H-13a and H-13b to C-12 (δC 34.3), from H3-14 to C-12, and from H-12 to C-13 (δC 29.2) established the presence of a sec-butyl group. Significant HMBC correlations from H-12, H-13a, H-13b, and H-15 to C-11 (δC 151.8) suggested the sec-butyl group connected to the quaternary sp2 carbon C-11 (Figure 1). On the basis of one still unassigned degree of unsaturation, the deshielded resonance of C-12, as well as the comparison of the 13C NMR data of the C-11 with the literature data of known alkaloids possess triaza-cyclopenta[cd]phenalene skeleton isolated by Laurent Calcul and co-workers [16], C-11 was directly tethered to N-1 and N-10. Therefore, the structure of compound 4 was unambiguously assigned. However, the absolute configuration of C-12 could not be definitively determined on the basis of spectral data.
Compound 5 was also isolated as a yellow solid, assigned a molecular formula of C17H17N3O, implying 11 degrees of unsaturation, as deduced from the HRESIMS spectrum. The 13C NMR and DEPT spectra exhibited 17 carbon resonances corresponding to two methyl, one methoxy, one methylene, six methine, and seven quaternary carbons. Moreover, the overall appearance of the NMR spectrum geared to compound 5 showed close structural similarity between 4 and 5, indicating the same triaza-cyclopenta[cd]phenalene skeleton, except for that C-11 was substituted by an isobutyl group in 5. This was also confirmed by the COSY correlations of H3-14 (δH 1.08)/H-13 (δH 2.44), H-13/H3-15 (δH 1.08), and H-13/H2-12 (δH 3.16), and the HMBC correlations from H2-12 and H-13 to C-11 (δC 146.7). Thus, compound 5 was identified as shown in Figure 2.
Besides the five new compounds 15, the known compounds 2-isopropyl-10-methoxyimidazo[4,5,1-ij]pyrido[2,3,4-de]quinoline (6) [16], 3-(phenethylamino)demethyl(oxy)aaptamine (7) [10], and 3-(isopentylamino)demethyl(oxy)aaptamine (8) [10] were also obtained and elucidated by comparison of their physical and spectroscopic features with the data reported in the literature (Supplementary Table S1 and Figures S51–S56).
All the isolated compounds, except 12, were tested for antifungal activity against six fungi, including Candida parapsilosis, C. glabrata, C. albicans, Cryptococcus neoformans, Trichophyton rubrum, and Microsporum gypseum, using fluconazole as a positive control (Table 3). Compound 7 showed antifungal activity against C. albicans, C. parapsilosis, C. neoformans, T. rubrum, and M. gypseum with MIC values of 32, 64, 32, 4, and 16 μg/mL, respectively. Compound 8 displayed potential antifungal activity against fungi C. neoformans, T. rubrum, and M. gypseum with MIC values of 64, 8, and 32 μg/mL, respectively. The rest compounds tested exhibited weak activity against the above fungi. In addition, these compounds, except 12, were also assessed for their inhibitory activity against HIV-1 replication, compounds 68 inhibited 27.7%, 88.0%, and 72.3%, respectively, while the other isolates were inactive at the same concentration.
Table 3. Antifungal and Anti-HIV-1 Activities of Compounds 38.
Table 3. Antifungal and Anti-HIV-1 Activities of Compounds 38.
CompoundAntifungal ActivityAnti-HIV-1 Activity (10 μM)
C. albicansC. parapsilosisC. neoformansC. glabrataT. rubrumM. gypseum
3>6432>64>64> 64> 64NA
4>64> 64>64>64> 6464NA
5>64> 64>64>64> 6464NA
6>64> 64>64>64> 646427.7%
7326432>6441688.0%
8>64>6464>6483272.3%
fluconazole0.251.000.252416NT
NT, Not tested; NA, Not active.

