Protective Effect of Lycium ruthenicum Murr. Against Radiation Injury in Mice
Abstract
:1. Introduction
2. Materials and Methods
2.1. Ethical Statement
2.2. Reagents and Instruments
2.3. Extraction of L. ruthenicum
2.4. Proanthocyanidins B2 and Total Anthocyanin Detection
| Time (min) | 0 | 15 | 40 | 45 | 
|---|---|---|---|---|
| 2% Acetate (%) | 92 | 88 | 75 | 60 | 
| Acetonitrile (%) | 8 | 12 | 25 | 40 | 
2.5. Animals and Experimental Treatments
2.6. Irradiation
2.7. Blood Cell Count
2.8. Thymus and Spleen Index
2.9. DNA Contents of Bone Marrow Cell
2.10. Caspase-3 and Caspase-6 Contents
2.11. Immunohistochemistry
2.12. Statistical Analysis
3. Results
3.1. Proanthocyanidins B2 and Total Anthocyanidin Detection

3.2. Effect of Lycium ruthenicum Murr. on Body Weight of Irradiated Mice

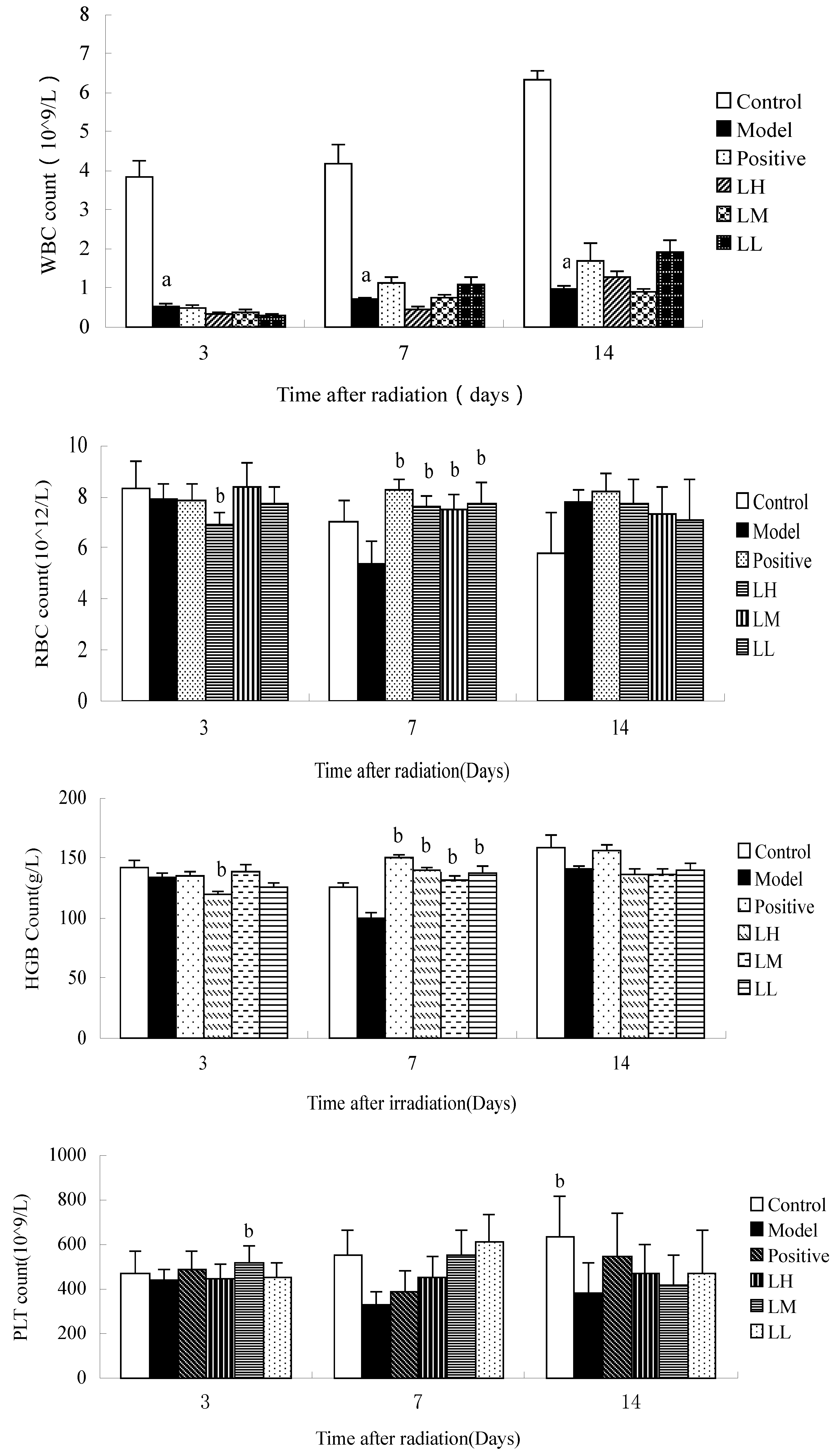
3.3. Effect of Lycium ruthenicum Murr. on the Hemogram of Mice after Radiation

