Sign in to use this feature.

Years

Between: -

Subjects

remove_circle_outline
remove_circle_outline
remove_circle_outline
remove_circle_outline
remove_circle_outline
remove_circle_outline

Journals

Article Types

Countries / Regions

Search Results (5)

Search Parameters:
Keywords = upper Ganjiang River basin

Order results
Result details
Results per page
Select all
Export citation of selected articles as:
24 pages, 4222 KB  
Article
Impact of Spatiotemporal Rainfall Distribution and Underlying Surface Changes on Flood Processes in Meijiang River Basin, China
by Xiangyu Lu, Tianfu Wen, Linus Zhang and Qi Zhang
Water 2025, 17(4), 466; https://doi.org/10.3390/w17040466 - 7 Feb 2025
Cited by 2 | Viewed by 1325
Abstract
This study reports on the impact of rainfall patterns and land surface changes on flood dynamics in the Meijiang River Basin, located in the upper reaches of the Ganjiang River. We formulated a range of rainfall patterns and spatial distribution scenarios and employed [...] Read more.
This study reports on the impact of rainfall patterns and land surface changes on flood dynamics in the Meijiang River Basin, located in the upper reaches of the Ganjiang River. We formulated a range of rainfall patterns and spatial distribution scenarios and employed the MIKE SHE model to evaluate variations in flood volume, flood peak, and the timing of flood peaks. We found that under comparable areal rainfall conditions, flood volumes fluctuated by up to 6.22% among the different rainfall patterns, whereas flood peaks exhibited differences of up to 36.23%. When the rainfall center moved from upstream to downstream, both flood volume and flood peak initially increased before decreasing, with maximum values of 4.2 billion m3 and 4900 m3/s, respectively. We selected three basin scales (i.e., 10,000, 1000, and 100 km2) for comparative analysis. In the period between 1985 and 2020, the changes in land surface conditions resulted in decreases in the flood peaks of the three basins by 7.61, 11.53, and 15.79%, respectively; a reduction in the flood volumes of the three basins by 6.58, 9.60, and 10.48%, respectively; and delayed peak times by 3, 2, and 2 h, respectively. The results of this study show the significant influence exerted by rainfall patterns, the location of the rainfall centers, and the impact of changes in land surface conditions on flood processes. In particular, when the area of the basin was reduced, the influence of the underlying surface was more obvious. These results also show that flood prediction needs to consider the complex interaction of multiple factors. Full article
Show Figures

Figure 1

22 pages, 15310 KB  
Article
The Applicability of the Drought Index and Analysis of Spatiotemporal Evolution Mechanisms of Drought in the Poyang Lake Basin
by Zihan Gui, Heshuai Qi, Faliang Gui, Baoxian Zheng, Shiwu Wang and Hua Bai
Water 2024, 16(5), 766; https://doi.org/10.3390/w16050766 - 4 Mar 2024
Cited by 3 | Viewed by 2213
Abstract
Poyang Lake, the largest freshwater lake in China, is an important regional water resource and a landmark ecosystem. In recent years, it has experienced a period of prolonged drought. Using appropriate drought indices to describe the drought characteristics of the Poyang Lake Basin [...] Read more.
Poyang Lake, the largest freshwater lake in China, is an important regional water resource and a landmark ecosystem. In recent years, it has experienced a period of prolonged drought. Using appropriate drought indices to describe the drought characteristics of the Poyang Lake Basin (PLB) is of great practical significance in the face of severe drought situations. This article explores the applicability of four drought indices (including the precipitation anomaly index (PJP), standardized precipitation index (SPI), China Z-index (CPZI), and standardized precipitation evapotranspiration index (SPEI)) based on historical facts. A systematic study was conducted on the spatiotemporal evolution patterns of meteorological drought in the PLB based on the optimal drought index. The results show that SPI is more suitable for the description of drought characteristics in the PLB. Meteorological droughts occur frequently in the summer and autumn in the PLB, with the frequency of mild drought being 17.29% and 16.88%, respectively. The impact range of severe drought or worse reached 22.19% and 28.33% of the entire basin, respectively. The probability of drought occurrence in the PLB shows an increasing trend in spring, while in most areas, it shows a decreasing trend in other seasons, with only a slight increase in the upper reaches of the Ganjiang River (UGR). One of the important factors influencing drought in the PLB is atmospheric circulation. The abnormal variation of the Western Pacific Subtropical High was one of the key factors contributing to the severe drought in the PLB in 2022. This study is based on a long-term series of meteorological data and selects the drought index for the PLB. It describes the spatiotemporal distribution characteristics and evolution patterns of drought and investigates the developmental path and influencing factors of drought in typical years. This study provides a reliable scientific basis for similar watershed water resource management. Full article
Show Figures