3. Experimental Section

3.1. General Experimental Procedures

Optical rotation data were carried out on a Perkin-Elmer model 341 polarimeter (Perkin-Elmer Inc., Waltham, MA, USA) with a 1 dm cell. UV and IR (KBr) spectra were performed on a Hitachi U-3010 spectrophotometer (Hitachi Inc., Tokyo, Japan) and Jasco FTIR-400 spectrometer (Jasco Inc., Tokyo, Japan), respectively. 1H, 13C, DEPT135, COSY, HSQC, HMBC, and NOESY NMR spectra were recorded at room temperature (rt) on Bruker AVANCE-600 and Bruker AMX-500 instruments (Bruker Biospin Corp., Billerica, MA, USA). HRESIMS and ESIMS data were obtained on a Waters Q-Tof micro YA019 mass spectrometer (Waters Corp., Milford, MA, USA). Reversed-phase HPLC was performed on YMC-Pack Pro C18 RS (5 μm) columns (YMC Co. Ltd., Kyoto, Japan) with a Waters 1525 separation module (Waters Corp., Milford, MA, USA) equipped with a Waters 2998 Photodiode Array (PDA) detector (Waters Corp., Milford, MA, USA). Silica gel (200-300 mesh, Qingdao Ocean Chemical Co., Qingdao, China), Sephadex LH-20 (18-110 μm, Pharmacia Co., Piscataway, NJ, USA), and ODS (50 μm, YMC Co. Ltd., Kyoto, Japan) were used for column chromatography. TLC was carried out using HSGF 254 plates (Qingdao Ocean Chemical Co., Qingdao, China) and visualized by spraying with anisaldehyde-H2SO4 reagent.

3.2. Animal Material

The sponge samples were collected off Woody (Yongxing, Hainan, China) Island and Seven Connected Islets in the South China Sea in June 2007, and identified as A. aaptos by Jin-He Li (Institute of Oceanology, Chinese Academy of Sciences, Qingdao, China), A voucher sample (No. OLS) was deposited in the Laboratory of Marine Drugs, Department of Pharmacy, Changzheng Hospital, Second Military Medical University, Shanghai, China.

