Activation of BKCa Channels in Rat Cerebrovascular Smooth Muscle Cells and Vasodilation Induced by Neurogenic H2S and Its Relationship with VEGFR2
Abstract
1. Introduction
2. Materials and Methods
2.1. Reagents and Drugs
2.2. Animals
2.3. Pressure Myography
2.4. Isolation and Culture of Rat Basilar Artery Vascular Smooth Muscle Cells (VSMCs)
2.5. Isolation and Culture of Rat Hippocampal Neurons
2.6. Isolation and Culture of Rat Astrocytes (ASTs)
2.7. Immunofluorescence Staining
2.8. Acute Separation of VSMC and CBA
2.9. Whole-Cell Patch Clamp Recording
2.10. Two-Cell Co-Culture Model
2.11. H2S Measurement
2.12. Statistical Analysis
3. Results
3.1. Identification of Primary Cultured Rat Cerebrovascular VSMCs, Hippocampal Neurons, and ASTs
3.2. H2S Production Increased by L-Cys via Neurogenic CBS in the H/R-Treated Co-Culture of Nerve Cells with VSMCs
3.3. Mediation of Rat Neuronal CBS in L-Cys-Induced Vasorelaxation in Rat MCA
3.4. Mediation of the CBS in Rat ASTs in L-Cys-Induced Vasorelaxation in Rat MCA
3.5. Effect of SU5416 on L-Cys-Induced Relaxation of Rat MCA Mediated by the CBS in Rat Nerve Cells
3.6. Effect of IBTX on the Relaxation of Rat MCA Induced by the Co-Application of L-Cys and Rat Nerve Cells
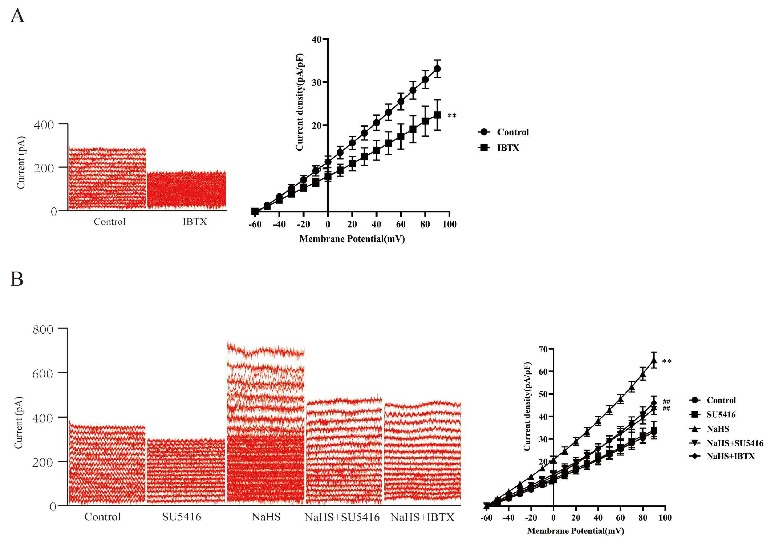
3.7. Effect of SU5416 on Exogenous H2S-Increased Current of BKCa Channels in Rat MCA VSMCs
3.8. Effect of CSE Inhibitor PPG on L-Cys-Increased Current of BKCa Channels in Rat MCA VSMCs
3.9. The Current of BKCa Channels in Rat MCA VSMCs Mediated by the CBS in Rat Neurons or ASTs
3.10. Involvement of VEGFR2 in the Current of BKCa Channels Increased by L-Cys with Rat Neurons or ASTs
4. Discussion
Author Contributions
Funding
Institutional Review Board Statement
Informed Consent Statement
Data Availability Statement
Conflicts of Interest
Abbreviations
| BKCa | Large-conductance calcium-activated potassium |
| VEGFR2 | Vascular endothelial growth factor receptor 2 |
| CBS | Cystathionine-β-synthase |
| CSE | Cystathionine-γ-lyase |
| ECs | Endothelial cells |
| ASTs | Astrocytes |
| VSMCs | Vascular smooth muscle cells |
| H/R | Hypoxia/reoxygenation |
| H2S | Hydrogen sulfide |
| I/R | Ischemia/reperfusion |
| KO | Knockout |
| WT | Wild-type |
Appendix A. In Vivo Animal Experimental Methods
Appendix A.1. Experimental Animals
Appendix A.2. Experimental Design
Appendix A.3. Inclusion and Exclusion Criteria
Appendix A.4. Blinding
References
- Kong, X.; Wei, P.; Meng, L.; Yu, Z.; Liu, X.; Li, M.; Zou, Y.; Li, J.; Wu, G. Discovery of a potential anti-ischemic stroke agent by suppressing ferroptosis through the ATF3/SLC7A11/GPX4 pathway. Eur. J. Med. Chem. 2025, 296, 117873. [Google Scholar] [CrossRef] [PubMed]
