Abstract
A new germacrane-type sesquiterpenoid, menelloide E (1), and a new cembrane-type diterpenoid, lobocrassin F (2), were isolated from the octocorals Menella sp. and Lobophytum crassum, respectively. The structures of terpenoids 1 and 2 were determined by spectroscopic and chemical methods and compound 2 was found to display a significant inhibitory effect on the release of elastase by human neutrophils.
1. Introduction
Octocorals have been proven to be rich sources of natural terpenoid derivatives [1,2] and terpenoid analogues are often found in large amounts in marine invertebrates, and represent the largest percentage of natural products isolated from marine organisms [3]. In a continuation of our search for new substances from marine invertebrates collected off the waters of Taiwan at the intersection of the Kuroshio current and the South China Sea surface current, the chemical constituents of a specimen of gorgonian identified as Menella sp. (Plexauridae) [4,5] were studied. Its organic extract displayed inhibitory effects on the generation of superoxide anion (inhibition rate 84.7%) and the release of elastase (inhibition rate 96.2%) at a concentration of 10 µg/mL. We further isolated a new germacrane-type sesquiterpenoid, menelloide E (1), from Menella sp. Furthermore, a new pyrancembranoid diterpenoid, lobocrassin F (2), was isolated from the octocoral Lobophytum crassum (Alcyonacea). In this paper, we describe the isolation, structure determination and bioactivity of terpenoids 1 and 2.
2. Results and Discussion
2.1. Isolation and Structure Determination of Menelloide E (1) from Menella sp.
Previous studies on the chemical constituents of octocorals belonging to genus Menella (Figure 1) have afforded a series of interesting secondary metabolites [6,7,8,9,10,11,12,13,14,15,16,17], including sesquiterpenoids, menelloides A–D [14,15]. Menelloide E (1) was isolated as a colorless oil (Figure 1), and the molecular formula for this compound was determined to be C15H18O4 (seven units of unsaturation) using HRESIMS (C15H18O4 + Na, m/z 285.1105, calculated 285.1103). Comparison of the 13C NMR and DEPT data with the molecular formula indicated that there were two exchangeable protons, which required the presence of two hydroxy groups. This deduction was supported by a broad absorption in the IR spectrum at 3413 cm−1. The IR spectrum also showed a strong band at 1746 cm−1, consistent with the presence of an ester group. The 13C NMR data for 1 confirmed the presence of 15 carbon signals (Table 1), characterized by DEPT as a methyl, four sp3 methylenes, an sp2 methylene, two sp3 methines, an sp2 methine, an sp3 quaternary carbon and five sp2 quaternary carbons. A suite of resonances at δC 175.1 (C-12), 149.8 (C-7), 127.4 (C-11), 102.7 (C-8) and 8.7 (CH3-13), could be assigned to the α-methyl-α,β-unsaturated-γ-lactone moiety. Two additional unsaturated functionalities were indicated by 13C resonances at δC 154.5 (C-10), 111.4 (CH-9), 157.6 (C-4) and 104.5 (CH2-14), suggesting the presence of a trisubstituted olefin and an exocyclic carbon-carbon double bond. Thus, from the reported data, the proposed skeleton of 1 was suggested to be a sesquiterpenoid with three rings.
Figure 1.
The octocoral Menella sp. and the structure of menelloide E (1).
Figure 1.
The octocoral Menella sp. and the structure of menelloide E (1).

Table 1.
NMR spectroscopic data (500 MHz, CDCl3) for menelloide E (1).
