Abstract
The title compound, i.e., [RuCl2(η6-p-cymene)(PPh2NHnPr)] (2), was obtained in a 71% yield by reacting a toluene solution of the chlorophosphine complex [RuCl2(η6-p-cymene)(PPh2Cl)] (1) with two equivalents of n-propylamine at room temperature. The aminophosphine complex 2 was characterized by elemental analysis, multinuclear NMR (31P{1H}, 1H and 13C{1H}) and IR spectroscopy. In addition, its catalytic behavior in the hydration of benzonitrile was briefly explored.
1. Introduction
Aminophosphines RnP(NR’2)3−n (n = 0–2; see Figure 1), also referred to as aminophosphanes or phosphinous amides, are a well-known class of phosphorus compounds with a multitude of applications in heterocyclic, coordination and organometallic chemistry and homogeneous catalysis [1,2].
Figure 1.
Generic structures of mono-, bis- and tris(amino)phosphines.
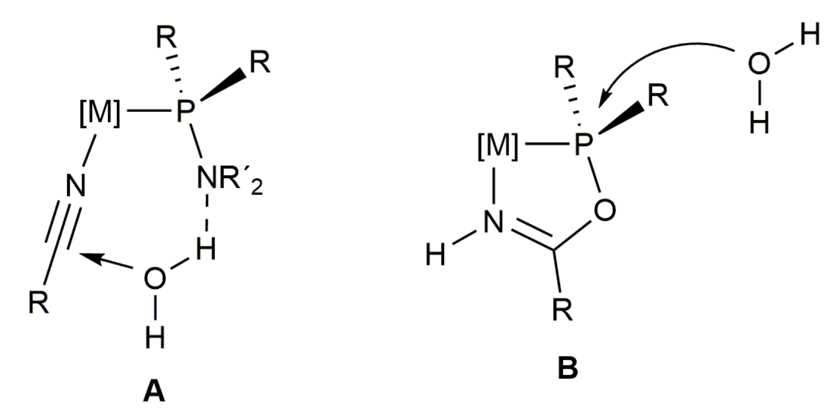
In particular, studies carried out by our group and others have shown the usefulness of aminophosphines as auxiliary ligands in metal-catalyzed nitrile hydration reactions [3,4,5,6,7,8,9]. It should be emphasized at this point that the catalytic hydration of nitriles is an important transformation in current and future sustainable chemical technologies since it represents a simple, efficient and atom-economical route to obtain primary amides, which are structural units present in a large variety of biologically active compounds, natural products, polymers and synthetic intermediates [10,11,12]. A metal–ligand cooperative effect involving the simultaneous activation of the nitrile substrate, by coordination with the metal, and the water molecule, by hydrogen bonding with one of the amino groups of the ligand (Figure 2A), has been commonly proposed to explain the superior activities of aminophosphine-based metal catalysts when compared with analogous systems containing classical phosphines PR3 (R = alkyl or aryl group) [3,4,5,6,7,8]. However, recent observations have questioned this assumption and pointed to a different role of aminophosphines, which could act as precursors of phosphinous acids RnP(OH)3−n by hydrolysis of the P-N bonds during the catalytic reactions [9]. Phosphinous acids are particularly effective ligands in the hydration of nitriles, facilitating the reaction through the generation of a highly reactive five-membered metallacyclic intermediate (Figure 2B) by intramolecular addition of the P-OH group to the metal-coordinated nitrile [13,14].
Figure 2.
Structure of the intermediate species (A,B) commonly proposed in the catalytic hydration of nitriles with aminophosphine and phosphinous acid ligands, respectively.
Different ruthenium, osmium and rhodium complexes containing N,N-disubstituted mono-, bis- and tris(amino)phosphines have been explored to date in nitrile hydration reactions [3,4,5,6,7,8,9]. Conversely, N-monosubstituted aminophosphines have not yet been tested. This fact prompted us to synthesize a representative complex containing one of these ligands, namely [RuCl2(η6-p-cymene)(PPh2NHnPr)] (2), and study its behavior in the hydration of the model benzonitrile substrate. A half-sandwich (η6-p-cymene)–ruthenium(II) complex was chosen as the [RuCl2(η6-p-cymene)] fragment represents an excellent platform for the screening of ligands [15]. Details on the preparation, characterization and catalytic activity of the novel ruthenium(II) complex 2 are herein presented.
