Influence of Auditory Integrative Training on Casein Kinase 2 and Its Impact on Behavioral and Social Interaction in Children with Autism Spectrum Disorder
Abstract
1. Introduction
2. Materials and Methods
2.1. Childhood Autism Rating Scale
2.2. Social Responsiveness Scale
2.3. The Short Sensory Profile
2.4. Measurement of Plasma Casein Kinase-2 (CK2)
2.5. Statistical Analysis
3. Results and Discussion
4. Conclusions
Author Contributions
Funding
Institutional Review Board Statement
Informed Consent Statement
Data Availability Statement
Conflicts of Interest
References
- Baio, J.; Wiggins, L.; Christensen, D.L.; Maenner, M.J.; Daniels, J.; Warren, Z.; Dowling, N.F. Prevalence of Autism Spectrum Disorder Among Children Aged 8 Years—Autism and Developmental Disabilities Monitoring Network, 11 Sites, United States, 2014. MMWR Surveill. Summ. 2018, 67, 1. [Google Scholar] [CrossRef] [PubMed]
- Brugha, T.S.; Spiers, N.; Bankart, J.; Cooper, S.A.; McManus, S.; Scott, F.J.; Smith, J.; Tyrer, F. Epidemiology of autism in adults across age groups and ability levels. Br. J. Psychiatry 2016, 209, 498–503. [Google Scholar] [CrossRef] [PubMed]
- Fernell, E.; Landgren, M.; Lindström, K.; Johnson, M.; Gillberg, C. Children and young people with neurodevelopmental problems: Support and efforts must be given even if not all diagnostic criteria are met. Lakartidningen 2013, 110, 1674. [Google Scholar] [PubMed]
- Narayanan, A.; Jacobson, M.P. Computational studies of protein regulation by post-translational phosphorylation. Curr. Opin. Struct. Biol. 2009, 19, 156–163. [Google Scholar] [CrossRef] [PubMed]
- Olsen, J.V.; Vermeulen, M.; Santamaria, A.; Kumar, C.; Miller, M.L.; Jensen, L.J.; Gnad, F.; Cox, J.; Jensen, T.S.; Nigg, E.A.; et al. Quantitative phosphoproteomics revealswidespread full phosphorylation site occupancy during mitosis. Sci. Signal. 2010, 3, ra3. [Google Scholar] [CrossRef] [PubMed]
- Ishii, A.; Nonaka, T.; Taniguchi, S.; Saito, T.; Arai, T.; Mann, D.; Iwatsubo, T.; Hisanaga, S.-I.; Goedert, M.; Hasegawa, M. Casein kinase 2 is the major enzyme in brain that phosphorylates Ser129 of human α-synuclein: Implication for α-synucleinopathies. FEBS Lett. 2007, 581, 4711–4717. [Google Scholar] [CrossRef]
- Götz, C.; Montenarh, M. Protein kinase CK2 in development and differentiation (Review). Biomed. Rep. 2017, 6, 127–133. [Google Scholar] [CrossRef]
- Lettieri, A.; Borgo, C.; Zanieri, L.; D’amore, C.; Oleari, R.; Paganoni, A.; Pinna, L.A.; Cariboni, A.; Salvi, M. Protein Kinase CK2 Subunits Differentially Perturb the Adhesion and Migration of GN11 Cells: A Model of Immature Migrating Neurons. Int. J. Mol. Sci. 2019, 20, 5951. [Google Scholar] [CrossRef]
- Rebholz, H.; Nishi, A.; Liebscher, S.; Nairn, A.C.; Flajolet, M.; Greengard, P. CK2 Negatively Regulates G S Signaling. Proc. Natl. Acad. Sci. USA 2009, 106, 14096–14101. [Google Scholar] [CrossRef]