| Position | δH (J in Hz) | δC, Mult. |
|---|---|---|
| 1 | 2.85 td (11.5, 8.0) | 48.3, CH |
| 2α/β | 1.19 m; 1.74 m | 28.7, CH2 |
| 3 | 2.25 m | 33.8, CH2 |
| 4 | 157.6, qC | |
| 5 | 3.21 m | 40.7, CH |
| 6α/β | 3.00 dd (15.0, 3.5); 3.51 dd (15.0, 3.5) | 26.2, CH2 |
| 7 | 149.8, qC | |
| 8 | 102.7, qC | |
| 9 | 5.68 s | 111.4, CH |
| 10 | 154.5, qC | |
| 11 | 127.4, qC | |
| 12 | 175.1, qC | |
| 13 | 1.93 s | 8.7, CH3 |
| 14a/b | 4.89 s; 4.66 s | 104.5, CH2 |
| 15a/b | 3.67 dd (10.5, 5.5); 3.61 dd (10.5, 5.5) | 70.2, CH2 |
| OH-8 | 2.49 s | |
| OH-15 | 2.04 t (5.5) |
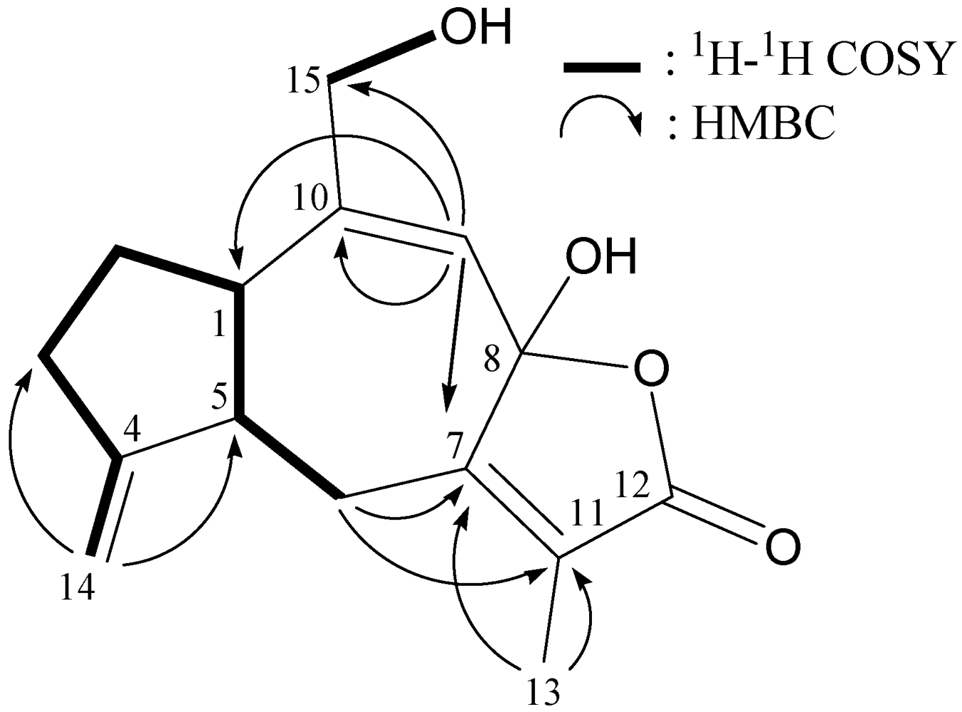
From the 1H–1H COSY spectrum of 1 (Figure 2), it was possible to differentiate between the separate spin systems of H-1/H2-2/H2-3, H2-3/H2-14 (by allylic coupling), H-1/H-5/H2-6 and OH-15/H2-15. These data, together with the HMBC correlations between H-14a/C-3, C-5; H-14b/C-3; H-6β/C-7, C-11; H-9/C-1, C-7, C-10, C-15; and H3-13/C-7, C-11 (Figure 2), permitted elucidation of the carbon skeleton. The exocyclic carbon-carbon double bond at C-4 was confirmed by the HMBC correlations between H-14a/C-3, C-5 and H-14b/C-3; and further supported by the allylic couplings between H2-3 and H2-14. The methylene unit at δC 70.2 was correlated to the methylene protons at δH 3.67 and 3.61 in the HMQC spectrum and the H-9 olefinic proton signal was 3J-correlated with C-15 (δC 70.2), proving the attachment of a hydroxymethyl group at C-10. Thus, the remaining hydroxy group should be positioned at C-8 and concluded to be a part of a hemiketal constellation on the basis of a characteristic carbon signal at δC 102.7 (C).
Figure 2.
The 1H–1H COSY and selective key HMBC correlations (1H→13C) for sesquiterpenoid 1.
Figure 2.
The 1H–1H COSY and selective key HMBC correlations (1H→13C) for sesquiterpenoid 1.

The relative configuration of 1 was elucidated mainly from a NOESY spectrum as being compatible with that of 1 offered by computer modeling (Figure 3), in which the close contacts of atoms in space calculated were consistent with the NOESY correlations [18]. In the NOESY experiment of 1, H-5 exhibited a correlation with H-1, indicating that these two protons (H-1 and H-5) were situated on the same face and assigned as β protons. One proton of C-6 methylene (δH 3.51) exhibited correlations with H-1 and OH-8 (δH 2.49), but not with H3-13, indicating that this proton and the hydroxy group at C-8 were β-oriented in 1 by molecular modeling analysis (Figure 3). This observation was supported by a correlation between H-6α (δH 3.00) and H3-13, but not with OH-8, although a correlation was also found between H-5 and H-6α. The Z-configuration of the C-7/11 double bond was elucidated from a correlation between H-6α and the C-13 vinyl methyl. Correlations observed between H-9 and H-15a/b reflected the E geometry of the double bond at C-9/10. From the above evidence, the relative configurations of the chiral carbons of 1 were assumed to be 1S*, 5S* and 8S*. On the basis of the above analysis, the relative structure of 1 was determined.