2. Results and Discussion
The condensation of chlorophosphines with amines is the most widely used method for the preparation of aminophosphines [1,2]. This aminolysis process also occurs when the chlorophosphine is coordinated to a metal [16,17,18]. Following this route, complex [RuCl2(η6-p-cymene)(PPh2NHnPr)] (2) was obtained in a 71% yield by reacting a toluene solution of [RuCl2(η6-p-cymene)(PPh2Cl)] (1), a compound previously described by us [19], with a two-fold excess of n-propylamine (Scheme 1). The reaction proceeded rapidly at room temperature, generating the insoluble ammonium salt [nPrNH3]Cl (3) as a by-product, which could be easily separated from the desired aminophosphine–ruthenium(II) complex 2 by filtration (see details in Section 3).
Scheme 1.
Synthesis of the aminophosphine–ruthenium(II) complex 2.
Characterization of the novel Ru(II) complex 2, isolated as an air-stable orange solid, was straightforward following the analytical and spectroscopic data obtained (details are given in the Section 3). In particular, the 31P{1H} NMR spectrum was very informative, showing the presence of a singlet signal at δP 59.5 ppm, shielded with respect to that of the starting material 1 (δP 96.6 ppm) [19], and featuring the expected deshielding when compared to that of the corresponding free ligand Ph2PNHnPr (δP 40.9 ppm) [20]. The 1H and 13C{1H} NMR spectra of complex 2 fully confirmed the formation of the aminophosphine Ph2PNHnPr, showing, in addition to the expected resonances for the Ph units, the following characteristic signals: (i) (1H NMR) a broad signal at δH 3.04 ppm for the NH proton, two separated multiplets in the δH range of 1.28–2.43 ppm and a triplet at δH 0.69 ppm (3JHH = 7.4 Hz) corresponding to the CH2 and CH3 protons, respectively, of the n-propyl group, and (ii) (13C{1H} NMR) two doublets at δC 24.3 (3JPC = 5.4 Hz; PNHCH2CH2) and 44.6 (2JPC = 11.0 Hz; PNHCH2) ppm and a singlet at δC 11.2 ppm (CH3). On the other hand, in accordance with the presence of a symmetry plane in the molecule, only two signals for the aromatic CH protons (doublets at δH 5.09 and 5.27 ppm with a mutual 3JHH coupling constant of 5.6 Hz) and carbons (doublets at δC 86.1 and 91.0 ppm with 2JPC coupling constants of 6.0 and 4.1 Hz, respectively) of the η6-coordinated p-cymene ring were observed in the 1H and 13C{1H} NMR spectra. Resonances for the aromatic quaternary carbons (singlets at δC 93.7 and 107.9 ppm), and the methyl (singlet at δC 17.4 ppm) and isopropyl substituents (singlets at δC 21.3 (Me) and 30.0 (CH) ppm) of the arene ligand, were additionally observed in the 13C{1H} NMR spectrum. The Me and iPr groups also left their typical mark on the 1H NMR spectrum in the form of a singlet signal at δH 1.96 ppm for the former, and as a septuplet (δH 2.61 ppm; 3JHH = 6.9 Hz, CHMe2) and a doublet (δH 0.84 ppm; 3JHH = 6.9 Hz, CHMe2) for the latter. Complex 2 was further characterized by IR spectroscopy, the most characteristic band in the spectrum being associated with the ν(N-H) absorption at 3367 cm−1. Unfortunately, all attempts to obtain suitable crystals for the structural determination of complex 2 by single-crystal X-ray diffraction were unsuccessful.