- Soto, D.; Pancetti, F.; Marengo, J.J.; Sandoval, M.; Sandoval, R.; Orrego, F.; Wyneken, U. Protein Kinase CK2 in Postsynaptic Densities: Phosphorylation of PSD-95/SAP90 and NMDA Receptor Regulation. Biochem. Biophys. Res. Commun. 2004, 322, 542–550. [Google Scholar] [CrossRef]
- Girault, J.A.; Hemmings, H.C., Jr.; Zorn, S.H.; Gustafson, E.L.; Greengard, P. Characterization in mammalian brain of a DARPP-32 serine kinase identical to casein kinase II. J. Neurochem. 1990, 55, 1772–1783. [Google Scholar] [CrossRef]
- Castello, J.; Ragnauth, A.; Friedman, E.; Rebholz, H. CK2—An emerging target for neurological and psychiatric disorders. Pharmaceuticals 2017, 10, 7. [Google Scholar] [CrossRef] [PubMed]
- Montenarh, M.; Götz, C. Protein Kinase CK2 and Ion Channels (Review). Biomed. Rep. 2020, 13, 55. [Google Scholar] [CrossRef] [PubMed]
- Castello, J.; LeFrancois, B.; Flajolet, M.; Greengard, P.; Friedman, E.; Rebholz, H. CK2 Regulates 5-HT4 Receptor Signaling and Modulates Depressive-like Behavior. Mol. Psychiatry 2018, 23, 872–882. [Google Scholar] [CrossRef] [PubMed]
- Fukuda, T.; Yanagi, S. Psychiatric behaviors associated with cytoskeletal defects in radial neuronal migration. Cell. Mol. Life Sci. 2017, 74, 3533–3552. [Google Scholar] [CrossRef]
- Wegiel, J.; Kuchna, I.; Nowicki, K.; Imaki, H.; Wegiel, J.; Marchi, E.; Ma, S.Y.; Chauhan, A.; Chauhan, V.; Bobrowicz, T.W.; et al. The neuropathology of autism: Defects of neurogenesis and neuronal migration, and dysplastic changes. Acta Neuropathol. 2010, 119, 755–770. [Google Scholar] [CrossRef]
- Provenzano, G.; Chelini, G.; Bozzi, Y. Genetic control of social behavior: Lessons from mutant mice. Behav. Brain Res. 2017, 325, 237–250. [Google Scholar] [CrossRef]
- Ferguson, B.R.; Gao, W.J. Pv interneurons: Critical regulators of E/I balance for prefrontal cortex-dependent behavior and psychiatric disorders. Front. Neural Circuits 2018, 12, 37. [Google Scholar] [CrossRef]
- Bozzi, Y.; Provenzano, G.; Casarosa, S. Neurobiological bases of autism–epilepsy comorbidity: A focus on excitation/inhibition imbalance. Eur. J. Neurosci. 2018, 47, 534–548. [Google Scholar] [CrossRef]
- Gao, Z.; Lee, P.; Stafford, J.M.; Von Schimmelmann, M.; Schaefer, A.; Reinberg, D. An AUTS2–Polycomb complex activates gene expression in the CNS. Nature 2014, 516, 349–354. [Google Scholar] [CrossRef]
- Hori, K.; Shimaoka, K.; Hoshino, M. AUTS2 Gene: Keys to Understanding the Pathogenesis of Neurodevelopmental Disorders. Cells 2022, 11, 11. [Google Scholar] [CrossRef] [PubMed]
- Okur, V.; Cho, M.T.; Henderson, L.; Retterer, K.; Schneider, M.; Sattler, S.; Niyazov, D.; Azage, M.; Smith, S.; Picker, J.; et al. De novo mutations in CSNK2A1 are associated with neurodevelopmental abnormalities and dysmorphic features. Hum. Genet. 2016, 135, 699–705. [Google Scholar] [CrossRef] [PubMed]