Figure 3.
The computer-generated model of 1 using MM2 force field calculations and the calculated distances (Å) between selected protons with key NOESY correlations.
Figure 3.
The computer-generated model of 1 using MM2 force field calculations and the calculated distances (Å) between selected protons with key NOESY correlations.

2.2. Isolation and Structure Determination of Lobocrassin F (2) from Lobophytum crassum
The octocoral L. crassum (Figure 4), distributed in the waters of Taiwan has afforded various new cembranoids [19,20,21,22,23,24,25,26], including lobocrassins A–E [24]; new glycolipids [27]; and new α-tocopherols [28]. The molecular formula for lobocrassin F (2) (Figure 4) was determined to be C20H30O2 (six units of unsaturation) using HRESIMS (C20H30O2 + Na, m/z 325.2145, calculated 325.2143). Comparison of the 13C NMR and DEPT data with the molecular formula indicated that there was an exchangeable proton, which required the presence of a hydroxy group. This deduction was supported by a broad absorption in the IR spectrum at 3265 cm−1. The 13C NMR data for 1 confirmed the presence of twenty carbon signals (Table 2), characterized by DEPT as four methyls, six sp3 methylenes, an sp2 methylene, an sp3 methine, two sp2 methines, an sp3 quaternary carbons and five sp2 quaternary carbons. Compound 2 was determined to possess a tetrasubstituted olefin (δC 108.2, C-1; 144.2, C-14), two trisubstituted olefins (δC 131.5, C-12; 130.0, C-8; 127.8, CH-7; 127.7, CH-11) and an exocyclic carbon-carbon double bond (δC 144.3, C-15; 113.7, CH2-17). The above functionalities accounted for four of the seven degrees of unsaturation, suggesting a bicyclic structure of 2.
Figure 4.
The octocoral Lobophytum crassum and the structures of lobocrassin F (2) and its derivative 3-O-acetyllobocrassin F (3).
Figure 4.
The octocoral Lobophytum crassum and the structures of lobocrassin F (2) and its derivative 3-O-acetyllobocrassin F (3).

Table 2.
NMR spectroscopic data (500 MHz, CDCl3) for lobocrassin F (2).
| Position | δH (J in Hz) | δC, Mult. |
|---|---|---|
| 1 | 108.2, qC | |
| 2α/β | 2.01 dd (16.5, 6.5); 2.39 dd (16.5, 4.0) | 31.5, CH2 |
| 3 | 3.54 br s | 67.7, CH |
| 4 | 77.6, qC | |
| 5 | 1.60 m | 35.0, CH2 |
| 6 | 2.21 m | 23.4, CH2 |
| 7 | 5.11 t (7.5) | 127.8, CH |
| 8 | 130.0, qC | |
| 9 | 2.05 m | 39.5, CH2 |
| 10 | 2.15 m | 25.6, CH2 |
| 11 | 5.02 t (7.5) | 127.7, CH |
| 12 | 131.5, qC | |
| 13α/β | 2.98 d (14.0); 2.72 d (14.0) | 41.1, CH2 |
| 14 | 144.2, qC | |
| 15 | 144.3, qC | |
| 16 | 1.81 s | 22.7, CH3 |
| 17a/b | 4.72 d (1.5); 4.93 d (1.5) | 113.7, CH2 |
| 18 | 1.17 s | 16.5, CH3 |
| 19 | 1.59 s | 15.6, CH3 |
| 20 | 1.43 s | 15.7, CH3 |
From the 1H–1H COSY spectrum of 2 (Figure 5), it was possible to identify the separate spin systems of H2-2/H-3, H2-5/H2-6/H-7, H2-9/H2-10/H-11 and H3-16/H2-17 (by allylic coupling). These data, together with the HMBC correlations between protons and quaternary carbons of 1, such as H2-2, H2-13, H3-16, H2-17/C-1; H2-2, H2-5, H2-6, H3-18/C-4; H2-6, H2-9, H2-10, H3-19/C-8; H2-10, H2-13, H3-20/C-12; H2-2, H2-13/C-14; and H2-2, H3-16/C-15 (Figure 5), permitted elucidation of the carbon skeleton. The vinyl methyls attached at C-8, C-12 and C-15 were confirmed by the HMBC correlations between H3-19/C-7, C-8, C-9; H3-20/C-11, C-12, C-13; and H3-16/C-1, C-15, C-17 (Figure 5). However, because no HMBC correlation was observed between H-3 and C-14, the remaining hydroxy group was positioned at C-3, and an ether bridge was determined to be located between C-4 and C-14 to form a pyran ring. In order to confirm this ratiocination, acetylation of 2 was performed and its derivative 3-O-acetyllobocrassin F (3) (Figure 4) was obtained in high yield (95%). This result indicates that a secondary hydroxy group attached at C-3 in 2 is necessary.