- Li, S.; Ping, N.-N.; Cao, L.; Mi, Y.-N.; Cao, Y.-X. H2S induces vasoconstriction of rat cerebral arteries via cAMP/adenylyl cyclase pathway. Toxicol. Appl. Pharmacol. 2015, 289, 389–396. [Google Scholar] [CrossRef] [PubMed]
- Palomares, S.M.; Cipolla, M.J. Vascular Protection Following Cerebral Ischemia and Reperfusion. J. Neurol. Neurophysiol. 2011, 2011, S1-004. [Google Scholar] [CrossRef] [PubMed]
- Cordeiro, B.; Shinn, C.; Sellke, F.W.; Clements, R.T. Rottlerin-Induced BKCa Channel Activation Impairs Specific Contractile Responses and Promotes Vasodilation. Ann. Thorac. Surg. 2015, 99, 626–634. [Google Scholar] [CrossRef]
- Wang, R. Physiological Implications of Hydrogen Sulfide: A Whiff Exploration That Blossomed. Physiol. Rev. 2012, 92, 791–896. [Google Scholar] [CrossRef]
- Li, Y.; Zang, Y.; Fu, S.; Zhang, H.; Gao, L.; Li, J. H2S Relaxes Vas Deferens Smooth Muscle by Modulating the Large Conductance Ca2+-Activated K+ (BKCa) Channels via a Redox Mechanism. J. Sex. Med. 2012, 9, 2806–2813. [Google Scholar] [CrossRef]
- Stipanuk, M.H.; Beck, P.W. Characterization of the enzymic capacity for cysteine desulphhydration in liver and kidney of the rat. Biochem. J. 1982, 206, 267–277. [Google Scholar] [CrossRef]
- Griffith, O.W. Mammalian sulfur amino acid metabolism: An overview. Methods Enzymol. 1987, 143, 366–376. [Google Scholar]
- Abe, K.; Kimura, H. The possible role of hydrogen sulfide as an endogenous neuromodulator. J. Neurosci. 1996, 16, 1066–1071. [Google Scholar] [CrossRef]
- Szabó, C. Hydrogen sulphide and its therapeutic potential. Nat. Rev. Drug Discov. 2007, 6, 917–935. [Google Scholar] [CrossRef]
- Powell, C.R.; Dillon, K.M.; Matson, J.B. A review of hydrogen sulfide (H2S) donors: Chemistry and potential therapeutic applications. Biochem. Pharmacol. 2018, 149, 110–123. [Google Scholar] [CrossRef] [PubMed]
- Kloesch, B.; Steiner, G.; Mayer, B.; Schmidt, K. Hydrogen sulfide inhibits endothelial nitric oxide formation and receptor ligand-mediated Ca2+ release in endothelial and smooth muscle cells. Pharmacol. Rep. 2016, 68, 37–43. [Google Scholar] [CrossRef] [PubMed]
- Zhang, Z.; Wen, Y.; Du, J.; Yu, Y.; Liu, S.; Wu, X.; Zhao, H. Effects of mechanical stretch on the functions of BK and L-type Ca2+ channels in vascular smooth muscle cells. J. Biomech. 2018, 67, 18–23. [Google Scholar] [CrossRef] [PubMed]
- Han, J.; Chen, Z.-W.; He, G.-W. Acetylcholine- and Sodium Hydrosulfide–Induced Endothelium-Dependent Relaxation and Hyperpolarization in Cerebral Vessels of Global Cerebral Ischemia–Reperfusion. Rat. J. Pharmacol. Sci. 2013, 121, 318–326. [Google Scholar] [CrossRef]
- Fan, Y.-F.; Chen, Z.-W.; Guo, Y.; Wang, Q.-H.; Song, B. Cellular mechanisms underlying Hyperin-induced relaxation of rat basilar artery. Fitoterapia 2011, 82, 626–631. [Google Scholar] [CrossRef]
