Abstract
The title compound was prepared by inducing amide bond formation between methyl 2-[(2-aminophenyl)ethynyl]benzoate and 2-[(2-acetamidophenyl)ethynyl]benzoic acid in the presence of dichlorotriphenylphosphorane. The structure of the synthesized compound was determined on the basis of its 1H-nuclear magnetic resonance (NMR), 13C-NMR, and mass spectral data. Furthermore, the compound’s crystal structure is also reported.
Introduction
The de novo design of oligomers that form well-defined three-dimensional conformations is of extraordinary importance in the fields of biotechnology, nanotechnology, and medicinal chemistry. Such conformationally ordered molecules are called foldamers [1], and amide, urea, arene, and acetylene units are often utilized as templates for constructing such foldamers [2,3,4,5,6,7,8,9,10]. In this note, we report the synthesis of the hybrid foldamer methyl 2-[(2-{2-[(2-acetamidophenyl)ethynyl]benzamido}phenyl)ethynyl]benzoate (3), which possesses both amide and acetylene units. Its dominant conformation in the crystalline state was also analyzed by X-ray crystallographic analysis.
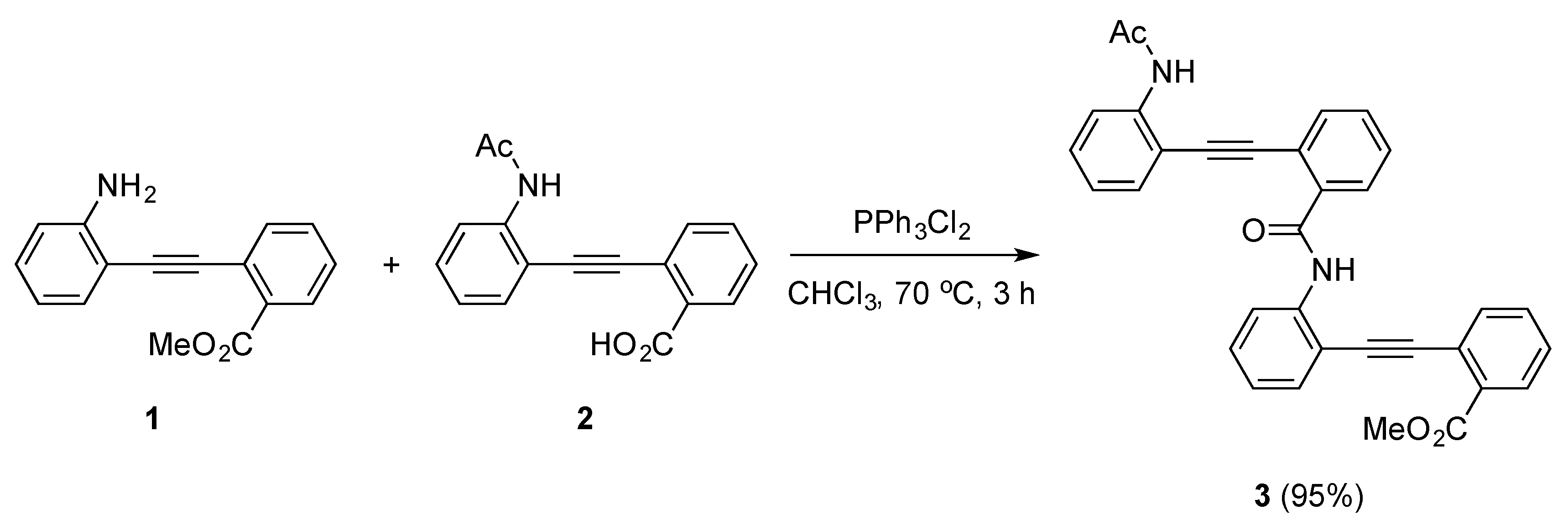
During the synthesis of the molecule, the coupling of methyl 2-[(2-aminophenyl)ethynyl]benzoate (1) [11] and 2-[(2-acetamidophenyl)ethynyl]benzoic acid (2) [12] was induced with dichlorotriphenylphosphorane in CHCl3 to give the target molecule 3 in a 95% yield. The structure of 3 was subsequently determined on the basis of its 1H-nuclear magnetic resonance (NMR), 13C-NMR, and mass spectral data.