Figure 5.
The 1H–1H COSY and selective key HMBC correlations (1H→13C) for diterpenoid 2.
Figure 5.
The 1H–1H COSY and selective key HMBC correlations (1H→13C) for diterpenoid 2.

The relative configuration of 2 was elucidated mainly from a NOESY spectrum as being compatible with that of 2 offered by computer modeling (Figure 6), in which the close contacts of atoms in space calculated were consistent with the NOESY correlations [18]. In the NOESY experiment for 2, correlations were observed between H-3 and H3-18, suggesting that these protons are located on the same face and can be assigned as α protons. Correlations observed between H-7/H2-9 and H-11/H2-13, as well as the lack of correlation between H-7/H3-19 and H-11/H3-20, reflected the E geometry of the double bonds at C-7/8 and C-11/12. Additionally, H-17a (δH 4.72) was correlated with H-13α (δH 2.98), suggesting an s-cis diene moiety in 2. On the basis of the above findings, the structure of 2 was elucidated and the chiral carbons of 2 were assigned as 3S* and 4S*.
Figure 6.
The computer-generated model of 2 using MM2 force field calculations and the calculated distances (Å) between selected protons with key NOESY correlations.
Figure 6.
The computer-generated model of 2 using MM2 force field calculations and the calculated distances (Å) between selected protons with key NOESY correlations.

In previous studies, cembranoids possessing an ether linkage to form a pyran or a tetrahydropyran rings have rarely found [29,30,31,32]. To the best of our knowledge, lobocrassin F (2) is the first pyrancembranoid possessing a C-4/14 ether linkage to be obtained from soft corals belonging to the genus Lobophytum.
The in vitro anti-inflammatory effects of terpenoids 1 and 2 were tested (Table 3). Diterpenoid 2 (lobocrassin F) was found to show a significant inhibitory effect on the release of elastase by human neutrophils.
Table 3.
Inhibitory effects of terpenoids 1 and 2 on the generation of superoxide anion and the release of elastase by human neutrophils in response to FMLP/CB.
| Superoxide anion | Elastase release | ||||
|---|---|---|---|---|---|
| Compounds | IC50 (µg/mL) | Inh % a | IC50 (µg/mL) | Inh % a | |
| 1 | >10 | 19.85 ± 6.65 | >10 | 26.99 ± 4.99 | |
| 2 | >10 | 7.80 ± 5.23 | 6.27 ± 1.91 | 58.29 ± 5.47 | |
| DPI b | 0.82 ± 0.31 | ||||
| Elastatinal b | 31.82 ± 5.92 | ||||
a Percentage of inhibition (Inh %) at a concentration of 10 µg/mL; b DPI (diphenylene indoniumn) and elastatinal were used as reference compounds.
3. Experimental Section
3.1. General Experimental Procedures
Optical rotations were measured on a Jasco P-1010 digital polarimeter. Infrared spectra were recorded on a Varian Diglab FTS 1000 FT-IR spectrometer; peaks are reported in cm−1. NMR spectra were recorded on Varian Inova 500 or Varian Mercury Plus 400 NMR spectrometers using the residual CHCl3 signal (δH 7.26 ppm) as the internal standard for 1H NMR and CDCl3 (δC 77.1 ppm) for 13C NMR. Coupling constants (J) are given in Hz. ESIMS and HRESIMS were recorded using a Bruker APEX II mass spectrometer. Column chromatography was performed on silica gel (230–400 mesh, Merck, Darmstadt, Germany). TLC was carried out on precoated Kieselgel 60 F254 (0.25 mm, Merck); spots were visualized by spraying with 10% H2SO4 solution followed by heating. HPLC was performed using a system comprised of a Hitachi L-7100 pump, a Hitahci L-7455 photodiode array detector and a Rheodyne injection port. A normal phase column (Hibar 250 × 10 mm, Merck, silica gel 60, 5 µm) was used for HPLC.
3.2. Animal Material
3.2.1. Menella sp.
Specimens of the gorgonian coral Menella sp. were collected by trawling off the coast of southern Taiwan at a depth of 100 m in December 2004 and stored in a freezer until extraction. A voucher specimen (NMMBA-TW-GC-005) was deposited in the National Museum of Marine Biology and Aquarium, Taiwan. This organism was identified by comparison with previous descriptions [4,5].