- Dong, D.-L.; Bai, Y.-L.; Cai, B.-Z. Chapter Six—Calcium-Activated Potassium Channels: Potential Target for Cardiovascular Diseases. In Advances in Protein Chemistry and Structural Biology; Donev, R., Ed.; Academic Press: Cambridge, MA, USA, 2016; pp. 233–261. [Google Scholar]
- Dryer, S.E.; Reiser, J. TRPC6 channels and their binding partners in podocytes: Role in glomerular filtration and pathophysiology. Am. J. Physiol. - Ren. Physiol. 2010, 299, F689–F701. [Google Scholar] [CrossRef]
- Lungu, C.N.; Mangalagiu, I.I.; Gurau, G.; Mehedinti, M.C. Variations of VEGFR2 Chemical Space: Stimulator and Inhibitory Peptides. Int. J. Mol. Sci. 2024, 25, 7787. [Google Scholar] [CrossRef]
- Ishida, A.; Murray, J.; Saito, Y.; Kanthou, C.; Benzakour, O.; Shibuya, M.; Wijelath, E.S. Expression of vascular endothelial growth factor receptors in smooth muscle cells. J. Cell. Physiol. 2001, 188, 359–368. [Google Scholar] [CrossRef]
- Chen, J.; Ding, X.; Chen, W.; Chen, S.; Guan, Q.; Wen, J.; Chen, Z. VEGFR2 in vascular smooth muscle cells mediates H2S-induced dilation of the rat cerebral basilar artery. Microvasc. Res. 2022, 141, 104309. [Google Scholar] [CrossRef]
- Liu, Y.-J.; Wang, X.-G.; Tang, Y.-B.; Chen, J.-H.; Lv, X.-F.; Zhou, J.-G.; Guan, Y.-Y. Simvastatin Ameliorates Rat Cerebrovascular Remodeling During Hypertension via Inhibition of Volume-Regulated Chloride Channel. Hypertension 2010, 56, 445–452. [Google Scholar] [CrossRef][Green Version]
- Wen, J.-Y.; Gao, S.-S.; Chen, F.-L.; Chen, S.; Wang, M.; Chen, Z.-W. Role of CSE-Produced H2S on Cerebrovascular Relaxation via RhoA-ROCK Inhibition and Cerebral Ischemia-Reperfusion Injury in Mice. ACS Chem. Neurosci. 2019, 10, 1565–1574. [Google Scholar] [CrossRef]
- Baker, D.; Pryce, G.; Visintin, C.; Sisay, S.; I Bondarenko, A.; Ho, W.S.V.; Jackson, S.J.; E Williams, T.; Al-Izki, S.; Sevastou, I.; et al. Big conductance calcium-activated potassium channel openers control spasticity without sedation. Br. J. Pharmacol. 2017, 174, 2662–2681. [Google Scholar] [CrossRef] [PubMed]
- Zhou, H.Y.; Lu, M.Y.; Shen, J.K. Primary Culture of Astrocytes from Sprague-Dawley (SD) Rats. Chin. J. Neuro-Med. 2003, 2, 346–347,355. [Google Scholar]
- Li, H.; Xv, Y.; Hou, X.Y. Improvement of Culture Methods for Rat Astrocytes. J. Xuzhou Med. Univ. 2014, 34, 12–14. [Google Scholar]
- Wang, Y.-C.; Li, W.-Z.; Wu, Y.; Yin, Y.-Y.; Dong, L.-Y.; Chen, Z.-W.; Wu, W.-N. Acid-sensing ion channel 1a contributes to the effect of extracellular acidosis on NLRP1 inflammasome activation in cortical neurons. J. Neuroinflammation 2015, 12, 246. [Google Scholar] [CrossRef]
- Zhang, F.; Chen, S.; Wen, J.-Y.; Chen, Z.-W. 3-Mercaptopyruvate sulfurtransferase/hydrogen sulfide protects cerebral endothelial cells against oxygen-glucose deprivation/reoxygenation-induced injury via mitoprotection and inhibition of the RhoA/ROCK pathway. Am. J. Physiol. Physiol. 2020, 319, C720–C733. [Google Scholar] [CrossRef]