- Gold, N.B.; Li, D.; Chassevent, A.; Kaiser, F.J.; Parenti, I.; Strom, T.M.; Ramos, F.J.; Puisac, B.; Pié, J.; McWalter, K.; et al. Heterozygous de novo variants in CSNK1G1 are associated with syndromic developmental delay and autism spectrum disorder. Clin. Genet. 2020, 98, 571–576. [Google Scholar] [CrossRef] [PubMed]
- Okochi, M.; Walter, J.; Koyama, A.; Nakajo, S.; Baba, M.; Iwatsubo, T.; Meijer, L.; Kahle, P.J.; Haass, C. Constitutive Phosphorylation of the Parkinson’s Disease Associated α-Synuclein. J. Biol. Chem. 2000, 275, 390–397. [Google Scholar] [CrossRef] [PubMed]
- Oueslati, A. Implication of Alpha-Synuclein Phosphorylation at S129 in Synucleinopathies: What Have We Learned in the Last Decade? J. Park. Dis. 2016, 6, 39–51. [Google Scholar] [CrossRef] [PubMed]
- Al-Mazidi, S.; Al-Ayadhi, L.Y. Plasma Levels of Alpha and Gamma Synucleins in Autism Spectrum Disorder: An Indicator of Severity. Med. Princ. Pract. 2021, 30, 160–167. [Google Scholar] [CrossRef]
- El-Ansary, A.; Alhakbany, M.; Aldbass, A.; Qasem, H.; Al-Mazidi, S.; Bhat, R.S.; Al-Ayadhi, L. Alpha-Synuclein, cyclooxygenase-2 and prostaglandins-EP2 receptors as neuroinflammatory biomarkers of autism spectrum disorders: Use of combined ROC curves to increase their diagnostic values. Lipids Health Dis. 2021, 20, 155. [Google Scholar] [CrossRef]
- Raghavan, K.; Dedeepiya, V.D.; Ikewaki, N.; Sonoda, T.; Iwasaki, M.; Preethy, S.; Abraham, S.J. Improvement of behavioural pattern and alpha-synuclein levels in autism spectrum disorder after consumption of a beta-glucan food supplement in a randomised, parallel-group pilot clinical study. BMJ Neurol. Open 2022, 4, e000203. [Google Scholar] [CrossRef]
- Turner, J.R. Intestinal mucosal barrier function in health and disease. Nat. Rev. Immunol. 2009, 9, 799–809. [Google Scholar] [CrossRef]
- Shen, L.; Weber, C.R.; Raleigh, D.R.; Yu, D.; Turner, J.R. Tight Junction Pore and Leak Pathways: A Dynamic Duo. Annu. Rev. Physiol. 2011, 73, 283–309. [Google Scholar] [CrossRef]
- Dörfel, M.J.; Westphal, J.K.; Bellmann, C.; Krug, S.M.; Cording, J.; Mittag, S.; Tauber, R.; Fromm, M.; Blasig, I.E.; Huber, O. CK2-dependent phosphorylation of occludin regulates the interaction with ZO-proteins and tight junction integrity. Cell Commun. Signal. 2013, 11, 40. [Google Scholar] [CrossRef] [PubMed]
- Liu, D.; Marie, J.C.; Pelletier, A.L.; Song, Z.; Ben-Khemis, M.; Boudiaf, K.; Pintard, C.; Leger, T.; Terrier, S.; Chevreux, G.; et al. Protein Kinase CK2 Acts as a Molecular Brake to Control NADPH Oxidase 1 Activation and Colon Inflammation. Cell. Mol. Gastroenterol. Hepatol. 2022, 13, 1073–1093. [Google Scholar] [CrossRef] [PubMed]