The three-dimensional structure of 3 was determined by X-ray crystallographic analysis [13,14]. Single crystals of 3 were obtained via the slow evaporation of tetrahydrofuran. The X-ray crystallographic structure of 3 was solved with a Cc spacer group, resulting in left- and right-handed folded structures containing 1.5 residues per turn (Figure 1). In the crystal structure of 3, two hydrogen bonds were observed between H-N(1) and C(1)=O(1) [N(1)···O(1) = 3.15 Å; N-H···O 165.9°] and between H-N(2) and C(2)=O(2) [N(2)···O(2) = 3.10 Å; N-H···O 159.9°]. The new folding molecule described in this study is expected to be useful for designing foldamer scaffolds.
Figure 1.
X-ray diffraction structure of 3 as viewed (a) perpendicular to and (b) along its helical axis. The left-handed folded structure and hydrogen atoms have been omitted for clarity.
Experimental Section
General Information
The molecule’s 1H and 13C-NMR spectra were recorded on a Varian AS 400 spectrometer (Agilent, Santa Clara, CA, USA) after being dissolved in CDCl3, and tetramethylsilane was used as an internal standard. The molecule’s coupling constants (J) are reported in Hz and refer to the apparent peak multiplicities (s = singlet, d = doublet, t = triplet, m = multiplet, br s= broad singlet). The molecule’s melting point was determined using a Yanako MP-13 (Yanako, Kyoto, Japan). High resolution mass spectra were recorded on a SHIMADZU LCMS-IT-TOF spectrometer (SHIMADZU, Kyoto, Japan). The data collection for the X-ray diffraction analysis was performed on Rigaku RAXIS-RAPID and Bruker AXS SMART APEX imaging plate diffractometers (Bruker, Yokohama, Japan) using graphite-monochromated MoKα radiation.
Synthesis of Methyl 2-[(2-{2-[(2-acetamidophenyl)ethynyl]benzamido}phenyl)ethynyl]benzoate (3)
Dichlorotriphenylphosphorane (1.0 g, 3.0 mmol) and 2-[(2-aminophenyl)ethynyl]benzoate (1) (376.9 mg 1.5 mmol) were added to a solution of 2-[(2-acetamidophenyl)ethynyl]benzoic acid (2) (279.3 mg, 1.0 mmol) in chloroform (5.0 mL). The reaction mixture was stirred for 3 h at 70 °C under an argon atmosphere. Chloroform (50 mL) was added to the solution, which was then washed with water (30 mL × 2) and brine (10 mL), before being dried over Na2SO4. The solvent was removed in vacuo, and the resultant product was purified by chromatography on silica gel (30% AcOEt in hexane) to give 3 (486 mg, 95%) as a colorless crystal.
Mp: 161–163 °C
1H-NMR (CDCl3, 400 MHz) δ 9.73 (br s, 1H), 8.81 (br s, 1H), 8.48-8.51 (m, 2H), 7.98 (d, 2H, J = 8.0 Hz), 7.85 (d, 1H, J = 7.2 Hz), 7.67 (d, 1H, J = 6.8 Hz), 7.57 (t, 2H, J = 7.6 Hz), 7.47–7.53 (m, 2H), 7.35–7.43 (m, 3H), 7.31 (t, 1H, J = 8.4 Hz), 7.15 (t, 1H, J = 7.6 Hz), 6.97 (t, 1H, J = 7.6 Hz), 3.34 (s, 3H), 2.29 (s, 3H).
13C-NMR (CDCl3, 400 MHz) δ 24.6, 51.9, 89.8, 90.4, 93.9, 95.1, 111.5, 113.1, 119.6, 120.6, 122.2, 122.7, 123.8, 123.9, 127.9, 128.2, 129.0, 129.7, 129.9, 130.1, 130.5, 130.6, 131.6, 132.1, 132.3, 133.0, 133.7, 137.6, 140.2, 140.7, 165.4, 167.3, 170.1.
HRMS (ESI-TOF): [M + Na]+ calcd for C33H24N2NaO4 535.1628; found 535.1634.
Supplementary materials
Supplementary File 1Supplementary File 2Supplementary File 3Acknowledgments
This study was supported, in part, by JSPS KAKENHI Grant Number 26460169 (YD), and by a Grant-in-Aid from the Tokyo Biochemical Research Foundation (YD).
Author Contributions
The listed authors contributed to this study in the following ways: T. Misawa and N. Yamagata performed the synthesis and identification; M. Doi performed the X-ray crystallographic analysis; and Y. Demizu and M. Kurihara prepared the manuscript. All of the authors have read and approved the final manuscript.
Conflicts of Interest
The authors declare that no conflicts of interest exist.