3.2.2. Lobophytum crassum
Specimens of the soft coral L. crassum were collected by hand using scuba equipment off the coast of northeast Taiwan at a depth of 10 m in August 2007 and stored in a freezer until extraction. A voucher specimen (NMMBA-TW-SC-2007-33) was deposited in the National Museum of Marine Biology and Aquarium, Taiwan. This organism was identified by comparison with previous descriptions [4,5].
3.3. Extraction and Isolation
3.3.1. Menella sp.
The gorgonian coral Menella sp. (wet weight 451 g) was collected and freeze-dried. The material was minced and extracted with ethyl acetate (EtOAc) at room temperature. The EtOAc layer was separated on silica gel and eluted using n-hexane/EtOAc (stepwise from 100:1 to 0:100 n-hexane/EtOAc) to obtain fractions 1–16. Fraction 13 was separated by normal-phase HPLC (NP-HPLC), using mixtures of n-hexane and EtOAc (1:2–pure EtOAc) to yield fractions 13A–13Q. Fraction 13I was further purified by NP-HPLC using a Hibar silica gel 60 column (250 × 10 mm, Merck, 5 µm) developed with a mixture of n-hexane and EtOAc (1:1, flow rate: 2.0 mL/min) to yield menelloide E (1, 1.0 mg, tR = 51 m).
Menelloide E (1): colorless oil; [α]25D +9 (c 0.05, CHCl3); IR (neat) νmax 3413, 1746 cm−1; 1H (CDCl3, 500 MHz) and 13C (CDCl3, 125 MHz) NMR data, see Table 1; ESIMS: m/z 285 (M + Na)+; HRESIMS: m/z 285.1105 (calcd for C15H18O4 + Na, 285.1103).
3.3.2. Lobophytum crassum
The soft coral L. crassum (wet weight 1.3 kg) was collected and freeze-dried. The material was minced and extracted with EtOAc at room temperature. The EtOAc layer was separated on silica gel and eluted using n-hexane/EtOAc (stepwise from 100:1 to 0:100 n-hexane/EtOAc) to obtain fractions 1–12. Fraction 4 was separated by NP-HPLC, using mixtures of n-hexane and EtOAc to yield fractions 4A–4G. Fraction 4C was re-purified by NP-HPLC using a Hibar silica gel 60 column (250 × 10 mm, Merck, 5 µm) developed with a mixture of n-hexane and EtOAc (22:1, flow rate: 2.0 mL/min) to yield lobocrassin F (2, 2.8 mg, tR = 134 m).
Lobocrassin F (2): colorless oil; [α]25D +20 (c 0.1, CHCl3); IR (neat) νmax 3265 cm−1; 1H (CDCl3, 500 MHz) and 13C (CDCl3, 125 MHz) NMR data, see Table 2; ESIMS: m/z 325 (M + Na)+; HRESIMS: m/z 325.2145 (calcd for C20H30O2 + Na, 325.2143).
Acetylation of Lobocrassin F (2): Lobocrassin F (2) (0.5 mg) was stirred with 1 mL of acetic anhydride in 1 mL of pyridine for 4 h at room temperature. After evaporation of excess reagent, the residue was separated by column chromatography on Si gel to give 3-O-acetyllobocrassin F (3) (0.54 mg, 95%); 1H (CDCl3, 400 MHz) δH 5.05 (1H, t, J = 7.2 Hz, H-7), 4.99 (1H, t, J = 7.2 Hz, H-11), 4.91 (1H, br s, H-17b), 4.77 (1H, dd, J = 8.0, 6.0 Hz, H-3), 4.71 (1H, br s, H-17a), 2.88 (1H, d, J = 10.0 Hz, H-13α), 2.79 (1H, d, J = 10.0 Hz, H-13β), 2.45 (1H, dd, J = 16.8, 5.6 Hz, H-2β), 2.19 (2H, m, H2-6), 2.09 (2H, m, H2-10), 2.06 (3H, s, acetate methyl), 2.04 (2H, m, H2-9), 1.99 (1H, dd, J = 16.8, 8.4 Hz, H-2α), 1.78 (3H, s, H3-16), 1.61 (2H, m, H2-5), 1.57 (3H, s, H3-19), 1.42 (3H, s, H3-20), 1.11 (3H, s, H3-18).
3.4. Molecular Mechanics Calculations
Implementation of the MM2 force field [18] in CHEM3D PRO software from CambridgeSoft Corporation (Cambridge, MA, USA; ver. 9.0, 2005) was used to calculate molecular models.