- Paul, R. Interventions to Improve Communication in Autism. Child Adolesc. Psychiatr. Clin. North Am. 2008, 17, 835–856. [Google Scholar] [CrossRef] [PubMed]
- Sinha, Y.; Silove, N.; Hayen, A.; Williams, K. Auditory integration training and other sound therapies for autism spectrum disorders (ASD). Cochrane Database Syst. Rev. 2011, 2011, CD003681. [Google Scholar] [CrossRef]
- Rotschafer, S.E. Auditory Discrimination in Autism Spectrum Disorder. Front. Neurosci. 2021, 15, 651209. [Google Scholar] [CrossRef]
- Ventola, P.E.; Kleinman, J.; Pandey, J.; Barton, M.; Allen, S.; Green, J.; Robins, D.; Fein, D. Agreement Among Four Diagnostic Instruments for Autism Spectrum Disorders in Toddlers. J. Autism Dev. Disord. 2006, 36, 839–847. [Google Scholar] [CrossRef]
- Constantino, J.N.; Davis, S.A.; Todd, R.D.; Schindler, M.K.; Gross, M.M.; Brophy, S.L.; Reich, W. Validation of a Brief Quantitative Measure of Autistic Traits: Comparison of the Social Responsiveness Scale with the Autism Diagnostic Interview-Revised. J. Autism Dev. Disord. 2003, 33, 427–433. [Google Scholar] [CrossRef]
- Dunn, W.; Daniels, D.B. Initial Development of the Infant/Toddler Sensory Profile. J. Early Interv. 2022, 25, 27–41. [Google Scholar] [CrossRef]
- Al-Ayadhi, L.; Al-Drees, A.; Al-Arfaj, A. Effectiveness of Auditory Integration Therapy in Autism Spectrum Disorders--Prospective Study. Autism Insights 2013, 5, 13–20. [Google Scholar] [CrossRef]
- Perrin, J.M.; Coury, D.L.; Hyman, S.L.; Cole, L.; Reynolds, A.M.; Clemons, T. Complementary and Alternative Medicine Use in a Large Pediatric Autism Sample. Pediatrics 2012, 130 (Suppl. S2), S77–S82. [Google Scholar] [CrossRef]
- El-Ansary, A.; Hassan, W.M.; Daghestani, M.; Al-Ayadhi, L.; Ben Bacha, A. Preliminary evaluation of a novel nine-biomarker profile for the prediction of autism spectrum disorder. PLoS ONE 2020, 15, e0227626. [Google Scholar] [CrossRef] [PubMed]
- Heuer, L.S.; Croen, L.A.; Jones, K.L.; Yoshida, C.K.; Hansen, R.L.; Yolken, R.; Zerbo, O.; DeLorenze, G.; Kharrazi, M.; Ashwood, P.; et al. An Exploratory Examination of Neonatal Cytokines and Chemokines as Predictors of Autism Risk: The Early Markers for Autism Study. Biol. Psychiatry 2019, 86, 255–264. [Google Scholar] [CrossRef] [PubMed]
- Frye, R.E.; Melnyk, S.; Macfabe, D.F. Unique acyl-carnitine profiles are potential biomarkers for acquired mitochondrial disease in autism spectrum disorder. Transl. Psychiatry 2013, 3, e220. [Google Scholar] [CrossRef]
- Al-Ayadhi, L.; Zayed, N.; Bhat, R.S.; Moubayed, N.M.S.; Al-Muammar, M.N.; El-Ansary, A. The use of biomarkers associated with leaky gut as a diagnostic tool for early intervention in autism spectrum disorder: A systematic review. Gut Pathog. 2021, 13, 54. [Google Scholar] [CrossRef]