The catalytic potential of [RuCl2(η6-p-cymene)(PPh2NHnPr)] (2) was subsequently evaluated, employing benzonitrile as the model substrate. As shown in Table 1, when performing the hydration reaction in pure water at 80 °C with 2 mol% of complex 2, the desired benzamide was generated in a 89% yield after 5 h (entry 1; TOF = 8.9 h−1), a result clearly inferior to that obtained when the parent complex [RuCl2(η6-p-cymene)(PPh2Cl)] (1) was employed as a catalyst (95% yield after only 1 h of heating; TOF = 47.5 h−1; entry 2). As discussed in a previous work [19], the high catalytic activity of 1 is related to its ability to rapidly transform in the reaction medium into the diphenylphosphinous acid complex [RuCl2(η6-p-cymene)(PPh2OH)] (4), which acts as the catalytically active species, by hydrolysis of the P-Cl bond of the coordinated chlorophosphine. Indeed, when the isolated complex 4 was employed, under identical reaction conditions, quantitative formation of benzamide was observed after only 30 min (TOF = 100 h−1; entry 3). In order to determine whether 4 participates in the hydration process when [RuCl2(η6-p-cymene)(PPh2NHnPr)] (2) is employed as the ruthenium source, the behavior of 2 towards water was explored. To this end, an NMR tube containing 2 dissolved in a THF/D2O (1:1 v/v) mixture was heated in an oil bath at 80 °C for 3 h. The 31P{1H} NMR spectrum subsequently recorded did not show the presence of 4 and only the singlet signal of 2 was present (a copy of the spectrum is given in the Supplementary Materials file). Based on this observation, an intermediate of type A (see Figure 2) would be most likely involved in the hydration process.
Table 1.
Hydration of benzonitrile into benzamide catalyzed by complexes 1, 2 and 4 in water 1.
3. Materials and Methods
The manipulations were carried out under an inert atmosphere (Ar) using vacuum-line and standard Schlenk or sealed-tube techniques. All reagents employed in this work were obtained from commercial suppliers and used as received, with the exception of complexes [RuCl2(η6-p-cymene)(PPh2Cl)] (1) [19] and [RuCl2(η6-p-cymene)(PPh2OH)] (4) [21], which were synthesized following the methods reported in the literature. Organic solvents were purified by standard methods prior to use [22]. NMR spectra were recorded at room temperature on Bruker DPX-300 (31P{1H} and 1H) or AV-400 (13C{1H} and DEPT-135) instruments (Billerica, MA, USA). For the 13C and 1H NMR chemical shifts, the residual signal of the deuterated solvent (CDCl3) was employed as a reference, while, for the 31P NMR ones, 85% H3PO4 was used as an external standard. A PerkinElmer 1720-XFT spectrometer (Waltham, MA, USA) was employed for the IR measurements. GC measurements were performed on a Hewlett Packard HP6890 apparatus (Palo Alto, CA, USA) equipped with a Supelco Beta-Dex™ 120 column (30 m length, 250 mm diameter).