- Sharma, N.; Cho, D.H.; Kim, S.Y.; Bhattarai, J.P.; Hwang, P.H.; Han, S.K. Magnesium sulfate suppresses L-type calcium currents on the basilar artery smooth muscle cells in rabbits. Neurol. Res. 2012, 34, 291–296. [Google Scholar] [CrossRef]
- Wang, M.; Hu, Y.; Fan, Y.; Guo, Y.; Chen, F.; Chen, S.; Li, Q.; Chen, Z. Involvement of Hydrogen Sulfide in Endothelium-Derived Relaxing Factor-Mediated Responses in Rat Cerebral Arteries. J. Vasc. Res. 2016, 53, 172–185. [Google Scholar] [CrossRef]
- Wen, J.; Zhang, J.; Chen, S.; Chen, Y.; Zhang, Y.; Ma, Z.; Zhang, F.; Xie, W.; Fan, Y.; Duan, J.; et al. Endothelium-derived hydrogen sulfide acts as a hyperpolarizing factor and exerts neuroprotective effects via activation of large-conductance Ca2+-activated K+ channels. Br. J. Pharmacol. 2021, 178, 4155–4175. [Google Scholar] [CrossRef]









Disclaimer/Publisher’s Note: The statements, opinions and data contained in all publications are solely those of the individual author(s) and contributor(s) and not of MDPI and/or the editor(s). MDPI and/or the editor(s) disclaim responsibility for any injury to people or property resulting from any ideas, methods, instructions or products referred to in the content. |
© 2026 by the authors. Licensee MDPI, Basel, Switzerland. This article is an open access article distributed under the terms and conditions of the Creative Commons Attribution (CC BY) license.
Share and Cite
Wang, S.; Jiang, Y.; Jiang, J.-R.; Liang, S.; Wen, J.-Y.; Chen, Z.-W.; Shuo, C. Activation of BKCa Channels in Rat Cerebrovascular Smooth Muscle Cells and Vasodilation Induced by Neurogenic H2S and Its Relationship with VEGFR2. Curr. Issues Mol. Biol. 2026, 48, 284. https://doi.org/10.3390/cimb48030284
Wang S, Jiang Y, Jiang J-R, Liang S, Wen J-Y, Chen Z-W, Shuo C. Activation of BKCa Channels in Rat Cerebrovascular Smooth Muscle Cells and Vasodilation Induced by Neurogenic H2S and Its Relationship with VEGFR2. Current Issues in Molecular Biology. 2026; 48(3):284. https://doi.org/10.3390/cimb48030284
Chicago/Turabian StyleWang, Shan, Yu Jiang, Jia-Rong Jiang, Shuai Liang, Ji-Yue Wen, Zhi-Wu Chen, and Chen Shuo. 2026. "Activation of BKCa Channels in Rat Cerebrovascular Smooth Muscle Cells and Vasodilation Induced by Neurogenic H2S and Its Relationship with VEGFR2" Current Issues in Molecular Biology 48, no. 3: 284. https://doi.org/10.3390/cimb48030284
APA StyleWang, S., Jiang, Y., Jiang, J.-R., Liang, S., Wen, J.-Y., Chen, Z.-W., & Shuo, C. (2026). Activation of BKCa Channels in Rat Cerebrovascular Smooth Muscle Cells and Vasodilation Induced by Neurogenic H2S and Its Relationship with VEGFR2. Current Issues in Molecular Biology, 48(3), 284. https://doi.org/10.3390/cimb48030284