- Montanari, M.; Martella, G.; Bonsi, P.; Meringolo, M. Autism Spectrum Disorder: Focus on Glutamatergic Neurotransmission. Int. J. Mol. Sci. 2022, 23, 3861. [Google Scholar] [CrossRef] [PubMed]
- Caia, J.; Ding, L.; Zhang, J.S.; Xue, J.; Wang, L.Z. Elevated plasma levels of glutamate in children with autism spectrum disorders. NeuroReport 2016, 27, 272–276. [Google Scholar] [CrossRef] [PubMed]
- Tilleux, S.; Hermans, E. Neuroinflammation and regulation of glial glutamate uptake in neurological disorders. J. Neurosci. Res. 2007, 85, 2059–2070. [Google Scholar] [CrossRef]
- Domercq, M.; Perez-Samartin, A.; Aparicio, D.; Alberdi, E.; Pampliega, O.; Matute, C. P2X7 receptors mediate ischemic damage to oligodendrocytes. Glia 2009, 58, 730–740. [Google Scholar] [CrossRef]
- Pampliega, O.; Domercq, M.; Soria, F.N.; Villoslada, P.; Rodríguez-Antigüedad, A.; Matute, C. Increased expression of cystine/glutamate antiporter in multiple sclerosis. J. Neuroinflammation 2011, 8, 63. [Google Scholar] [CrossRef]
- El-Ansary, A.K.; Ben Bacha, A.G.; Al-Ayadhi, L.Y. Proinflammatory and proapoptotic markers in relation to mono and di-cations in plasma of autistic patients from Saudi Arabia. J. Neuroinflammation 2011, 8, 142. [Google Scholar] [CrossRef]
- Axtell, R.C.; Xu, L.; Barnum, S.R.; Raman, C. CD5-CK2 Binding/Activation-Deficient Mice Are Resistant to Experimental Autoimmune Encephalomyelitis: Protection Is Associated with Diminished Populations of IL-17-Expressing T Cells in the Central Nervous System. J. Immunol. 2006, 177, 8542–8549. [Google Scholar] [CrossRef] [PubMed]
- Sestero, C.M.; McGuire, D.J.; De Sarno, P.; Brantley, E.C.; Soldevila, G.; Axtell, R.C.; Raman, C. CD5-Dependent CK2 Activation Pathway Regulates Threshold for T Cell Anergy. J. Immunol. 2012, 189, 2918–2930. [Google Scholar] [CrossRef] [PubMed]
- Mier-Aguilar, C.A.; Cashman, K.S.; Raman, C.; Soldevila, G. CD5-CK2 Signaling Modulates Erk Activation and Thymocyte Survival. PLoS ONE 2016, 11, e0168155. [Google Scholar] [CrossRef] [PubMed]
- Ulges, A.; Witsch, E.J.; Pramanik, G.; Klein, M.; Birkner, K.; Bühler, U.; Wasser, B.; Luessi, F.; Stergiou, N.; Dietzen, S.; et al. Protein kinase CK2 governs the molecular decision between encephalitogenic T H 17 cell and T reg cell development. Proc. Natl. Acad. Sci. USA 2016, 113, 10145–10150. [Google Scholar] [CrossRef] [PubMed]
- Canedo-Antelo, M.; Serrano, M.P.; Manterola, A.; Ruiz, A.; Llavero, F.; Mato, S.; Zugaza, J.L.; Pérez-Cerdá, F.; Matute, C.; Sánchez-Gómez, M.V. Inhibition of Casein Kinase 2 Protects Oligodendrocytes from Excitotoxicity by Attenuating JNK/p53 Signaling Cascade. Front. Mol. Neurosci. 2018, 11, 333. [Google Scholar] [CrossRef]
- Hafizi, S.; Tabatabaei, D.; Lai, M.-C. Review of Clinical Studies Targeting Inflammatory Pathways for Individuals with Autism. Front. Psychiatry 2019, 10, 849. [Google Scholar] [CrossRef]