3.1. Dichloro(η6-p-cymene)(P,P-diphenyl-N-propyl-phosphinous amide-κP)ruthenium(II) (2)
To a solution of the chlorophosphine complex [RuCl2(η6-p-cymene)(PPh2Cl)] (1) (0.100 g, 0.190 mmol) in 20 mL of toluene, nPrNH2 was added (31.3 µL, 0.380 mmol), and the mixture was stirred at room temperature for 1.5 h. A white precipitate of the ammonium salt [nPrNH3]Cl (3) appeared and was removed by filtration. The filtrate was then evaporated to dryness, and the resulting oily residue was dissolved in the minimum amount of CH2Cl2 (ca. 3 mL). Addition of hexane (15 mL) precipitated an orange solid, which was washed twice with 10 mL of hexane and vacuum-dried. Yield: 0.074 g (71%). The characterization data for complex 2 are as follows: 31P{1H} NMR (121 MHz, CDCl3): δ = 59.5 (s) ppm. 1H NMR (300 MHz, CDCl3): δ = 7.95–7.90 (m, 4H, CH of Ph), 7.50 (br s, 6H, CH of Ph), 5.27 (d, 2H, 3JHH = 5.6 Hz, CH of cymene), 5.09 (d, 2H, 3JHH = 5.6 Hz, CH of cymene), 3.04 (br s, 1H, NH), 2.61 (sept, 1H, 3JHH = 6.9 Hz, CHMe2), 2.43–2.37 (m, 2H, NHCH2CH2Me), 1.96 (s, 3H, Me of cymene), 1.28–1.16 (m, 2H, NHCH2CH2Me), 0.84 (d, 6H, 3JHH = 6.9 Hz, CHMe2), 0.69 (t, 3H, 3JHH = 7.4 Hz, NHCH2CH2Me) ppm. 13C{1H} NMR (100 MHz, CDCl3): δ = 134.5 (d, 1JPC = 52.1 Hz, Cipso of Ph), 132.9 (d, JPC = 10.1 Hz, CHortho or CHmeta of Ph), 130.6 (s, CHpara of Ph), 128.0 (d, JPC = 10.0 Hz, CHortho or CHmeta of Ph), 107.9 (s, C of cymene), 93.7 (s, C of cymene), 91.0 (d, 2JPC = 4.1 Hz, CH of cymene), 86.1 (d, 2JPC = 6.0 Hz, CH of cymene), 44.6 (d, 2JPC = 11.0 Hz, NHCH2CH2Me), 30.0 (s, CHMe2), 24.3 (d, 3JPC = 5.4 Hz, NHCH2CH2Me), 21.3 (s, CHMe2), 17.4 (s, Me of cymene), 11.2 (s, NHCH2CH2Me) ppm. IR (KBr): ν = 3367 (s), 3055 (m), 2963 (m), 2914 (m), 2866 (m), 1463 (m), 1439 (s), 1408 (m), 1386 (m), 1353 (w), 1259 (w), 1235 (w), 1189 (w), 1129 (m), 1119 (s), 1100 (s), 1057 (m), 1033 (m), 1011 (m), 900 (w), 865 (w), 797 (w), 746 (s), 698 (s), 501 (s), 553 (m), 479 (m) cm−1. Elemental analysis calcd. (%) for C25H32Cl2NPRu: C 54.65, H 5.87, N 2.55; found: C 54.71, H 5.80, N 2.60.
3.2. General Procedure for the Catalytic Hydration of Benzonitrile
Under an argon atmosphere, benzonitrile (0.103 mL, 1 mmol), water (3 mL) and the corresponding ruthenium(II) complex (0.02 mmol) were introduced into a Teflon-capped sealed tube, and the reaction mixture was stirred at 80 °C for the indicated time (see Table 1). Conversion of benzonitrile into benzamide was determined by taking a sample of ca. 10 μL, which, after extraction with CH2Cl2 (3 mL), was analyzed by gas chromatography.
4. Conclusions
In summary, the novel aminophosphine–ruthenium(II) complex [RuCl2(η6-p-cymene)(PPh2NHnPr)] (2) has been synthesized in high yield by aminolysis of [RuCl2(η6-p-cymene)(PPh2Cl)] (1) with propylamine, and analytically and spectroscopically characterized. Although 2 proved to be catalytically active in the hydration of benzonitrile in bulk water, its effectiveness was much lower than that shown by 1 due to the reluctance of the coordinated PPh2NHnPr ligand to hydrolyze into the phosphinous acid PPh2OH.
Supplementary Materials
The following are available online, Figures S1–S6: 31P[1H] NMR, 1H NMR, 13C{1H} NMR, DEPT-135 NMR and IR spectrum of compound 2, and 31P{1H} NMR of 2 after heating in a THF/D2O mixture.
Author Contributions
Conceptualization, V.C.; synthesis and characterization of compound 2, and catalysis test, R.G.-F.; original draft preparation, P.C.; review and editing, V.C. All authors have read and agreed to the published version of the manuscript.
Funding
This research was funded by the Spanish Ministry of Economy, Industry and Competitiveness (MINECO project CTQ2016-75896-P).