Figure 1

18 pages, 2298 KB  
Article
A New Indicator to Better Represent the Impact of Landscape Pattern Change on Basin Soil Erosion and Sediment Yield in the Upper Reach of Ganjiang, China
by Yongfen Zhang, Nong Wang, Chongjun Tang, Shiqiang Zhang, Yuejun Song, Kaitao Liao and Xiaofei Nie
Land 2021, 10(9), 990; https://doi.org/10.3390/land10090990 - 19 Sep 2021
Cited by 5 | Viewed by 3220
Abstract
Landscape patterns are a result of the combined action of natural and social factors. Quantifying the relationships between landscape pattern changes, soil erosion, and sediment yield in river basins can provide regulators with a foundation for decision-making. Many studies have investigated how land-use [...] Read more.
Landscape patterns are a result of the combined action of natural and social factors. Quantifying the relationships between landscape pattern changes, soil erosion, and sediment yield in river basins can provide regulators with a foundation for decision-making. Many studies have investigated how land-use changes and the resulting landscape patterns affect soil erosion in river basins. However, studies examining the effects of terrain, rainfall, soil erodibility, and vegetation cover factors on soil erosion and sediment yield from a landscape pattern perspective remain limited. In this paper, the upper Ganjiang Basin was used as the study area, and the amount of soil erosion and the amount of sediment yield in this basin were first simulated using a hydrological model. The simulated values were then validated. On this basis, new landscape metrics were established through the addition of factors from the revised universal soil loss equation to the land-use pattern. Five combinations of landscape metrics were chosen, and the interactions between the landscape metrics in each combination and their effects on soil erosion and sediment yield in the river basin were examined. The results showed that there were highly similar correlations between the area metrics, between the fragmentation metrics, between the spatial structure metrics, and between the evenness metrics across all the combinations, while the correlations between the shape metrics in Combination 1 (only land use in each year) differed notably from those in the other combinations. The new landscape indicator established based on Combination 4, which integrated the land-use pattern and the terrain, soil erodibility, and rainfall erosivity factors, were the most significantly correlated with the soil erosion and sediment yield of the river basin. Finally, partial least-squares regression models for the soil erosion and sediment yield of the river basin were established based on the five landscape metrics with the highest variable importance in projection scores selected from Combination 4. The results of this study provide a simple approach for quantitatively assessing soil erosion in other river basins for which detailed observation data are lacking. Full article
(This article belongs to the Section Land, Soil and Water)
Show Figures

Figure 1

18 pages, 7233 KB  
Article
Impacts of Climate and Land-Use Change on Blue and Green Water: A Case Study of the Upper Ganjiang River Basin, China
by Yongfen Zhang, Chongjun Tang, Aizhong Ye, Taihui Zheng, Xiaofei Nie, Anguo Tu, Hua Zhu and Shiqiang Zhang
Water 2020, 12(10), 2661; https://doi.org/10.3390/w12102661 - 23 Sep 2020
Cited by 31 | Viewed by 4201
Abstract
Quantitatively figuring out the effects of climate and land-use change on water resources and their components is essential for water resource management. This study investigates the effects of climate and land-use change on blue and green water and their components in the upper [...] Read more.
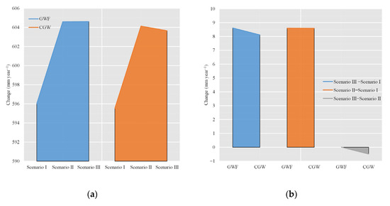
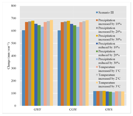
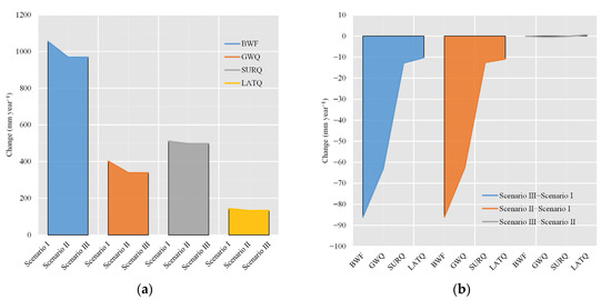
Quantitatively figuring out the effects of climate and land-use change on water resources and their components is essential for water resource management. This study investigates the effects of climate and land-use change on blue and green water and their components in the upper Ganjiang River basin from the 1980s to the 2010s by comparing the simulated changes in blue and green water resources by using a Soil and Water Assessment Tool (SWAT) model forced by five climate and land-use scenarios. The results suggest that the blue water flow (BWF) decreased by 86.03 mm year−1, while green water flow (GWF) and green water storage (GWS) increased by 8.61 mm year−1 and 12.51 mm year−1, respectively. The spatial distribution of blue and green water was impacted by climate, wind direction, topography, and elevation. Climate change was the main factor affecting blue and green water resources in the basin; land-use change had strong effects only locally. Precipitation changes significantly amplified the BWF changes. The proportion of surface runoff in BWF was positively correlated with precipitation changes; lateral flow showed the opposite tendency. Higher temperatures resulted in increased GWF and decreased BWF, both of which were most sensitive to temperature increases up to 1 °C. All agricultural land and forestland conversion scenarios resulted in decreased BWF and increased GWF in the watershed. GWS was less affected by climate and land-use change than GWF and BWF, and the trends in GWS were not significant. The study provides a reference for blue and green water resource management in humid areas. Full article
(This article belongs to the Section Hydrology)
Show Figures