- Tsilioni, I.; Taliou, A.; Francis, K.; Theoharides, T.C. Children with autism spectrum disorders, who improved with a luteolin-containing dietary formulation, show reduced serum levels of TNF and IL-6. Transl. Psychiatry 2015, 5, e647. [Google Scholar] [CrossRef]
- Bertolino, B.; Crupi, R.; Impellizzeri, D.; Bruschetta, G.; Cordaro, M.; Siracusa, R.; Cuzzocrea, S. Beneficial Effects of Co-Ultramicronized Palmitoylethanolamide/Luteolin in a Mouse Model of Autism and in a Case Report of Autism. CNS Neurosci. Ther. 2017, 23, 87–98. [Google Scholar] [CrossRef]
- Williams, Z.J.; Failla, M.D.; Gotham, K.O.; Woynaroski, T.G.; Cascio, C. Psychometric Evaluation of the Short Sensory Profile in Youth with Autism Spectrum Disorder. J. Autism Dev. Disord. 2018, 48, 4231–4249. [Google Scholar] [CrossRef]
- Raleigh, D.R.; Boe, D.M.; Yu, D.; Weber, C.R.; Marchiando, A.M.; Bradford, E.M.; Wang, Y.; Wu, L.; Schneeberger, E.E.; Shen, L.; et al. Occludin S408 phosphorylation regulates tight junction protein interactions and barrier function. J. Cell Biol. 2011, 193, 565–582. [Google Scholar] [CrossRef]
- White, A.; McGlone, A.; Gomez-Pastor, R. Protein Kinase CK2 and Its Potential Role as a Therapeutic Target in Huntington’s Disease. Biomedicines 2022, 10, 1979. [Google Scholar] [CrossRef] [PubMed]








| Min. | Max. | Median | Percent Change | p Value | |
|---|---|---|---|---|---|
| Before | 0.406 | 5.317 | 2.447 | 100.00% | |
| Immediately after | 0.462 | 5.476 | 1.984 | 81.08% | 0.049 |
| 1 month after | 0.533 | 4.36 | 2.104 | 85.98% | 0.052 |
| 3 months after | 0.127 | 5.851 | 2.032 | 83.04% | 0.046 |
| CARS | Min. | Max. | Mean ± S.D. | Percent Change | p Value |
|---|---|---|---|---|---|
| Before | 22 | 52 | 36.84 ± 10.95 | 100.00% | |
| 1 month after | 23 | 38 | 29.81 ± 6.24 | 80.92% | 0.003 |
| 3 months after | 22 | 37 | 29.36 ± 6.06 | 79.70% | 0.008 |
| SRS | Min. | Max. | Mean ± S.D. | Percent Change | p Value |
|---|---|---|---|---|---|
| Before | 138 | 203 | 179.42 ± 19.48 | 100.00% | |
| 1 month after | 78 | 218 | 168.23 ± 32.14 | 93.76% | 0.002 |
| 3 months after | 54 | 171 | 142.88 ± 27.23 | 79.64% | 0.001 |
| Sensory Profile | Min. | Max. | Mean ± S.D. | Percent Change | p Value |
|---|---|---|---|---|---|
| Before | 87 | 190 | 144.56 ± 35.08 | 100.00% | |
| 1 month after | 129 | 190 | 163.40 ± 20.85 | 113.04% | 0.223 |
| 3 months after | 112 | 190 | 154.59 ± 23.25 | 106.94% | 0.612 |
| GI Symptoms | Before | One Month | Three Months |
|---|---|---|---|
| Vomiting after eating | 5 | 0 | 0 |
| Reflux bloating | 15 | 11 | 13 |
| Diarrhea | 8 | 1 | 1 |
| Constipation | 17 | 1 | 0 |
| Colic | 22 | 2 | 0 |
| Itchy skin | 12 | 1 | 1 |
| Rash | 6 | 0 | 0 |
| Irritability | 25 | 4 | 0 |
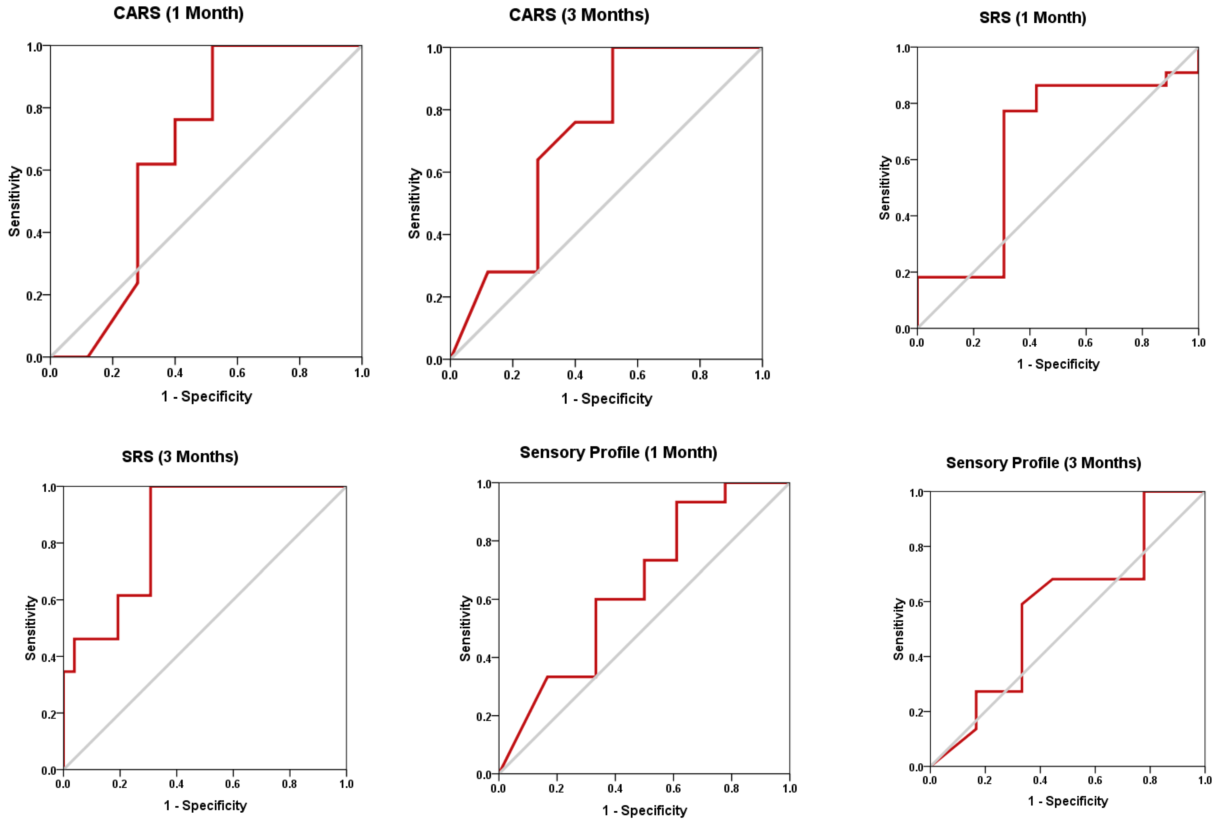