3.5. Superoxide Anion Generation and Elastase Release by Human Neutrophils
Human neutrophils were obtained by means of dextran sedimentation and Ficoll centrifugation. Measurements of superoxide anion generation and elastase release were carried out according to previously described procedures [33,34]. Briefly, superoxide anion production was assayed by monitoring the superoxide dismutase-inhibitable reduction of ferricytochrome c. Elastase release experiments were performed using MeO-Suc-Ala-Ala-Pro-Valp-nitroanilide as the elastase substrate.
4. Conclusions
In our previous studies, a series of sesquiterpenoids was isolated from the gorgonian Menella sp. Of these compounds, germacrane-type sesquiterpenoids with a hydroxymethyl group, such as compound 1 (menelloide E), are rarely found in marine organisms. As described in the Introduction, the organic extract of Menella sp. displayed significant inhibitory effects on the generation of superoxide anions and the release of elastase. However, at this stage, the results showed that the isolated compounds only exhibited weak activity or were not active in anti-inflammatory activity testing [13,14,15]. We suggest that active components exist in other fractions, and these fractions will be studied in the future. The interaction among these isolates will also be studied if we are able to obtain sufficient amounts of the metabolites. It is worth noting that the cembranoids possessing a C-4/14 ether linkage to form a pyrancembranoid, such as 2 (lobocrassin F) were discovered for the first time. All the corals are claimed to be threatened species, and we therefore want to obtain and culture these interesting specimens as sources of potential natural products. However, owing to their structural complexity, it is difficult to obtain sufficient amounts of the bioactive metabolites, such as lobocrassin F (2) and lobocrassin B [24], for further study of their potential medicinal usage. The octocorals Menella sp. and L. crassum have begun to be transplanted in tanks using our highly-developed aquaculture technology for the extraction of natural products in order to establish a stable supply of bioactive material, including extracts and pure compounds. A study focusing on the chemical constituents of a cultured soft coral, Lobophytum crassum, has been performed, and three new tetrahydrofuran cembranoids, culobophylins A–C, were isolated from this cultured marine organism [25].
Acknowledgments
This research was supported by grants from the National Museum of Marine Biology and Aquarium (Grant No. 100100101 and 100200311); the National Dong Hwa University; the Division of Marine Biotechnology, Asia-Pacific Ocean Research Center, National Sun Yat-sen University (Grant No. 00C-0302-05); the Taiwan Department of Health Clinical Trial and Research Center of Excellence (Grant No. DOH 101-TD-B-111-004); and the National Science Council (Grant No. NSC 100-2325-B-291-001, 99-2323-B-291-001 and 98-2320-B-291-001-MY3), Taiwan, awarded to Y.-H.K. and P.-J.S.
References
- Fraga, B.M. Natural sesquiterpenoids. Nat. Prod. Rep. 2011, 28, 1580–1610. [Google Scholar]
- Blunt, J.W.; Copp, B.R.; Munro, M.H.G.; Northcote, P.T.; Prinsep, M.R. Marine natural products. Nat. Prod. Rep. 2011, 28, 196–268. [Google Scholar]
- Harper, M.K.; Bugni, T.S.; Copp, B.R.; James, R.D.; Lindsay, B.S.; Richardson, A.D.; Schnabel, P.C.; Tasdemir, D.; VanWagoner, R.M.; Verbitski, S.M.; Ireland, C.M. Introduction to the Chemical Ecology of Marine Natural Products. In Marine Chemical Ecology; McClintock, J.B., Baker, B.J., Eds.; CRC Press: Washington, DC, USA, 2001; pp. 3–69. [Google Scholar]