3.3. Extraction and Isolation

The air-dried sponge (2.3 kg, dry weight) was powdered, and extracted with 95% aqueous EtOH at rt. The combined extracts were concentrated under reduced pressure to yield the crude extract (109.7 g), which was suspended in H2O and extracted with CH2Cl2 and n-BuOH to afford the CH2Cl2- and n-BuOH-soluble extracts. The CH2Cl2-soluble extract (84.4 g) was partitioned between 90% aqueous MeOH and n-hexane, and n-hexane layer was collected and concentrated under reduced pressure to afford the n-hexane-soluble extract (52.0 g). The 90% aqueous MeOH phase was diluted to 60% aqueous MeOH with H2O, which was extracted with CH2Cl2 to afford the CH2Cl2-soluble extract (14.2 g). The CH2Cl2-soluble extract was subjected to vacuum liquid chromatography (VLC) on silica gel by gradient elution using CH2Cl2/MeOH (100:1, 80:1, 60:1, 50:1, 30:1, 20:1, 10:1, 8:1, 5:1, 1:1, 0:1, v/v) as solvents to give seven fractions (A–G). Fraction B (1.8 g) was subjected to column chromatography (CC) on Sephadex LH-20 with CH2Cl2/MeOH (1:1) as the eluting solvent to afford six subfractions (B1–B6). Subfraction B3 was separated by column chromatography (CC) on ODS (50 μm) eluting with MeOH-H2O (2:3–1:0) to give six fractions (Fr.B31–B36). Compound 3 (13.0 mg) was obtained by preparative TLC from Fr.B33. Fraction D (1.8 g) was separated by CC on silica gel eluting in a stepwise manner with CH2Cl2/MeOH (60:1, 50:1, 30:1, 15:1, 10:1, 5:1, 0:1, v/v) to afford six fractions (D1–D6). Fraction D4 was purified by reversed-phase HPLC with an elution of 50% MeCN detected at the wavelength of 249 nm to give metabolites 7 (2.0 mL/min, tR = 11.5 min, 18.6 mg), and 8 (2.0 mL/min, tR = 12.8 min, 5.8 mg). Fraction D5 were isolated by reversed-phase HPLC eluting with 50% MeCN detected at 254 nm to afford 6 (2.0 mL/min, tR = 28.5 min, 1.5 mg), 4 (2.0 mL/min, tR = 30.3 min, 2.5 mg), and 5 (2.0 mL/min, tR = 31.5 min, 1.5 mg), whereas the purification of D6 by reversed-phase HPLC eluting with 80% MeCN detected at 244 nm resulted in the isolation of 1 (2.0 mL/min, tR = 15.0 min, 2.3 mg), 2 (2.0 mL/min, tR = 16.3 min, 2.0 mg).
2-Isobutyl-11-methoxy-3H-[1,6]naphthyridino[6,5,4-def]quinoxalin-3-one (1): yellow solid; UV (MeOH) (log ε) λmax 208 (4.31), 224 (4.36), 273 (3.96), 282 (4.22), 412 (4.18), 434 (4.12); IR (KBr) νmax 3404, 2955, 2926, 2856, 1730, 1663, 1638, 1597, 1527, 1472, 1387, 1320, 1256, 1174, 1098, 1010, 849 cm−1; 1H and 13C NMR data, see Table 1 and Table 2; HRESIMS m/z 330.1220 [M + Na]+ (calcd for C18H17N3O2Na, 330.1218).
2-(Sec-butyl)-11-methoxy-3H-[1,6]naphthyridino[6,5,4-def]quinoxalin-3-one (2): yellow solid; [ α ] D 25 3.10 (c 0.10, MeOH); UV (MeOH) (log ε) λmax 204 (3.82), 224 (3.78), 273 (3.56), 282 (3.59), 391 (3.35), 410 (3.53), 432 (3.49); IR (KBr) νmax 3371, 2960, 2927, 2855, 1728, 1665, 1637, 1597, 1527, 1469, 1383, 1320, 1257, 1176, 1100, 1032, 846 cm−1; 1H and 13C NMR data, see Table 1 and Table 2; HRESIMS m/z 308.1400 [M + H]+ (calcd for C18H18N3O2, 308.1399).
9-Ethoxy-8,9-dimethoxy-9H-benzo[de][1,6]naphthyridine (3): yellow solid; [ α ] D 25 −7.16 (c 0.15, MeOH); UV (MeOH) (log ε) λmax 202 (3.59), 229 (3.67), 352 (3.23); IR (KBr) νmax 3064, 2928, 2855, 1716, 1673, 1641, 1570, 1490, 1458, 1413, 1371, 1349, 1305, 1276, 1223, 1201, 1176, 1075, 694, 917, 869, 656, 575 cm−1; 1H and 13C NMR data, see Table 1 and Table 2; HRESIMS m/z 295.1058 [M + Na]+ (calcd for C15H16N2O3Na, 295.1059).
2-(Sec-butyl)-10-methoxyimidazo[4,5,1-ij]pyrido[2,3,4-de]quinolone (4): yellow solid; [ α ] D 25 −15.98 (c 0.12, MeOH); UV (MeOH) (log ε) λmax 210 (4.00), 225 (3.98), 239 (4.03), 272 (3.71), 360 (3.55); IR (KBr) νmax 3315, 3065, 2960, 2926, 2854, 1731, 1688, 1607, 1573, 1515, 1465, 1419, 1366, 1307, 1279, 1167, 1020, 840, 799 cm−1; 1H and 13C NMR data, see Table 1 and Table 2; HRESIMS m/z 280.1452 [M + H]+ (calcd for C17H18N3O, 280.1450).
2-Isobutyl-10-methoxyimidazo[4,5,1-ij]pyrido[2,3,4-de]quinolone (5): yellow solid; UV (MeOH) (log ε) λmax 211 (4.10), 225 (4.09), 239 (4.14), 272 (3.82), 361 (3.66); IR (KBr) νmax 3342, 3050, 2957, 2925, 2869, 2853, 1729, 1688, 1607, 1572, 1542, 1515, 1465, 1420, 1348, 1324, 1307, 1279, 1194, 1167, 1020, 840 cm−1; 1H and 13C NMR data, see Table 1 and Table 2; HRESIMS m/z 280.1448 [M + H]+ (calcd for C17H18N3O, 280.1450).