Data Availability Statement
The data presented in this study are available in this article.
Conflicts of Interest
The authors declare no conflict of interest. The funders had no role in the design of the study; in the collection, analyses, or interpretation of data; in the writing of the manuscript, or in the decision to publish the results.
References
- Alajarín, M.; López-Leonardo, C.; Llamas-Lorente, P. The chemistry of phosphinous amides (aminophosphanes): Old reagents with new applications. Top. Curr. Chem. 2005, 250, 77–106. [Google Scholar]
- Gopalakrishnam, J. Aminophosphines: Their chemistry and role as ligands and synthons. Appl. Organomet. Chem. 2009, 23, 291–318. [Google Scholar] [CrossRef]
- Cadierno, V.; Díez, J.; Francos, J.; Gimeno, J. Bis(allyl)ruthenium(IV) complexes containing water-soluble phosphane ligands: Synthesis, structure, and application as catalysts in the selective hydration of organonitriles into amides. Chem. Eur. J. 2010, 16, 9808–9817. [Google Scholar] [CrossRef]
- García-Álvarez, R.; Díez, J.; Crochet, P.; Cadierno, V. Arene-ruthenium(II) complexes containing inexpensive tris(dimethylamino)phosphine: Highly efficient catalysts for the selective hydration of nitriles into amides. Organometallics 2011, 30, 5442–5451. [Google Scholar] [CrossRef]
- García-Álvarez, R.; Francos, J.; Crochet, P.; Cadierno, V. Ibuprofenamide: A convenient method of synthesis by catalytic hydration of 2-(4-isobutylphenyl)propionitrile in pure aqueous medium. Tetrahedron Lett. 2011, 52, 4218–4220. [Google Scholar] [CrossRef]
- Knapp, S.M.M.; Sherbow, T.J.; Juliette, J.J.; Tyler, D.R. Cyanohydrin hydration with [Ru(η6-p-cymene)Cl2PR3] complexes. Organometallics 2012, 31, 2941–2944. [Google Scholar] [CrossRef]
- Knapp, S.M.M.; Sherbow, T.J.; Yelle, R.B.; Zakharov, L.N.; Juliette, J.J.; Tyler, D.R. Mechanistic investigations and secondary coordination sphere effects in the hydration of nitriles with [Ru(η6-arene)Cl2PR3] complexes. Organometallics 2013, 32, 824–834. [Google Scholar] [CrossRef]
- Tomás-Mendivil, E.; García-Álvarez, R.; Vidal, C.; Crochet, P.; Cadierno, V. Exploring rhodium(I) Complexes [RhCl(COD)(PR3)] (COD = 1,5-cyclooctadiene) as catalysts for nitrile hydration reactions in water: The aminophosphines make the difference. ACS Catal. 2014, 4, 1901–1910. [Google Scholar] [CrossRef]
- González-Fernández, R.; Crochet, P.; Cadierno, V. Cymene-osmium(II) complexes with amino-phosphane ligands as precatalysts for nitrile hydration reactions. ChemistrySelect 2018, 3, 4324–4329. [Google Scholar] [CrossRef]
- Kukushkin, V.Y.; Pombeiro, A.J.L. Metal-mediated and metal-catalyzed hydrolysis of nitriles. Inorg. Chim. Acta 2005, 358, 1–21. [Google Scholar] [CrossRef]
- Ahmed, T.J.; Knapp, S.M.M.; Tyler, D.R. Frontiers in catalytic nitrile hydration: Nitrile and cyanohydrin hydration catalyzed by homogeneous organometallic complexes. Coord. Chem. Rev. 2011, 255, 949–974. [Google Scholar] [CrossRef]
- García-Álvarez, R.; Crochet, P.; Cadierno, V. Metal-catalyzed amide bond forming reactions in an environmentally friendly aqueous medium: Nitrile hydrations and beyond. Green Chem. 2013, 15, 46–66. [Google Scholar] [CrossRef]