- Bayer, F.M. Key to the genera of Octocorallia exclusive of Pennatulacea (Coelenterata: Anthozoa), with diagnoses of new taxa. Proc. Biol. Soc. Wash. 1981, 94, 902–947. [Google Scholar]
- Fabricius, K.; Alderslade, P. Soft Corals and Sea Fans—A Comprehensive Guide to the Tropical Shallow-Water Genera of the Central-West Pacific, the Indian Ocean and the Red Sea, 1st ed; Australian Institute of Marine Science: Queensland, Australia, 2001; pp. 49-50, 59-60, 94-97, 206-207. [Google Scholar]
- Deng, S.; Peng, S.; Li, F.; Tan, X.; Chen, J. A study on chemical constituents of South China Sea gorgonian Menella spinifera Kukenthal (I). Guangzhou Chem. 1993, 44–47. [Google Scholar]
- Li, F.; Deng, S.; Rao, Z.; Wu, H.; Xu, J. Studies on chemical constituents of South China Sea gorgonian Menella spinifera Kukenthal (II). Guangzhou Chem. 1996, 49–51. [Google Scholar]
- Deng, S.; Li, F.; Peng, S.; Rao, Z.; Wu, H.; Xu, J. Chemical constituents of the South China Sea gorgonian Menella spinifera Kukenthal. Chin. J. Appl. Chem. 1997, 14, 80–82. [Google Scholar]
- Zhang, W.; Guo, Y.-W.; Mollo, E.; Cimino, G. Menverins A–D, new highly oxygenated guaiane lactones from Hainan gorgonian Menella verrucosa (Brundin). Helv. Chim. Acta 2004, 87, 2919–2925. [Google Scholar]
- Zhang, W.; Huang, H.; Ding, Y.; Gavagnin, M.; Mollo, E.; Cimino, G.; Guo, Y.-W. Three new polyoxygenated steroids from two species of the South China Sea gorgonian Muricella flexuosa and Menella verrucosa Brundin. Helv. Chim. Acta 2006, 89, 813–820. [Google Scholar]
- Li, L.; Wang, C.-Y.; Huang, H.; Mollo, E.; Cimino, G.; Guo, Y.-W. Further highly oxygenated guaiane lactones from the South China Sea gorgonian Menella sp. Helv. Chim. Acta 2008, 91, 111–117. [Google Scholar]
- Chai, X.-Y.; Sun, J.-F.; Tang, L.-Y.; Yang, X.-W.; Li, Y.-Q.; Huang, H.; Zhou, X.-F.; Yang, B.; Liu, Y. A novel cyclopentene derivative and a polyhydroxylated steroid from a South China Sea gorgonian Menella sp. Chem. Pharm. Bull. 2010, 58, 1391–1394. [Google Scholar]
- Kao, S.-Y.; Chang, Y.-C.; Su, J.-H.; Lu, M.-C.; Chen, Y.-H.; Sheu, J.-H.; Wen, Z.-H.; Wang, W.-H.; Kuo, Y.-H.; Hwang, T.-L.; Sung, P.-J. (−)-Hydroxylindestrenolide, a new sesquiterpenoid from a gorgonian coral Menella sp. (Plexauridae). Chem. Pharm. Bull. 2011, 59, 1048–1050. [Google Scholar] [CrossRef]
- Kao, S.-Y.; Su, J.-H.; Hwang, T.-L.; Sheu, J.-H.; Su, Y.-D.; Lin, C.-S.; Chang, Y.-C.; Wang, W.-H.; Fang, L.-S.; Sung, P.-J. Discovery of novel sesquiterpenoids from a gorgonian Menella sp. Tetrahedron 2011, 67, 7311–7315. [Google Scholar]
- Kao, S.-Y.; Su, J.-H.; Hwang, T.-L.; Sheu, J.-H.; Wen, Z.-H.; Wu, Y.-C.; Sung, P.-J. Menelloides C and D, new sesquiterpenoids from the gorgonian coral Menella sp. Mar. Drugs 2011, 9, 1534–1542. [Google Scholar]
- Sung, P.-J.; Kao, S.-Y.; Kao, C.-Y.; Chang, Y.-C.; Chen, Y.-H.; Su, Y.-D. Seco-germacrane anhydride: Occurrence of a sesquiterpene lactone in the gorgonian coral Menella sp. (Plexauridae). Biochem. Syst. Ecol. 2012, 40, 53–55. [Google Scholar] [CrossRef]
- Imbs, A.B.; Demidkova, D.A.; Dautova, T.N.; Latyshev, N.A. Fatty acid biomarkers of symbionts and unusual inhibition of tetracosapolyenoic acid biosynthesis in corals (octocorallia). Lipids 2009, 44, 325–335. [Google Scholar]
- Allinger, N.L. Conformational analysis. 130. MM2. A hydrocarbon force field utilizing V1 and V2 torsional terms. J. Am. Chem. Soc. 1977, 99, 8127–8134. [Google Scholar] [CrossRef]
- Duh, C.-Y.; Wang, S.-K.; Huang, B.-T.; Dai, C.-F. Cytotoxic cembrenolide diterpenes from the Formosan soft coral Lobophytum crassum. J. Nat. Prod. 2000, 63, 884–885. [Google Scholar]
