Sign in to use this feature.

Years

Between: -

Subjects

remove_circle_outline
remove_circle_outline
remove_circle_outline
remove_circle_outline
remove_circle_outline
remove_circle_outline

Journals

Article Types

Countries / Regions

Search Results (5)

Search Parameters:
Keywords = ultrasonification process

Order results
Result details
Results per page
Select all
Export citation of selected articles as:
17 pages, 7138 KB  
Article
TEMPO-Oxidized Cellulose Nanofibril Films Incorporating Graphene Oxide Nanofillers
by Yoojin Kim, Young-Teck Kim, Xiyu Wang, Byungjin Min and Su-il Park
Polymers 2023, 15(12), 2646; https://doi.org/10.3390/polym15122646 - 11 Jun 2023
Cited by 5 | Viewed by 3904
Abstract
To design a new system of novel TEMPO-oxidized cellulose nanofibrils (TOCNs)/graphene oxide (GO) composite, 2,2,6,6-tetramethylpiperidine-1-oxyl radical (TEMPO)-mediated oxidation was utilized. For the better dispersion of GO into the matrix of nanofibrillated cellulose (NFC), a unique process combining high-intensity homogenization and ultrasonication was adopted [...] Read more.
To design a new system of novel TEMPO-oxidized cellulose nanofibrils (TOCNs)/graphene oxide (GO) composite, 2,2,6,6-tetramethylpiperidine-1-oxyl radical (TEMPO)-mediated oxidation was utilized. For the better dispersion of GO into the matrix of nanofibrillated cellulose (NFC), a unique process combining high-intensity homogenization and ultrasonication was adopted with varying degrees of oxidation and GO percent loadings (0.4 to 2.0 wt%). Despite the presence of carboxylate groups and GO, the X-ray diffraction test showed that the crystallinity of the bio-nanocomposite was not altered. In contrast, scanning electron microscopy showed a significant morphological difference in their layers. The thermal stability of the TOCN/GO composite shifted to a lower temperature upon oxidation, and dynamic mechanical analysis signified strong intermolecular interactions with the improvement in Young’s storage modulus and tensile strength. Fourier transform infrared spectroscopy was employed to observe the hydrogen bonds between GO and the cellulosic polymer matrix. The oxygen permeability of the TOCN/GO composite decreased, while the water vapor permeability was not significantly affected by the reinforcement with GO. Still, oxidation enhanced the barrier properties. Ultimately, the newly fabricated TOCN/GO composite through high-intensity homogenization and ultrasonification can be utilized in a wide range of life science applications, such as the biomaterial, food, packaging, and medical industries. Full article
Show Figures

Graphical abstract

18 pages, 3322 KB  
Article
Physical Processes Occurring in Dispersed Media with Carbon Nanomaterials under the Influence of Ultrasonification
by Svetlana Obukhova and Evgenii Korolev
C 2023, 9(1), 18; https://doi.org/10.3390/c9010018 - 31 Jan 2023
Cited by 5 | Viewed by 2388
Abstract
The up-to-date carbon nanoparticle application in materials science and composites is mostly represented by controlling of different methods of structure formation including incorporation of nanomaterials or nano-modifiers. The efficiency of such methods depends on disagglomeration and the distribution degree of the carbon nanoparticle [...] Read more.
The up-to-date carbon nanoparticle application in materials science and composites is mostly represented by controlling of different methods of structure formation including incorporation of nanomaterials or nano-modifiers. The efficiency of such methods depends on disagglomeration and the distribution degree of the carbon nanoparticle within a dispersion medium, which are critical parameters to produce a composite with improved performance. At the same time, common approaches such as a surface activation or using surfactants do not guarantee a homogeneous dispersion of carbon nanoparticles. This research reports on a theoretical analysis of physical processes which take place during the ultrasonic treatment which is a widely used method for dispersion of nanomaterials. The experimental data demonstrate an efficiency of the proposed method and prove the theoretical assumptions. The theoretical analysis performed in this study can be applied to implement and scale-up the process using sonicators. It was established that ultrasonic treatment has a more intensive effect in an organic hydrocarbon medium. So, in industrial oil, the heating rate from ultrasonification is 20 °C/min, in residual selective purification extract, it is 33 °C/min. For aqueous systems, the heating rate from ultrasonification is significantly lower and amounts to 2 °C /min for suspensions with Sulfanol and 11 °C/min for suspensions with ViscoCrete 2100. It was established that in the studied dispersed systems (aqueous solutions with surfactants and organic medium), there is no directly proportional dependence of the amount of heating of suspensions on the duration of ultrasound dispersion (USD), which is caused by ultrasonic dispersion not under adiabatic conditions, as well as the dependence of absorption coefficient of ultrasonic energy for dispersed systems on parameters of system structure. Full article
(This article belongs to the Collection Novel Applications of Carbon Nanotube-Based Materials)
Show Figures