3.4. Antifungal Evaluation

Concentration (MIC) values of compounds 38 were determined against six indicators (C. parapsilosis, C. glabrata, C. albicans, C. neoformans, T. rubrum, and M. gypseum), following the National Center for Clinical Laboratory Standards (NCCLS) methods [17,18]. Fluconazole was used as the positive control. Briefly, samples (dissolved in DMSO) were serially diluted in 20% DMSO/saline and transferred (10 μL) in duplicate to 96 well flat bottom microplates. Bacterial strains were grown aerobically at 0 °C in SDA for 16–20 h. A set of different concentrations of compounds 38 prepared in RPMI 1640 were next inoculated with the microorganisms and incubated 24 h for C. parapsilosis, and C. glabrata at 35 °C, 46 h for C. albicans at 35 °C, 72 h for C. neoformans at 35 °C, and 4–7 days for T. rubrum and M. gypseum at 30 °C. The MIC values were evaluated in triplicate for each compound.

3.5. Anti-HIV-1 Activity Assay

The antiviral activity against HIV-1 was evaluated by using a cell-based VSVG/HIV-1 pseudotyping system as described [19,20]. For the infection assay, briefly, 293T cells were plated on 24-well plates at the density of 6 × 104 cells per well one day prior to infection. Compounds with the concentrations of 10 μM were incubated with target cells for 15 min prior to adding VSVG/HIV-1. The same amount of solvent alone was used as blank control. After postinfection for 48 h, cells were lysed in 50 μL Cell Lysis Reagent (Promega Corp., Beijing, China). Luciferase activity of the cell lysate was measured by a FB15 luminometer (Berthold Detection Systems, Titertek-Berthold, Pforzheim, Germany).

4. Conclusions

Chemical investigation of the sponge A. aaptos from the South China Sea led to the isolation and structure elucidation of five new aaptamine derivatives (15), together with three related known aaptamines (68), demonstrating an excellent example of chemical diversity. Structurally, compounds 12 possesses an uncommon triazapyrene lactam fused to aaptamine moiety, compounds 45 share an imidazole-fused aaptamine skeleton. Unfortunately, due to the lack of compounds 1 and 2, the bioactivity of 12 could not be evaluated. These compounds displayed different levels of in vitro antifungal and anti-HIV-1 activities. Especially, according to our research, compounds 7 and 8 exhibited better antifungal and anti-HIV-1 activities than the rest compounds.

Supplementary Files

Supplementary File 1

Acknowledgments

This research was supported by the National Natural Science Fund for Distinguished Young Scholars of China (81225023), the National Natural Science Fund of China (Nos. 41476121, 81072573, 81302691, 81172978, 81373321, and 41106127), the Innovation Program of Shanghai municipal Education Commission (No. 14YZ037) and partially supported by Shanghai Subject Chief Scientist (12XD1400200). We are also grateful for the financial support of the National High Technology Research and Development Program of China (863 Projects, No. 2013AA092902).

Author Contributions

Hou-Wen Lin designed the whole experiment and contributed to manuscript preparation. Hao-Bing Yu and Fan Yang isolated the metabolites, measured various spectra, determined the structures and drafted the manuscript. Fan Sun, Wei-Hua Jiao and Jing Li performed and analyzed the bioassay. Jian-Hong Gan and Wen-Zhen Hu collected the materials.

Conflicts of Interest

The authors declare no conflict of interest.