3.4. Effect of Lycium ruthenicum Murr. on the Index of Thymus and Spleen of Mice after Radiation

3.5. Effect of Lycium ruthenicum Murr. on the DNA Content of Mice after Radiation

3.6. Effect of Lycium ruthenicum Murr. on Caspase-3 and Caspase-6 of Mice after Radiation


3.7. Effect of Lycium ruthenicum Murr. on the P53 of Mice after Radiation
4. Discussion

5. Conclusions
Acknowledgments
Author Contributions
Conflicts of Interest
References
- Brizel, D.M.; Wasserman, T.H.; Henke, M.; Strnad, V.; Rudat, V.; Monnier, A.; Eschwege, F.; Zhang, J.; Russell, L.; Oster, W.; et al. Phase III randomized trial of Amifostine as a radioprotector in head and neck cancer. J. Clin. Oncol. 2000, 18, 3339–3345. [Google Scholar] [PubMed]
- Koukourakis, M.I. Amifostine in clinical oncology: Current use and future applications. Anti-Cancer Drugs 2002, 13, 181–209. [Google Scholar] [CrossRef] [PubMed]
- Ghielmini, M.; van der Bosch, S.; Bosshard, M.; Pampallona, S.; Gabutti, L.; Egger, H.P.; Kiess, M.; Cavalli, F.; Sessa, C. Phase I-II study of escalating doses of Amifostine combined with high-dose cyclophosphamide. Cancer Chemother. Pharmacol. 2001, 47, 532–536. [Google Scholar] [CrossRef] [PubMed]
- Koukourakis, M.I.; Kyrias, G.; Kakolyris, S.; Kouroussis, C.; Frangiadaki, C.; Giatromanolaki, A.; Retalis, G.; Georgoulias, V.; et al. Subcutaneous administration of Amifostine during fractionated radiotherapy: A randomized phase II study. J. Clin. Oncol. 2000, 18, 2226–2233. [Google Scholar] [PubMed]
- Veerasarn, V.; Phromratanapongse, P.; Suntornpong, N.; Lorvidhaya, V.; Sukthomya, V.; Chitapanarux, I.; Tesavibul, C.; Swangsilpa, T.; Khorprasert, C.; Shotelersuk, K.; et al. Effect of Amifostine to prevent radiotherapy-induced acute and late toxicity in head and neck cancer patients who had normal or mild imparied salivary gland function. J. Med. Assoc. Thail. 2006, 89, 2056–2067. [Google Scholar]
- Chen, Y.Z.; Lin, F.; Zhuang, G.B.; Ren, Y.; Li, P.P. Protective effect of Renshen Yangrong decoction on bone marrow against radiation injury in mouse. Chin. J. Integr. Med. 2011, 17, 453–458. (In Chinese) [Google Scholar] [CrossRef] [PubMed]
- Fan, Z.L.; Wang, Z.Y.; Zuo, L.L.; Tian, S.-Q. Protective effect of Anthocyanins from lingonberry on radiation-induced damages. Int. J. Environ. Res. Public Health 2012, 9, 4732–4743. [Google Scholar] [CrossRef] [PubMed]
- Xu, P.; Jia, J.Q.; Jiang, E.J.; Kang, L.P.; Wu, K.L. Protective effect of an extract of Guipi pill against radiation-induced damages in mice. Chin. J. Integr. Med. 2012, 18, 490–495. [Google Scholar] [CrossRef] [PubMed]
- Dimaer, D. Jing Zhu Ben Cao; Sichuan science and technology publishing house: Chengdu, China, 1986; pp. 438–440. (In Chinese) [Google Scholar]
- Lv, X.; Wang, C.; Cheng, Y.; Huang, L.; Wang, Z. Isolation and structural characterization of a polysaccharide LRP4-A from Lycium ruthenicum Murr. Carbohydr. Res. 2013, 365, 20–25. [Google Scholar] [CrossRef] [PubMed]
- Ou, Y.F.; Ji, T.F.; Su, Y.L.; Li, J.; Liu, H. Chemcial constituents of the fruits of Lycium ruthenicum. Zhong Yao Cai 2012, 35, 1599–1601. (In Chinese) [Google Scholar]