Figure 1

21 pages, 12157 KB  
Article
Facile Synthesis of Natural Anise-Based Nanoemulsions and Their Antimicrobial Activity
by Ola A. Abu Ali, Mehrez E. El-Naggar, Mohamed S. Abdel-Aziz, Dalia I. Saleh, Mohamed. A. Abu-Saied and Wael A. El-Sayed
Polymers 2021, 13(12), 2009; https://doi.org/10.3390/polym13122009 - 19 Jun 2021
Cited by 12 | Viewed by 3439
Abstract
Anise oil was prepared in its nanoemulsion form to facilitate the penetration of microbial walls, causing microbe mortality. The penetration occurred easily owing to the reduction in its size (nm). Nanoemulsions with different concentrations of anise oil were prepared using lecithin as an [...] Read more.
Anise oil was prepared in its nanoemulsion form to facilitate the penetration of microbial walls, causing microbe mortality. The penetration occurred easily owing to the reduction in its size (nm). Nanoemulsions with different concentrations of anise oil were prepared using lecithin as an emulsifying agent with the aid of an ultra-sonification process. Their morphological and chemical properties were then characterized. The promising constituents were l-Menthone (11.22%), Gurjunene (6.78%), Geranyl acetate (4.03%), Elemene (3.93%), Geranyl tiglate (3.53%), geraniol (3.48%), linalool (0.17%) as well as camphene (0.12%). Different concentrations of prepared anise oil in micro and nanoemulsions were tested as antimicrobial agents against Gram-positive bacteria (Staphylococcus aureus), Gram-negative bacteria (Escherichia coli), yeast (Candida albicans) and fungi (Asperigillus niger). The findings illustrated that the anise oil-based nanoemulsion exhibited better results. Different biochemical and biological evaluations of anise oil nanoemulsions were conducted, including determining killing times, antioxidant activities (using three different methods), and total phenolics. A trial to estimate the mode of action of anise oil-based nanoemulsion as an antimicrobial agent against S. aureus and C. albicans was performed via studying the release of reducing sugars and protein and conducting scanning electron microscopy. Full article
(This article belongs to the Section Polymer Networks and Gels)
Show Figures

Graphical abstract

11 pages, 1233 KB  
Article
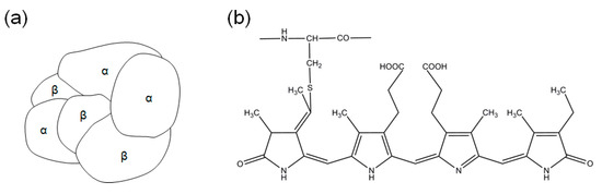
Effect of Ultrasonic Extraction on Production and Structural Changes of C-Phycocyanin from Marine Spirulina maxima
by Woon Yong Choi and Hyeon Yong Lee
Int. J. Mol. Sci. 2018, 19(1), 220; https://doi.org/10.3390/ijms19010220 - 11 Jan 2018
Cited by 49 | Viewed by 5916
Abstract
This work first showed that very high amounts of phycocyanins, such as 11.3 mg/mL C-phycocyanin (C-PC), 3.1 mg/mL allophycocyanin (APC), and 0.8 mg/mL phycoerythrin (PE), can be obtained using an ultrasonic extraction process (UE) with a 60 kHz frequency and 3 h of [...] Read more.
This work first showed that very high amounts of phycocyanins, such as 11.3 mg/mL C-phycocyanin (C-PC), 3.1 mg/mL allophycocyanin (APC), and 0.8 mg/mL phycoerythrin (PE), can be obtained using an ultrasonic extraction process (UE) with a 60 kHz frequency and 3 h of process time at 25 °C, without any other pretreatments. These yields were higher than those from most conventional water extractions at 4 °C for 24 h (Control condition) or at 25 °C for 24 h (WE), namely, 9.8 and 5.7 mg/mL C-PC, 2.3 and 1.2 mg/mL APC, and 0.7 and 0.3 mg/mL PE, respectively. These yields were also shown to be even higher than yields from other reported data. Structural changes in C-PC in the extracts were also found for the first time, according to extraction conditions, showing that the total concentration of C-PC and of the α-subunit of C-PC in the UE were much higher than in the WE, with little difference in the amount of β-subunit of C-PC in the UE or WE. It was also shown that the structural changes in C-PC in the WE decreased both antioxidant and anti-inflammation activities—29.83% vs. 32.09% of α,α-diphenyl-β-picrylhydrazyl (DPPH) scavenging activity and 8.21 vs. 7.25 µM of NO production for the WE and UE, respectively—while the UE, with similar patterns to standard C-PC, showed very high biological effects, which may suggest that the biologically active part is the α-subunit of C-PC, not the β-subunit. Full article
(This article belongs to the Section Biochemistry)
Show Figures

Figure 1

10 pages, 1045 KB  
Article
Enhancement of Chlorophyll a Production from Marine Spirulina maxima by an Optimized Ultrasonic Extraction Process
by Woon Yong Choi and Hyeon Yong Lee
Appl. Sci. 2018, 8(1), 26; https://doi.org/10.3390/app8010026 - 25 Dec 2017
Cited by 20 | Viewed by 6107
Abstract
Under the optimal ultrasonification extraction conditions of 20.52 kHz for the frequency, 32.59 °C for the temperature, and 4.91 h for the process time, 17.98 mg/g of chlorophyll a was obtained. It was much higher than 13.81 mg/g from conventional 70% ethanol extraction [...] Read more.
Under the optimal ultrasonification extraction conditions of 20.52 kHz for the frequency, 32.59 °C for the temperature, and 4.91 h for the process time, 17.98 mg/g of chlorophyll a was obtained. It was much higher than 13.81 mg/g from conventional 70% ethanol extraction and even higher than other data from Spirulina. This yield was close to the predicted value of 18.21 mg/g from the second-order polynomial model with a regression coefficient of 0.969. This model showed the greatest significance with the ultrasonic frequency and process time and the least significance with the temperature. The extracts also showed high α,α-diphenyl-β-picrylhydrazyl (DPPH) radical scavenging activities as 69.38%, compared to 58.25% for the extracts from the 70% ethanol extraction. It was first shown that the optimal extraction was effective at enhancing the neuroprotective activities possibly due to the synergistic effects of higher amounts of chlorophyll a and other bioactive substances in the extract, revealing a 90% protection of the growth of mouse neuronal cells and a great reduction in Reactive Oxygen Species (ROS) production. Full article
(This article belongs to the Collection Ultrasound in Extraction Processing)
Show Figures

Figure 1

Back to TopTop