| Duration | AUC | Cut-Off Value | Sensitivity % | Specificity % | p Value | 95% CI |
|---|---|---|---|---|---|---|
| CK2 immediately after | 0.573 | 2.076 | 56.5% | 63.6% | 0.401 | 0.402–0.745 |
| CK2 1 month after | 0.564 | 2.327 | 70.0% | 54.5% | 0.481 | 0.386–0.741 |
| CK2 3 months after | 0.598 | 1.893 | 50.0% | 63.6% | 0.253 | 0.433–0.764 |
| SRS 1 month after | 0.649 | 180.000 | 77.3% | 69.2% | 0.079 | 0.481–0.816 |
| SRS 3 months after | 0.848 | 176.000 | 100.0% | 69.2% | 0.000 | 0.742–0.954 |
| CARS 1 month after | 0.665 | 39.000 | 100.0% | 48.0% | 0.056 | 0.500–0.830 |
| CARS 3 months after | 0.717 | 38.500 | 100.0% | 48.0% | 0.009 | 0.570–0.864 |
| Sensory Profile (1 month after) | 0.643 | 145.000 | 93.3% | 38.9% | 0.164 | 0.453–0.832 |
| Sensory Profile (3 months after) | 0.577 | 156.500 | 59.1% | 66.7% | 0.407 | 0.391–0.763 |
Disclaimer/Publisher’s Note: The statements, opinions and data contained in all publications are solely those of the individual author(s) and contributor(s) and not of MDPI and/or the editor(s). MDPI and/or the editor(s) disclaim responsibility for any injury to people or property resulting from any ideas, methods, instructions or products referred to in the content. |
© 2023 by the authors. Licensee MDPI, Basel, Switzerland. This article is an open access article distributed under the terms and conditions of the Creative Commons Attribution (CC BY) license (https://creativecommons.org/licenses/by/4.0/).
Share and Cite
Al-Ayadhi, L.; Bhat, R.S.; Alghamdi, F.A.; Alhadlaq, A.S.; El-Ansary, A. Influence of Auditory Integrative Training on Casein Kinase 2 and Its Impact on Behavioral and Social Interaction in Children with Autism Spectrum Disorder. Curr. Issues Mol. Biol. 2023, 45, 4317-4330. https://doi.org/10.3390/cimb45050274
Al-Ayadhi L, Bhat RS, Alghamdi FA, Alhadlaq AS, El-Ansary A. Influence of Auditory Integrative Training on Casein Kinase 2 and Its Impact on Behavioral and Social Interaction in Children with Autism Spectrum Disorder. Current Issues in Molecular Biology. 2023; 45(5):4317-4330. https://doi.org/10.3390/cimb45050274
Chicago/Turabian StyleAl-Ayadhi, Laila, Ramesa Shafi Bhat, Farah Ali Alghamdi, Abdulmalik S. Alhadlaq, and Afaf El-Ansary. 2023. "Influence of Auditory Integrative Training on Casein Kinase 2 and Its Impact on Behavioral and Social Interaction in Children with Autism Spectrum Disorder" Current Issues in Molecular Biology 45, no. 5: 4317-4330. https://doi.org/10.3390/cimb45050274
APA StyleAl-Ayadhi, L., Bhat, R. S., Alghamdi, F. A., Alhadlaq, A. S., & El-Ansary, A. (2023). Influence of Auditory Integrative Training on Casein Kinase 2 and Its Impact on Behavioral and Social Interaction in Children with Autism Spectrum Disorder. Current Issues in Molecular Biology, 45(5), 4317-4330. https://doi.org/10.3390/cimb45050274