- Zheng, J.; Ding, C.X.; Wang, L.S.; Lia, G.; Shia, J.; Li, H.; Wanga, H.; Suoa, Y. Anthocyanins composition and antioxidant activity of wild Lycium ruthenicum Murr. from Qinghai-Tibet Plateau. Food Chem. 2011, 126, 859–865. [Google Scholar] [CrossRef]
- Li, J.; Yuan, H.; Ceng, X.C.; Han, B.; Shi, D.H. Toxicological assessment of pigment of Lycium ruthenicum Murr. Food Sci. 2007, 28, 470–474. (In Chinese) [Google Scholar]
- Liu, Z.G.; Dang, J.; Wang, Q.L.; Yu, M.; Jiang, L.; Mei, L.; Shao, Y.; Tao, Y. Optimization of polysaccharides from Lycium ruthenicum fruit using RSM and its anti-oxidant activity. Int. J. Biol. Macromol. 2013, 61, 127–134. [Google Scholar] [CrossRef] [PubMed]
- Peng, Q.; Liu, H.; Shi, S.; Li, M. Lycium ruthenicum polysaccharide attenuates inflammation through inhibiting TLR4/NFκB signaling pathway. Int. J. Biol. Macromol. 2014, 67, 330–335. [Google Scholar] [CrossRef] [PubMed]
- Song, J.L.; Gao, Y.; Xu, J. Protective effects of methanolic extract from fruits of Lycium ruthenicum Murr. on 2,2′-azobis(2-amidinopropane) dihydrochloride-induced oxidative stress in LLC-PK1 cells. Pharmacogn. Mag. 2014, 10, 522–528. [Google Scholar] [PubMed]
- Marusyk, A.; Casás-Selves, M.; Henry, C.J.; Zaberezhnyy, V.; Klawitter, J.; Christians, U.; DeGregori, J. Irradiation alters selection for oncogenic mutations in hematopoietic progenitors. Cancer Res. 2009, 69, 7262–7269. [Google Scholar] [CrossRef] [PubMed]
- Song, J.Y.; Yang, H.O.; Shim, J.Y.; Yeon-Ahn, J.; Han, Y.S.; Jung, I.S.; Yun, Y.S. Radiation protective effect of an extract from Chelidonium majus. Int. J. Hematol. 2003, 78, 226–232. [Google Scholar] [CrossRef] [PubMed]
- Gapeyev, A.B.; Aripovsky, A.V.; Kulagina, T.P. Modifying effects of low-intensity extremely high-frequency electromagnetic radiation on content and composition of fatty acids in thymus of mice exposed to X-rays. Int. J. Radiat. Biol. 2014, 27, 1–26. [Google Scholar] [CrossRef] [PubMed]
- Johnke, R.M.; Sattler, J.A.; Allison, R.R. Radioprotective agents for radiation therapy: Future trends. Future Oncol. 2014, 10, 2345–2357. [Google Scholar] [CrossRef] [PubMed]
- Bhilwade, H.N.; Jayakumar, S.; Chaubey, R.C. Age-dependent changes in spontaneous frequency of micronucleated erythrocytes in bone marrow and DNA damage in peripheral blood of Swiss mice. Mutat. Res. Genet. Toxicol. Environ. Mutagen. 2014, 770, 80–84. [Google Scholar] [CrossRef] [PubMed]
- Carsten, R.E.; Bachand, A.M.; Bailey, S.M.; Ullrich, R.L. Resveratrol reduces radiation-induced chromosome aberration frequencies in mouse bone marrow cells. Radiati. Res. 2008, 169, 633–638. [Google Scholar] [CrossRef] [PubMed]
- Lutz, A.; Sanwald, J.; Thomas, M.; Feuer, R.; Sawodny, O.; Ederer, M.; Borner, C.; Humar, M.; Merfort, I. Interleukin-1β Enhances FasL-Induced Capase-3/-7 Activity without Increase Apoptosis in Primary Mouse Hepatocytes. PLoS ONE 2014, 9, e115603. [Google Scholar] [CrossRef] [PubMed]
- Vila-Petroff, M.; Salas, M.A.; Said, M.; Valverde, C.A.; Sapia, L.; Portiansky, E.; Hajjar, R.J.; Kranias, E.G.; Mundiña-Weilenmann, C.; Mattiazzi, A.; et al. CaMKII inhibition protects against necrosis and apoptosis in irreversible ischemia-reperfusion injury. Cardiovasc. Res. 2007, 73, 689–698. [Google Scholar] [CrossRef] [PubMed]