- Tomás-Mendivil, E.; Cadierno, V.; Menéndez, M.I.; López, R. Unmasking the action of phosphinous acid ligands in nitrile hydration reactions catalyzed by arene-ruthenium(II) complexes. Chem. Eur. J. 2015, 21, 16874–16886. [Google Scholar] [CrossRef]
- González-Fernández, R.; Crochet, P.; Cadierno, V.; Menéndez, M.I.; López, R. Phosphinous acid-assisted hydration of nitriles: Understanding the controversial reactivity of osmium and ruthenium catalysts. Chem. Eur. J. 2017, 23, 15210–15221. [Google Scholar] [CrossRef]
- González-Fernández, R.; Crochet, P.; Cadierno, V. Arene-ruthenium(II) and osmium(II) complexes as catalysts for nitrile hydration and aldoxime rearrangement reactions. Inorg. Chim. Acta 2021, 517, 120180. [Google Scholar] [CrossRef]
- Kraihanzel, C.S.; Bartish, C.M. Reactions of coordinated ligands II. Reactions of (chlorodimethylphosphine)- and (chlorodiphenylphosphine)pentacarbonylmolybdenum with selected alcohols, ethanethiol, hydrogen sulfide, ammonia and several amines. J. Organomet. Chem. 1972, 43, 343–350. [Google Scholar] [CrossRef]
- Gray, G.M.; Kraihanzel, C.S. Reactions of coordinated ligands VI. Reactions of cis-tetracarbonyl(chlorodiphenylphosphine)molybdenum(0) with ammonia, methylamine, p-toluidine, water, methanol, p-cresol, and ethanethiol and the subsequent reactions of ammonolysis and hydrolysis products with chlorosilanes and boron trifluoride diethyletherate. J. Organomet. Chem. 1978, 146, 23–37. [Google Scholar]
- Duffey, C.; Stepleton, S.; Anderson, M.E.; Cox, D.; Ready, M.; Byrd, H.; Bloomfield, C.A.; Freeman, J.L.; Gray, G.M. X-ray crystallographic studies of a bimetallic cis-Mo(CO)4(PPh2NH2CH2CH2N=CHC6H4-o-O)2Cu complex, the starting material, cis-Mo(CO)4(PPh2Cl)2, and the reaction intermediates cis-Mo(CO)4(PPh2NH2CH2CH2NH2)2 and cis-Mo(CO)4(PPh2NH2CH2CH2N=CHC6H4-o-OH)2. J. Chem. Crystallogr. 2011, 41, 1560–1567. [Google Scholar] [CrossRef]
- González-Fernández, R.; González-Liste, P.J.; Borge, J.; Crochet, P.; Cadierno, V. Chlorophosphines as auxiliary ligands in ruthenium-catalyzed nitrile hydration reactions: Application to the preparation of β-ketoamides. Catal. Sci. Technol. 2016, 6, 4398–4409. [Google Scholar] [CrossRef]
- Cross, R.J.; Green, T.H.; Keat, R. Conformational effects on the P-N-P coupling constants in diphosphinoamines and related compounds. J. Chem. Soc., Dalton Trans. 1976, 14, 1424–1428. [Google Scholar] [CrossRef]
- Tomás-Mendivil, E.; Menéndez-Rodríguez, L.; Francos, J.; Crochet, P.; Cadierno, V. Investigation of binap-based hydroxyphosphine arene–ruthenium(II) complexes as catalysts for nitrile hydration. RSC Adv. 2014, 4, 63466–63474. [Google Scholar] [CrossRef]
- Armarego, W.L.F.; Chai, C.L.L. Purification of Laboratory Chemicals, 5th ed.; Butterworth-Heinemann: Oxford, UK, 2003. [Google Scholar]
Publisher’s Note: MDPI stays neutral with regard to jurisdictional claims in published maps and institutional affiliations. |
© 2021 by the authors. Licensee MDPI, Basel, Switzerland. This article is an open access article distributed under the terms and conditions of the Creative Commons Attribution (CC BY) license (https://creativecommons.org/licenses/by/4.0/).