References and Notes
- Horne, W.S.; Gellman, S.H. Foldamers with heterogeneous backbones. Acc. Chem. Res. 2008, 41, 1399–1408. [Google Scholar] [CrossRef] [PubMed]
- Fischer, L.; Guichard, G. Folding and self-assembly of aromatic and aliphatic urea oligomers: Towards connecting structure and function. Org. Biomol. Chem. 2010, 8, 3101–3117. [Google Scholar] [CrossRef] [PubMed]
- Saraogi, I.; Hamilton, A.D. Recent advances in the development of aryl-based foldamers. Chem. Soc. Rev. 2009, 38, 1726–1743. [Google Scholar] [CrossRef] [PubMed]
- Yamazaki, N.; Demizu, Y.; Sato, Y.; Doi, M.; Kurihara, M. Helical foldamer containing a combination of cyclopentane-1,2-diamine and 2,2-dimethylmalonic acid. J. Org. Chem. 2013, 78, 9991–9994. [Google Scholar] [CrossRef] [PubMed]
- Demizu, Y.; Yamashita, H.; Yamazaki, N.; Sato, Y.; Doi, M.; Tanaka, M.; Kurihara, M. Oligopeptides with equal amounts of L- and D-amino acids may prefer a helix screw sense. J. Org. Chem. 2013, 78, 9991–9994. [Google Scholar] [CrossRef] [PubMed]
- Kemp, D.S.; Li, Z.Q. 2-Amino-2′-carboxydiphenylacetylenes as β-turn mimetics. Synthesis and conformational properties. Tetrahedron Lett. 1995, 36, 4175–4178. [Google Scholar] [CrossRef]
- Kemp, D.S.; Li, Z.Q. A short β-sheet containing proline nucleated by a 2,2′-substituted tolan β-turn mimetic. Tetrahedron Lett. 1995, 36, 4179–4180. [Google Scholar] [CrossRef]
- Lingard, H.; Han, J.T.; Thompson, A.L.; Leung, I.K.H.; Scott, R.T.W.; Thompson, S.; Hamilton, A.D. Diphenylacetylene-Linked Peptide Strands Induce Bidirectional β-Sheet Formation. Angew. Chem. Int. Ed. 2014, 53, 3650–3653. [Google Scholar] [CrossRef] [PubMed]
- Yang, X.W.; Yuan, L.H.; Yamamoto, K.; Brown, A.L.; Feng, W.; Furukawa, M.; Zeng, X.C.; Gong, B. Backbone-rigidfied oligo(m-phenylene ethynylenes). J. Am. Chem. Soc. 2004, 126, 3148–3162. [Google Scholar] [CrossRef] [PubMed]
- Fu, H.L.; Liu, Y.; Zeng, H.Q. Shape-persistent H-bonded macrocyclic aromatic pentamers. Chem. Commun. 2013, 49, 4127–4144. [Google Scholar] [CrossRef] [PubMed]
- Offermann, D.A.; McKendrick, J.E.; Sejberg, J.J.P.; Mo, B.; Holdom, M.D.; Helm, B.A.; Leatherbarrow, R.J.; Beavil, A.J.; Sutton, B.J.; Spivey, A.C. Synthesis and incorporation into cyclic peptides of tolan amino acids and their hydrogenated congeners: construction of an array of A-B-loop mimetics of the cε3 domain of human IgE. J. Org. Chem. 2012, 77, 3197–3214. [Google Scholar] [CrossRef] [PubMed]
- Compound 2 was prepared by N-acetylation of compound 1 and the subsequent alkaline hydrolysis of the methyl ester.
- CCDC-784138 (3) contains the supplementary crystallographic data for this paper. These data can be obtained free of charge at www.ccdc.cam.ac.uk/conts/retrieving.html (or from the Cambridge Crystallographic Data Centre, 12, Union Road, Cambridge CB2 1EZ, UK; fax: (+44) 1223-336-033; or deposit@ccdc.cam.ac.uk).
- Crystal data for 3: C33H24N2O4; Mr = 512.54; Monoclinic; Cc, a = 18.3920, b = 9.0316, c = 15.1378 Å; α = 90, β = 114.054, γ = 90°; V = 2513.2 Å3; Z = 4; Dcalc = 1.355 g/cm3; μ (MoKα) = 0.90 cm−1; No. of observations (I > 2σ(I)) = 4457; No. of variables = 352; R1 = 0.0658, and Rw = 0.1753.
© 2015 by the authors; licensee MDPI, Basel, Switzerland. This article is an open access article distributed under the terms and conditions of the Creative Commons Attribution license (http://creativecommons.org/licenses/by/4.0/).