References

  1. Blunt, J.W.; Copp, B.R.; Keyzers, R.A.; Munro, M.H.G.; Prinsep, M.R. Marine natural products. Nat. Prod. Rep. 2012, 29, 144–222. [Google Scholar] [CrossRef] [PubMed]
  2. Nakamura, H.; Kobayashi, J.; Ohizumi, Y.; Hirata, Y. Isolation and structure of aaptamine, a novel heteroaromatic substance possessing α-blocking activity from the sea sponge Aaptos aaptos. Tetrahedron Lett. 1982, 23, 5555–5558. [Google Scholar] [CrossRef]
  3. Larghi, E.L.; Bohn, M.L.; Kaufman, T.S. Aaptamine and related products. Their isolation, chemical syntheses, and biological activity. Tetrahedron 2009, 65, 4257–4282. [Google Scholar] [CrossRef]
  4. Ohizumi, Y.; Kajiwara, A.; Nakamura, H.; Kobayashi, J. α-Adrenoceptor blocking action of aaptamine, a novel marine natural product, in vascular smooth muscle. J. Pharm. Pharmacol. 1984, 36, 785–786. [Google Scholar] [CrossRef] [PubMed]
  5. Gul, W.; Hammond, N.L.; Yousaf, M.; Bowling, J.J.; Schinazi, R.F.; Wirtz, S.S.; de Castro Andrews, G.; Cuevas, C.; Hamann, M.T. Modification at the C9 position of the marine natural product isoaaptamine and the impact on HIV-1, mycobacterial, and tumor cell activity. Bioorg. Med. Chem. 2006, 14, 8495–8505. [Google Scholar] [CrossRef] [PubMed]
  6. Pettit, G.R.; Hoffmann, H.; McNulty, J.; Higgs, K.C.; Murphy, A.; Molloy, D.J.; Herald, D.L.; Williams, M.D.; Pettit, R.K.; Doubek, D.L.; et al. Antineoplastic agents. 380. Isolation and X-ray crystal structure determination of isoaaptamine from the Republic of Singapore Hymeniacidon sp. and conversion to the phosphate prodrug hystatin 1. J. Nat. Prod. 2004, 67, 506–509. [Google Scholar] [CrossRef] [PubMed]
  7. Souza, T.M.L.; Abrantes, J.L.; Epifanio, R.D.A.; Fontes, C.F.L.; Frugulhetti, I.C. The alkaloid 4-methylaaptamine isolated from the sponge Aaptos aaptos impairs Herpes simplex virus type 1 penetration and immediate-early protein synthesis. Planta Med. 2007, 73, 200–205. [Google Scholar] [CrossRef] [PubMed]
  8. Jang, K.H.; Chung, S.-C.; Shin, J.; Lee, S.-H.; Kim, T.-I.; Lee, H.-S.; Oh, K.-B. Aaptamines as sortase A inhibitors from the tropical sponge Aaptos aaptos. Bioorg. Med. Chem. Lett. 2007, 17, 5366–5369. [Google Scholar] [CrossRef]
  9. Shen, Y.C.; Lin, T.T.; Sheu, J.H.; Duh, C.Y. Structures and cytotoxicity relationship of isoaaptamine and aaptamine derivatives. J. Nat. Prod. 1999, 62, 1264–1267. [Google Scholar] [CrossRef] [PubMed]
  10. Shaari, K.; Ling, K.C.; Rashid, Z.M.; Jean, T.P.; Abas, F.; Raof, S.M.; Zainal, Z.; Lajis, N.H.; Mohamad, H.; Ali, A.M. Cytotoxic aaptamines from Malaysian Aaptos aaptos. Mar. Drugs 2009, 7, 1–8. [Google Scholar] [CrossRef] [PubMed]
  11. Abbiati, G.; Doda, A.; Dell’Acqua, M.; Pirovano, V.; Facoetti, D.; Rizzato, S.; Rossi, E. Synthesis of Two Unnatural Oxygenated Aaptaminoids. J. Org. Chem. 2012, 77, 10461–10467. [Google Scholar] [CrossRef] [PubMed]
  12. Liu, C.; Tang, X.; Li, P.; Li, G. Suberitine A–D, four new cytotoxic dimeric aaptamine alkaloids from the marine sponge Aaptos suberitoides. Org. Lett. 2012, 14, 1994–1997. [Google Scholar] [CrossRef] [PubMed]
  13. Pham, C.-D.; Hartmann, R.; Müller, W.E. G.; de Voogd, N.; Lai, D.; Proksch, P. Aaptamine derivatives from the indonesian sponge Aaptos suberitoides. J. Nat. Prod. 2013, 76, 103–106. [Google Scholar] [CrossRef] [PubMed]
  14. Yu, H.-B.; Yang, F.; Sun, F.; Ma, G.-Y.; Gan, J.-H.; Hu, W.-Z.; Han, B.-N.; Jiao, W.-H.; Lin, H.-W. Cytotoxic aaptamine derivatives from the South China Sea sponge Aaptos aaptos. J. Nat. Prod. 2014, 77, 2124–2129. [Google Scholar] [CrossRef] [PubMed]
  15. Gan, C.-Y.; Low, Y.-Y.; Thomas, N.F.; Kam, T.-S. Rhazinilam–Leuconolam–Leuconoxine Alkaloids from Leuconotis griffithii. J. Nat. Prod. 2013, 76, 957–964. [Google Scholar] [CrossRef] [PubMed]
  16. Calcul, L.; Longeon, A.; Al-Mourabit, A.; Guyot, M.; Bourguet-Kondracki, M.-L. Novel alkaloids of the aaptamine class from an Indonesian marine sponge of the genus Xestospongia. Tetrahedron 2003, 59, 6539–6544. [Google Scholar] [CrossRef]
  17. Clinical and Laboratory Standards Institute. Reference Method for Broth Dilution Antifungal Susceptibility Testing of Yeast. Approved Standard, 3rd ed.; Clinical and Laboratory Standards Institute: Wayne, PA, USA, 2009; Document M27 A3. [Google Scholar]
  18. Clinical and Laboratory Standards Institute. Reference Method for Broth Dilution Antifungal Susceptibility Testing of Filamentous Fungi. Approved Standard, 2nd ed.; Clinical and Laboratory Standards Institute: Wayne, PA, USA, 2008; Document M38 A2. [Google Scholar]
  19. Fan, X.; Zi, J.; Zhu, C.; Xu, W.; Cheng, W.; Yang, S.; Guo, Y.; Shi, J. Chemical constituents of Heteroplexis micocephala. J. Nat. Prod. 2009, 72, 1184–1190. [Google Scholar] [CrossRef] [PubMed]
  20. Cao, Y.L.; Guo, Y. Screening of HIV-1 replication inhibitors by using pseudotyped virus system. Acta Pharm. Sin. 2008, 43, 253–258. [Google Scholar]