- Choi, H.N.; Chung, M.J.; Park, J.K.; Park, Y.I. Neuroprotective Effects of N-Acetylglucosamine against Hydrogen Peroxide-induced Apoptosis in Human Neuronal SK-N-SH Cells by Inhibiting the Activation of Caspase-3, PARP and p38. Food Sci. Biotechnol. 2013, 22, 853–858. [Google Scholar] [CrossRef]
- Napso, T.; Fares, F. Zebularine induces prolonged apoptosis effects via the caspase-3/PARP pathway in head and neck cancer cells. Int. J. Oncol. 2014, 44, 1971–1979. [Google Scholar] [CrossRef] [PubMed]
- Rouleau, M.; Patel, A.; Hendzel, M.J.; Kaufmann, S.H.; Poirier, G.G. PARP inhibition: PARP1 and beyond. Nat. Rev. Cancer 2010, 10, 293–301. [Google Scholar] [CrossRef] [PubMed]
- Ferraris, D.V. Evolution of poly (ADP-ribose) polymerase-1 (PARP-1) inhibitors. From concept to clinic. J. Med. Chem. 2010, 53, 4561–4584. [Google Scholar] [CrossRef] [PubMed]
- Faleiro, L.; Kobayashi, R.; Fearnhead, H.; Lazebnik, Y. Multiple species of CPP32 and Mch2 are the major active caspases present in apoptotic cells. EMBO J. 1997, 16, 2271–2281. [Google Scholar] [PubMed]
- Ilmarinen, S.P.; Moilanen, E.; Kankaanranta, H. Nitric oxide induces apoptosis in GM-CSF-treated eosinophils via caspase-6-dependent lamin and DNA fragmentation. Pulm. Pharmacol. Ther. 2014, 23, 365–371. [Google Scholar] [CrossRef] [PubMed]
- Majsterek, I.; Gloc, E.; Blasiak, J.; Reiter, R.J. A comparison of the action of Amifostine and melatonin on DNA- damaging effects and apoptosis induced by idarubicin in normal and cancer cells. J. Pineal Res. 2005, 38, 254–263. [Google Scholar] [CrossRef] [PubMed]
- Ormsby, R.J.; Lawrence, M.D.; Blyth, B.J.; Bexis, K.; Bezak, E.; Murley, J.S.; Grdina, D.J.; Sykes, P.J. Protection from radiation-induced apoptosis by the radioprotector Amifostine (WR-2721) is radiation does dependent. Cell Biol. Toxicol. 2014, 30, 55–66. [Google Scholar] [CrossRef] [PubMed]
© 2015 by the authors; licensee MDPI, Basel, Switzerland. This article is an open access article distributed under the terms and conditions of the Creative Commons Attribution license (http://creativecommons.org/licenses/by/4.0/).
Share and Cite
Duan, Y.; Chen, F.; Yao, X.; Zhu, J.; Wang, C.; Zhang, J.; Li, X. Protective Effect of Lycium ruthenicum Murr. Against Radiation Injury in Mice. Int. J. Environ. Res. Public Health 2015, 12, 8332-8347. https://doi.org/10.3390/ijerph120708332
Duan Y, Chen F, Yao X, Zhu J, Wang C, Zhang J, Li X. Protective Effect of Lycium ruthenicum Murr. Against Radiation Injury in Mice. International Journal of Environmental Research and Public Health. 2015; 12(7):8332-8347. https://doi.org/10.3390/ijerph120708332
Chicago/Turabian StyleDuan, Yabin, Fan Chen, Xingchen Yao, Junbo Zhu, Cai Wang, Juanling Zhang, and Xiangyang Li. 2015. "Protective Effect of Lycium ruthenicum Murr. Against Radiation Injury in Mice" International Journal of Environmental Research and Public Health 12, no. 7: 8332-8347. https://doi.org/10.3390/ijerph120708332
APA StyleDuan, Y., Chen, F., Yao, X., Zhu, J., Wang, C., Zhang, J., & Li, X. (2015). Protective Effect of Lycium ruthenicum Murr. Against Radiation Injury in Mice. International Journal of Environmental Research and Public Health, 12(7), 8332-8347. https://doi.org/10.3390/ijerph120708332
 
         
                                                

 
       