Figure 1

19 pages, 3427 KB  
Article
Assessment of Hydrological Changes and Their Influence on the Aquatic Ecology over the last 58 Years in Ganjiang Basin, China
by Yinghou Huang, Binbin Huang, Tianling Qin, Hanjiang Nie, Jianwei Wang, Xing Li and Zhenqian Shen
Sustainability 2019, 11(18), 4882; https://doi.org/10.3390/su11184882 - 6 Sep 2019
Cited by 24 | Viewed by 3231
Abstract
Runoff is the key driving factor of the Ganjiang River ecosystem. Human activities such as reservoir construction have greatly changed the state of runoff. In order to analyze the influence of Ganjiang Reservoir on the hydrological regime, the following paper is based on [...] Read more.
Runoff is the key driving factor of the Ganjiang River ecosystem. Human activities such as reservoir construction have greatly changed the state of runoff. In order to analyze the influence of Ganjiang Reservoir on the hydrological regime, the following paper is based on the daily precipitation data of 53 rainfall stations in Ganjiang River Basin from 1959 to 2016, and the daily runoff data of three stations in Dongbei, Ji’an, and Waizhou from 1959 to 2016. The Mann–Kendall test (MK) was used to analyze the trend of precipitation and runoff in Ganjiang River Basin. The Sliding t-Test (ST) was used to determine the abrupt change time of runoff in flood season within typical cross-sections of upper, middle, and lower reaches of Ganjiang River Basin, Ji’an, and Waizhou. Indicators of hydrological change (IHA), range of variability approach (RVA), and other methods were used to analyze the changes of 32 hydrological indicators in Ganjiang River Basin. The results showed that (1) The annual and flood season precipitation in Ganjiang River Basin increased from 1992 to 2016, but it did not reach a significant level. The change of annual runoff at Dongbei and Waizhou Stations was the same as that of the annual precipitation in Ganjiang River Basin. The runoff of Dongbei Station in flood season decreased from 1986 to 2016, and the runoff of Waizhou Railway Station in flood season decreased from 2008 to 2016. It showed that precipitation had a great influence on annual runoff, and human activities made the annual runoff distribution process more uniform; (2) The abrupt changes of runoff in flood season at three hydrological stations in Ganjiang River Basin occurred in 1991, and reached a significant level of 0.01; (3) There were five hydrological indicators of Dongbei Station which had reached height change. The change degree of low (l) pulse duration was −92.24%, the change degree of high (h) pulse count was −86.8%, the change degree of flow rise rate was 87.06%, the change degree of fall rate was −92.24%, and the change degree of number of reversals was −100%. Four hydrological indicators of Ji’an Station had reached high change degree, the count and duration of high pulse changes were −73.33% and −73.65%, the change degree of fall rate was −79%, and the change degree of number of reversals was −100%. Waizhou Station did not reach the high change indicator. The hydrological regime of the upper and middle reaches of Ganjiang River has changed greatly, while the hydrological regime of the lower reaches has changed little. The hydrological regime in the upper and middle reaches of Ganjiang River Basin has been highly changed by human activities such as dam construction. The change of hydrological conditions in the upper and middle reaches of Ganjiang River Basin may reduce the area of aquatic organisms’ habitat, be harmful to the spawning, migration, and survival of aquatic organisms, reduce the interception of organic matter in floodplains, and increase the drought pressure of plants. The reservoir ecological operation of rivers with numerous reservoirs should be considered, joint reservoir dispatching schemes should be formulated for the study area so as to maximize the comprehensive benefits. This study provides a reference for water resources management and reservoir operation in Ganjiang River Basin. The next step is to use a habitat model to simulate the habitat of Ganjiang River Basin. Full article
Show Figures

Figure 1

Back to TopTop