Share and Cite

MDPI and ACS Style

Yu, H.-B.; Yang, F.; Sun, F.; Li, J.; Jiao, W.-H.; Gan, J.-H.; Hu, W.-Z.; Lin, H.-W. Aaptamine Derivatives with Antifungal and Anti-HIV-1 Activities from the South China Sea Sponge Aaptos aaptos. Mar. Drugs 2014, 12, 6003-6013. https://doi.org/10.3390/md12126003

AMA Style

Yu H-B, Yang F, Sun F, Li J, Jiao W-H, Gan J-H, Hu W-Z, Lin H-W. Aaptamine Derivatives with Antifungal and Anti-HIV-1 Activities from the South China Sea Sponge Aaptos aaptos. Marine Drugs. 2014; 12(12):6003-6013. https://doi.org/10.3390/md12126003

Chicago/Turabian Style

Yu, Hao-Bing, Fan Yang, Fan Sun, Jing Li, Wei-Hua Jiao, Jian-Hong Gan, Wen-Zhen Hu, and Hou-Wen Lin. 2014. "Aaptamine Derivatives with Antifungal and Anti-HIV-1 Activities from the South China Sea Sponge Aaptos aaptos" Marine Drugs 12, no. 12: 6003-6013. https://doi.org/10.3390/md12126003

APA Style

Yu, H.-B., Yang, F., Sun, F., Li, J., Jiao, W.-H., Gan, J.-H., Hu, W.-Z., & Lin, H.-W. (2014). Aaptamine Derivatives with Antifungal and Anti-HIV-1 Activities from the South China Sea Sponge Aaptos aaptos. Marine Drugs, 12(12), 6003-6013. https://doi.org/10.3390/md12126003

Article Metrics

Back to TopTop