- Chao, C.-H.; Wen, Z.-H.; Wu, Y.-C.; Yeh, H.-C.; Sheu, J.-H. Cytotoxic and anti-inflammatory cembranoids from the soft coral Lobophytum crassum. J. Nat. Prod. 2008, 71, 1819–1824. [Google Scholar]
- Lin, S.-T.; Wang, S.-K.; Cheng, S.-Y.; Duh, C.-Y. Lobocrasol, a new diterpenoid from the soft coral Lobophytum crassum. Org. Lett. 2009, 11, 3012–3014. [Google Scholar]
- Liao, Z.-J.; Su, H.-J.; Shyue, Y.-C.; Wen, Z.-H.; Sheu, J.-H.; Su, J.-H. Two new cembranoids from the soft coral Lobophytum crassum. Bull. Chem. Soc. Jpn. 2011, 84, 653–655. [Google Scholar]
- Tseng, Y.-J.; Wen, Z.-H.; Hsu, C.-H.; Dai, C.-F.; Sheu, J.-H. Bioactive cembranoids from the Dongsha atoll soft coral Lobophytum crassum. Bull. Chem. Soc. Jpn. 2011, 84, 1102–1106. [Google Scholar]
- Kao, C.-Y.; Su, J.-H.; Lu, M.-C.; Hwang, T.-L.; Wang, W.-H.; Chen, J.-J.; Sheu, J.-H.; Kuo, Y.-H.; Weng, C.-F.; Fang, L.-S.; Wen, Z.-H.; Sung, P.-J. Lobocrassins A–E: New cembrane-type diterpenoids from the soft coral Lobophytum crassum. Mar. Drugs 2011, 9, 1319–1331. [Google Scholar]
- Lee, N.-L.; Su, J.-H. Tetrahydrofuran cembranoids from the cultured soft coral Lobophytum crassum. Mar. Drugs 2011, 9, 2526–2536. [Google Scholar]
- Lin, S.-T.; Wang, S.-K.; Duh, C.-Y. Cembranoids from the Dongsha atoll soft coral Lobophytum crassum. Mar. Drugs 2011, 9, 2705–2716. [Google Scholar]
- Chao, C.-H.; Huang, H.-C.; Wu, Y.-C.; Lu, C.-K.; Dai, C.-F.; Sheu, J.-H. Glycolipids from the Formosan soft coral Lobophytum crassum. Chem. Pharm. Bull. 2007, 55, 1720–1723. [Google Scholar]
- Cheng, S.-Y.; Lin, S.-T.; Wang, S.-K.; Duh, C.-Y. α-Tocopherols from the Formosan soft coral Lobophytum crassum. Bull. Chem. Soc. Jpn. 2011, 84, 783–787. [Google Scholar]
- Lu, Y.; Huang, C.-Y.; Lin, Y.-F.; Wen, Z.-H.; Su, J.-H.; Kuo, Y.-H.; Chiang, M.Y.; Sheu, J.-H. Anti-inflammatory cembranoids from the soft coral Sinularia querciformis and Sinularia granosa. J. Nat. Prod. 2008, 71, 1754–1759. [Google Scholar]
- Marrero, J.; Benítez, J.; Rodríguez, A.D.; Zhao, H.; Raptis, R.G. Bipinnatins K–Q, minor cembrane-type diterpenes from the West Indian gorgonian Pseudopterogorgia kallos: Isolation, structure assignment, and evaluation of biological activities. J. Nat. Prod. 2008, 71, 381–389. [Google Scholar]
- Chen, S.-Y.; Wen, Z.-H.; Wang, S.-K.; Chiou, S.-F.; Hsu, C.-H.; Dai, C.-F.; Chiang, M.Y.; Duh, C.-Y. Unprecedented hemiketal cembranolides with anti-inflammatory activity from the soft coral Lobophytum durum. J. Nat. Prod. 2009, 72, 152–155. [Google Scholar]
- Chao, C.-H.; Chou, K.-J.; Huang, C.-Y.; Wen, Z.-H.; Hsu, C.-H.; Wu, Y.-C.; Dai, C.-F.; Sheu, J.-H. Bioactive cembranoids from the soft coral Sinularia crassa. Mar. Drugs 2011, 9, 1955–1968. [Google Scholar]
- Yu, H.-P.; Hsieh, P.-W.; Chang, Y.-J.; Chung, P.-J.; Kuo, L.-M.; Hwang, T.-L. 2-(2-Fluorobenzamido)benzoate ethyl ester (EFB-1) inhibits superoxide production by human neutrophils and attenuates hemorrhagic shock-induced organ dysfunction in rats. Free Radic. Biol. Med. 2011, 50, 1737–1748. [Google Scholar]
- Hwang, T.-L.; Wang, C.-C.; Kuo, Y.-H.; Huang, H.-C.; Wu, Y.-C.; Kuo, L.-M.; Wu, Y.-H. The hederagenin saponin SMG-1 is a natural FMLP receptor inhibitor that suppresses human neutrophil activation. Biochem. Pharmacol. 2010, 80, 1190–1200. [Google Scholar]
- Samples Availability: Not available.
© 2012 by the authors; licensee MDPI, Basel, Switzerland. This article is an open-access article distributed under the terms and conditions of the Creative Commons Attribution license (http://creativecommons.org/licenses/by/3.0/).